Доклад: Организация кафе быстрого обслуживания 2
Министерство Образования Российской Федерации
Кафедра экономики, менеджмента и регионоведения
Дипломная работа
Название проекта:
Организация кафе быстрого обслуживания
Выполнил:
и соц-ных наук
Панкратов Ю.В.
Научный руководитель:
Кумачев А.А.
ст. преп.
К защите допускаю:
Декан фак-та ин. языков
и социальных наук Игумнова Ж. И.
к. п. н.
К защите допускаю:
Зав. Кафедрой экономики,
менеджмента и регионоведения Дубовская Г. В.
к. ф-м. Н., доцент
Иркутск 2003
Оглавление
Введение… 3
Глава 1. Теоретические аспекты бизнес-плана… 6
1.1.Понятие и задачи бизнес-плана… 10
1.2. Структура и содержание бизнес-плана… 12
1.3. Роль планирования финансово-экономической деятельности предприятий… 22
Глава 2.Резюме… 26
Глава 3. Технико-экономическое обоснование проекта… 28
3.1. ОПИСАНИЕ ПРОДУКТА… 31
3.2. Оценка рынка сбыта… 33
3.3. Инвестиционный план… 37
3.4. План персонала… 41
3.5.ФИНАНСОВО-ЭКОНОМИЧЕСКИЙ АНАЛИЗ… 48
Заключение… 61
Каждая фирма, начиная свою деятельность, должна ясно представлять потребность на перспективу в финансовых, материальных, трудовых и интеллектуальных ресурсах, источники их получения, а также уметь четко рассчитывать эффективность использования ресурсов в процессе работы фирмы.
При всем многообразии форм предпринимательства существуют ключевые положения, применимые практически во всех областях коммерческой деятельности и для разных фирм. Но необходимые для того, чтобы своевременно подготовиться и обойти потенциальные трудности и опасности, тем самым уменьшить риск в достижении поставленных целей.
Важной задачей является проблема привлечения инвестиций, в том числе и зарубежных, в действующие и развивающиеся предприятия. Для этого необходимо аргументировать и обосновать оформление проектов (предложений), требующих инвестиций. Для этих и некоторых других целей применяется бизнес-план.
Несмотря на все трудности и проблемы, в сфере частного предпринимательства в России заняты уже миллионы людей. Однако бизнес — этот совершенно особая манера жизни, предполагающая готовность предпринимать самостоятельные решения и рисковать. Решив заняться бизнесом, предприниматель должен тщательно спланировать его организацию. Речь идет о бизнес-планах, с которыми во всем мире принято начинать любое коммерческой предприятие. В условиях рынка подобные планы необходимы всем: банкирам и потребителям-инвесторам, сотрудникам фирм, желающим оценить свои перспективы и задачи, и, прежде всего, самому предпринимателю, который должен тщательно проанализировать свои идей, проверить их реалистичность. Собственно говоря, без бизнес-плана, вообще нельзя браться за коммерческую деятельность, т.к. возможность неудачи будет слишком велика.
Каждая фирма, начиная свою деятельность, обязана четко представлять потребность в перспективе в финансовых, материальных, трудовых и интеллектуальных ресурсах, источники их получения, а также уметь точно рассчитывать эффективность использования имеющихся средств в процессе работы фирмы. В рыночной экономике предприниматели не могут добиться стабильного успеха, если не будут четко и эффективно планировать свою деятельность, постоянно собирать и аккумулировать информацию, как о состоянии целевых рынков, положения на них конкурентов, так и о собственных перспективах и возможностях.
При всем многообразии форм предпринимательства существуют ключевые положения, применимые практически во всем областях коммерческой деятельности и для различных фирм, необходимые для того, чтобы своевременно подготовится, обойти потенциальные трудности и опасности.
В связи с этим тема является актуальной.
Цель данной дипломной работы – разработка экономического обоснования целесообразности создания кафе «Академ».
Задача работы – ближе познакомиться с методикой подготовки и расчета бизнес-плана работы кафе «Академ».
В рыночной экономике бизнес-план является рабочим инструментом, используемым во всех сферах предпринимательства. Бизнес-план описывает процесс функционирования фирмы, показывает, каким образом ее руководители собираются достичь свои цели и задачи, в первую очередь повышения прибыльности работы. Хорошо разработанный бизнес-план помогает фирме расти, завоевывать новые позиции на рынке, где она функционирует, составлять перспективные планы своего предприятия.
Бизнес-план является постоянным документом; он систематически обновляется, в него вносятся изменения, связанные как с переменами, происходящими внутри фирмы, так и на рынке, где действует фирма.
В связи с тем, что бизнес-план предоставляет собой результат исследований и организационной работы, имеющей целью изучение конкретного направления деятельности фирмы (продукта или услуг) на определенном рынке и в сложившихся организацинно-экономических условиях, он опирается на:
— Конкретный проект производства определенного товара (услуг) – создание нового типа изделий или оказание новых услуг (особенности удовлетворения потребностей и т.д.);
— Всесторонний анализ производственно-хозяйственной и коммерческой деятельности организации, целью которой является выделение ее сильных и слабых сторон, специфики и отличий от других аналогичных фирм;
— Изучение конкретных финансовых, технико-экономических и организационных механизмов, используемых в экономике для реализации конкретных задач.
Бизнес-план является одним из составных документов, определяющих стратегию развития фирмы. Вместе с тем он базируется на общей концепции развития фирмы, более подробно разрабатывает экономический и финансовый аспект стратегии, дает технико-экономическое обоснование конкретным мероприятиям. Бизнес-план охватывает одну из частей инвестиционной программы, срок реализации которой обычно ограничен одним или несколькими годами (часто корреспондирующими со сроками средне – и долгосрочных кредитов), позволяющей дать достаточно четкую экономическую оценку намеченным мероприятиям.
Бизнес-план позволяет решать целый ряд задач. Основными из них являются:
— Обоснование экономической целесообразности направлений развития фирмы;
— Расчет ожидаемых финансовых результатов деятельности, в первую очередь объемов продаж, прибыли, доходов на капитал;
— Определение намечаемого источника финансирования реализации выбранной стратегии, т.е. способы концентрирования финансовых ресурсов;
— Подбор работников, которые способны реализовать данный план.
Каждая задача может быть решена только во взаимосвязи с другими. Основной центр бизнес-плана – концентрирование финансовых ресурсов. Именно бизнес-план – важное средство для увеличения капитала компании. Процесс составления бизнес-плана позволяет тщательно проанализировать начатое дело во всех деталях. Бизнес-план служит основой бизнес–предложения при переговорах с будущими партнерами; он играет важную роль при приглашении на работу основного персонала фирмы.
Бизнес-план является одним из первых обобщающих документов обоснования инвестиций и содержит укрупненные данные о планируемой номенклатуре и объемах выпуска продукции, характеристики рынков сбыта и сырьевой базы, потребность производства в земельных, энергетических и трудовых ресурсах. А также содержит ряд показателей, дающих представление о коммерческой, бюджетной и экономической эффективности рассматриваемого проекта и, в первую очередь, представляющих интерес для участников-инвесторов проекта. Расчеты показателей адаптированы к требованиям и условиям современного отечественного и зарубежного инвестирования.
Бизнес-план является объектом интеллектуальной собственности, предметом коммерческой тайны и подлежит соответствующей защите.
Планирование является нормой любой предпринимательской деятельности. С развитием рынка и в России необходимость в бизнес-планах стала настолько очевидной, что уже в 1994 – 1995 гг. их применение становится обязательным
Бизнес-план выступает как объективная оценка собственной предпринимательской деятельности фирмы и в тоже время необходимый инструмент проектно-инвестиционных решений в соответствии с потребностями рынка. В нем характеризуются основные аспекты коммерческого предприятия, анализируются проблемы, с которыми оно столкнется, и определяются способы их решения. Следовательно, бизнес-план – одновременно поисковая, научно-исследовательская и проектная работа.
Не будет преувеличением назвать бизнес-план основой управления не только коммерческим проектом, но и самим предприятием. Благодаря бизнес-плану у руководства появляется возможность взглянуть на собственное предприятие как бы со стороны. Сам процесс разработки бизнес-плана, включающего детальный анализ экономических и организационных вопросов, заставляет мобилизоваться. Целью бизнес-плана может быть получение кредита, или привлечение инвестиций, определение стратегических и тактических ориентиров фирмы и др.
Бизнес-план предусматривает решение стратегических и тактических задач, стоящих перед предприятием, независимо от его функциональной ориентации:
— организационно-управленческая и финансово-экономическая оценка состояния предприятия;
— выявление потенциальных возможностей предпринимательской деятельности, анализ сильных и слабых его сторон;
— формирование инвестиционных целей на планируемый период.
В бизнес-плане обосновываются:
— общие и специфические детали функционирования предприятия в условиях рынка;
— выбор стратегии и тактики конкуренции;
— оценка финансовых, материальных, трудовых ресурсов, необходимых для достижения целей предприятия.
Бизнес-план дает объективное представление о возможностях развития производства, способах продвижения товара на рынок, ценах, возможные прибыли, основных финансово-экономических результатах деятельности предприятия, определяет зоны риска, предлагает пути их снижения. Бизнес-план используется независимо от сферы деятельности, масштабов, собственности и организационно-правовой формы компании. В нем решаются как внутренние задачи, связанные с управлением предприятия, так и внешние, обусловленные установлением контактов и взаимоотношений с другими фирмами и организациями.
Заказчиком бизнес-плана являются юридические и физические лица, осуществляющие предпринимательскую и инвестиционную деятельность, условия и результаты которой анализируются и прогнозируются в бизнес-плане. Разработчиками бизнес-плана выступают фирмы, специализирующиеся в области маркетинговой деятельности, проектирования, авторские коллективы, отдельные авторы. При необходимости привлекаются консалтинговые фирмы и эксперты.
При разработки бизнес-плана подлежат взаимному учету интересы всех участвующих сторон:
— заказчика (клиента) бизнес-плана, являющегося самостоятельным инвестором и использующего привлеченный капитал посредством акционирования, займа, выпуска облигаций и т. п.;
— муниципальных органов, определяющих потребности и приоритеты в строительстве объектов в соответствии с общей концепцией развития, формирующих проектное задание, рассматривающих заявки и оформляющих соответствующие документы (например, землеотводные), планирующих налоговые поступления в бюджет, участвующих в надзоре за реализацией;
— подрядных фирм, детализирующих концепцию бизнес-плана, осуществляющих технические изыскания, проектирование, составление сметной документации, авторский надзор за строительством, монтажом оборудования, запуском теологического процесса и т.п., сдачу объекта заказчику;
— потребителя, использующего продукцию или услуги.
Бизнес-план используют и как инструмент проведения деловых переговоров. При подготовке плана предприниматель должен конкретно указать, что он хочет получить от инвестора, но и ясно показать, что он готов отдать.
1.1. Понятие и задачи бизнес-плана
Бизнес-план – это план осуществления бизнес-операции, действий фирмы, содержащий сведения о фирме, товаре, его производстве, рынках сбыта, маркетинге, организации операций и их эффективности.[1]
Цель разработки бизнес-плана – спланировать хозяйственную деятельность фирмы на краткосрочный и долгосрочный периоды в соответствии с потребностями рынка и возможностями получения необходимых ресурсов.
Задачами бизнес-плана является:
— сформулировать долговременные и краткосрочные цели фирмы, стратегию и тактику их достижения;
— определить конкретные направления деятельности фирмы, целевые рынки и место фирмы на этих рынках;
— выбрать ассортимент и определить показатели товаров и услуг, которые будут предложены фирмой потребителям;
— оценить производственные и непроизводственные издержки;
— определить состав маркетинговых мероприятий по изучению рынка, стимулированию продаж, ценообразованию и т.п.;
— оценить финансовое положение фирмы и соответствие имеющихся финансовых и материальных ресурсов возможностям достижения поставленных целей и т.д.
Бизнес-план выполняет следующие основные функции, а именно:[2]
— является инструментом, с помощью которого предприниматель может оценить фактические результаты деятельности за определенный период;
— может быть использован для разработки концепции ведения бизнеса в перспективе;
— является инструментом добывания финансовых ресурсов;
— представляет собой инструмент реализации стратегии предприятия.
Таким образом, бизнес-план позволяет проанализировать возможности деятельности предприятия и обосновать выбор приоритетных целей, т.е. определить стратегию функционирования фирмы.
В зависимости от рыночной ситуации и цели составления бизнес-планы могут быть различны.
Бизнес-планы разрабатываются в различных модификациях в зависимости от назначения: по бизнес-линиям (продукция, работы, услуги, технические решения), по предприятию в целом (новому или уже действующему). Бизнес-план может быть нацелен как на развитие предприятия, так и на его финансовое оздоровление. Также может планироваться деятельность всего предприятия или его отдельного подразделения.
Необходимо отметить, что различные экономисты выделяют несколько разные структуры бизнес-планов, однако все они имеют приблизительно одинаковое строение.
Концепция бизнеса (резюме) – это сжатый, быстро читаемый обзор информации о намечаемом бизнесе и целях, которые ставит перед собой предприятие, начиная свое дело или развивая имеющееся.
По сути, концепция является сокращенной версией самого бизнес-плана.
В резюме должны быть отражены следующие основные моменты:
· возможности для бизнеса;
· привлекательность бизнеса;
· важность для предприятия и региона;
· необходимые финансовые ресурсы (собственные или заемные);
· срок окупаемости проекта;
· возможный срок возврата заемных средств;
· условия инвестирования;
· ожидаемая прибыль и ее распределение
и т.д.
Порядок изложения концепции является достаточно свободным, однако ее необходимо начинать с главной цели предлагаемого бизнеса (как правило, получение прибыли) и назначения разрабатываемого бизнес-плана.
Концепция бизнеса (резюме) составляется в конце написания бизнес-плана, однако находится в начале.
В разделе, описывающем ситуацию в настоящее время и дающем краткую информацию о предприятии, отражаются следующие моменты:
· главные события, повлиявшие на появление идей по бизнес-плану;
· главные обстоятельства и проблемы стоящие перед менеджерами;
· состояние на рынке и положение, которого необходимо добиться
· и пр.
Далее в сжатой форме приводится основная информация о предприятии – дата основания, организационно-правовая форма, учредители, юридический адрес и т.п.
В разделе, характеризующем объект бизнеса, необходимо отметить направленность бизнес-плана (продукция, работы, услуги, создание нового предприятия, развитие действующего, финансовое оздоровление).
Также здесь необходимо отметить важность товара для потребителей, его уникальность. Также желательно охарактеризовать функциональные возможности и особенности продукции.
Завершает раздел, описание ключевых факторов, которые должны определить успех предлагаемого бизнеса.
Исследования и анализ рынка направлены на выявление сегодняшних потребителей продукции, услуг и определение потенциальных. В этом разделе желательно определить приоритеты, которыми руководствуется потребитель при покупке: качество, цена, время и точность поставки, сервисное обслуживание и т.п.
Необходимо произвести сегментацию рынка, определить размеры и емкость рынков по продукции предприятия.
Следует проанализировать, как быстро продукция, услуги утвердятся на рынке и обосновать возможности его дальнейшего расширения, а также основные факторы влияющие на это.
Также весьма важным является отслеживание и оценка конкурентов. Необходимо выявить и проанализировать их сильные и слабые стороны.
Необходимо определить возможный объем продаж в натуральном и денежном выражении.
Организационный план разрабатывается только при создании нового предприятия.
Здесь необходимо привести организационную структуру предприятия, в которой четко определены должностные инструкции ведущих менеджеров, их роль в управленческом процессе, а также определяется, как будет осуществляться взаимодействие служб и подразделений.
Кроме этого желательно указать такие факторы как потребность в рабочей силе, условиях труда, организации оплаты труда и т.п.
Подразделом организационного плана является правовое обеспечение деятельности предприятия, в котором приводится вся информация о правовых аспектах деятельности (сведения о регистрации, учредительные документы, форма собственности, законодательные ограничения, патентная защита и т.п.).
В разделе Персонал и управление следует привести информацию о менеджерах и охарактеризовать их управленческие возможности.
Желательным здесь является разработка штатного расписания.
План производства отражает производственный процесс. Если отдельные операции поручаются субподрядчику, то это должно быть указано.
Целесообразно представить производственный процесс с указанием его структуры по трудоемкости.
Необходимо отразить потребность в производственных помещениях и их площадь, а также производственную площадь предприятия. Необходимо указать потребность в дополнительном оборудовании и материальных ресурсах.
По возможности здесь описывается система охраны окружающей среды, утилизации отходов, обеспечение безопасности жизнедеятельности.
Раздел заканчивается расчетом издержек производства и себестоимости производимой продукции.
Особым разделом может быть выделен инвестиционный план, где отражается потребность в инвестициях, а также указывается за счет каких средств будет осуществлено финансирование проекта (собственные и/или заемные средства) и т.п.
План маркетинга – это план мероприятий по достижению намечаемого объема продаж и получению максимальной прибыли путем удовлетворения рыночных потребностей.
Необходимо отразить маркетинговую стратегию развития предприятия. Разрабатывая эту стратегию, целесообразно учесть влияние внешнего окружения (тенденции изменения технологий, запросов и мотивации потребителей и т.д.) в целях адаптации предприятия к меняющимся рыночным условиям путем разработки комплекса маркетинга, включающего товарную, ценовую, сбытовую политику и сервисное обслуживание.
Особое место уделяется стратегии ценообразования, которая базируется на следующих методах:
— полных затрат;
— усредненных затрат;
— предельных затрат;
— стандартных издержек производства;
— прямых затрат (целевой нормы прибыли).
Раздел, описывающий потенциальные риски особенно важен, так как фактор риска оказывает большое влияние на финансово-хозяйственную деятельность предприятия.
Следует учитывать, как минимум, следующие виды рисков:
· производственные, связанные с различными нарушениями в производственном процессе или процессе поставок сырья, материалов и комплектующих;
· коммерческие, связанные с реализацией продукции на рынке не в полном объеме;
· финансовые риски, которые вызываются инфляционными процессами, неплатежами, колебаниями валютных курсов и т.п.;
· риски, связанные с форс-мажорными обстоятельствами, которые могут быть вызваны непредвиденными обстоятельствами (от смены политического курса до стихийных бедствий);
Методы снижения влияния рисков различны, однако наиболее действенным является коммерческое страхования, создание резервного фонда и функционирование предприятия с большим запасом финансовой прочности.
Важной частью практически любого бизнес-плана является финансовый план. Цель финансового плана определить эффективность предлагаемого бизнеса. В данном разделе необходимо отразить:
· общую потребность в инвестициях;
· источники финансирования;
· план доходов и расходов;
· баланс денежных расходов и поступлений;
· потребность в оборотном капитале;
· срок окупаемости проекта;
· отчет по прибыли
а также необходимые финансовые показатели.
Особое место в финансовом плане следует уделить расчету безубыточности и запаса финансовой прочности.
![]() |
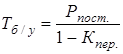
Точка безубыточности рассчитывается по формуле
Тб/у – точка безубыточности;
Рпост . – условно-постоянные расходы;
Кпер . – удельный вес условно-постоянных расходов в объеме продаж.
Запас финансовой прочности представляет собой разницу объема продаж анализируемого года и объема точки безубыточности.
Если разрабатывается план финансового оздоровления, то в этом разделе необходимо рассчитать показатели финансово-хозяйственной деятельности предприятия.[3]
Планирование, бесспорно, необходимый элемент эффективной деятельности фирмы на рынке. Существует несколько подходов к разработке бизнес-плана. Между ними очень много общего, однако отдельные различия все-таки существуют. возможен, в частности, вариант, характеризуемый схемой (рис. 1):
КОРРЕКТИВЫ
![]()
![]()
![]()
![]()
Сильные и
слабые
стороны
проекта
![]()





![]()
![]()
![]()
![]()
![]()
Личные Анализ Главная Стратегии Планы,
Цели ситуации цель и тактика задачи и
![]()
![]()
бизнеса подзадачи


Имеющиеся производственно- Необходимые производственно-
финансовые ресурсы финансовые ресурсы:
· трудовые ресурсы;
· финансы;
· сырье и материалы.
Рис.1. Схема разработки бизнес-плана.
На первое место в данном случае ставится определение личных целей бизнесмена. После оценки ситуации как вне, так и внутри компании определяется главная цель. Затем можно перейти к разработке стратегии, которая представляет собой процесс конкретизации главной цели, разбивку ее на задачи и подзадачи. На каждом этапе реализации выбранной стратегии целесообразно вносить в план определенные коррективы, которые диктует реальный ход событий. Таким образом вырабатывается оперативный план. На основе долгосрочных тенденций и оперативного плана разрабатывается долгосрочный план.
Замысел плана всегда нуждается в тщательном обосновании и проверке на осуществимость. С этой целью его разворачивают в систему частных стратегий: товарно-рыночную, НИОКР, систему развития потенциала и финансовую систему, которая реализуется на втором этапе планирования. Стратегия НИОКР является ведущей. Она выявляет и формирует комплекс разработок, наиболее актуальных для потребителя и соответствующих научно-техническому потенциалу предприятия.
По итогам разработки различных вариантов стратегии уточняются как ожидаемые размеры прибыли, так и потребности в капитальных вложениях. Эта информация поступает на вход финансовой стратегии, предназначенной для окончательного балансирования финансовых потребностей и определения размеров и форм привлечения заемных средств.
На третьем этапе формирования стратегического плана результатные данные по каналам обратной связи поступают на вход замысла плана с целью его корректировки. Окончательный вариант плана вместе с результатами анализа внешней среды, а также возможностей фирм оформляются в виде глобальной стратегии развития.
В целом можно сделать вывод, что перечисленные методики планирования весьма сходны и в основном дополняют друг друга, рассматривают бизнес-планирование с разных сторон и выделяет различные этапы планирования в качестве основных.
Особую роль в формировании бизнес-плана играют планы маркетинга. Раздел, посвященный маркетингу, является одной из важнейших частей бизнес-плана, поскольку в нем непосредственно говорится о характере намечаемого бизнеса и способах реализации проекта, благодаря которым можно рассчитывать на успех предприятия. Иными словами, цель этого раздела – разъяснить как предполагаемый бизнес намеревается воздействовать на рынок и реагировать на складывающуюся на нем обстановку, чтобы обеспечить сбыт товара или услуг. Предприниматель должен представить здесь свой бизнес как привлекательную возможность для инвестиций, как кредитный риск с заманчивыми перспективами. Маркетинг-план может быть сформирован по-разному в зависимости от вида бизнеса и сложности рынка.
Планы маркетинга обязательно включают в себя описание общей стратегии маркетинга, политики ценообразования, тактики рекламы продукции, ее реализации и послепродажного обслуживания, а также прогнозы объемов продаж.
При изложении тактики реализации продукции, целесообразно указать методы реализации ( собственная торговая сеть, торговые представители, посредники), которые фирма могла бы использовать в ближайшее время и в долгосрочной перспективе, а также, любые специальные требования для реализации продукции. В бизнес-плане должно быть указано, как будет проводиться реализация, включая методы, транспортировку, страхование, кредитование, таможенные сборы и др.
В разделе «Реклама» составитель бизнес-плана должен указать, каким образом компания собирается привлекать внимание покупателей к выпускаемой продукции.
Немалое место в бизнес-плане отводится производственному планированию. Нужно, прежде всего, уделить должное внимание анализу продукции или услуг, характерных для данного бизнеса, поскольку вне зависимости от стратегических соображений бизнес не будет успешным, если не обеспечить привлекательность для рынка его товаров и услуг. Одна из задач этой части плана ¾ характеристика в сжатой форме основных параметров товаров и услуг, предлагаемых данной фирмой. Важно, чтобы их привлекательные черты были освещены в простой и ясной форме (использование и привлекательность товаров и услуг, их разработка и развитие). Иногда бывает полезно представить список экспертов или потребителей, которые знакомы с упомянутым товаром или услугами и могут дать о них благоприятный отзыв. Такие сведения могут быть представлены в форме письма или отчета и включены в виде приложения.
Основной целью производственного плана является предоставление информации по обеспеченности с производственной стороны выпуска продукции и разработка мер по поддержанию и развитию производства. В этот раздел необходимо включить такие сведения, как местоположение предприятия, виды требуемых производственных мощностей, необходимые производственные помещения, потребность в основных производственных фондах и рабочей силе.
В финансовом плане рассматриваются вопросы финансового обеспечения деятельности фирмы и наиболее эффективного использования имеющихся денежных средств на основе анализа текущей финансовой информации и прогноза объемов реализации продукции на рынках в последующие периоды. Цель финансового плана – сформулировать и представить всеобъемлющую систему формулировок и проектировок, отражающих финансовые результаты деятельности компании. Этот раздел является наиболее важным для инвестора, т.к. именно из него он узнает, на какую прибыль он может рассчитывать.
В финансовый план обязательно включается оперативный план, отчет о доходах, отчет о денежных потоках и балансовый отчет.
Кратко охарактеризуем их. Оперативный план (отчет) отражает результаты взаимодействия фирмы и ее целевых рынков по каждому товару и рынку за определенный период. На фирме этот документ разрабатывается службой маркетинга. Совокупность показателей, предоставленная в оперативном плане, позволяет продемонстрировать руководству компании, какая доля рынка занята фирмой по каждому товару и какую предполагается завоевать в перспективе. Показатели определяются по каждому виду товара или услуги, что позволяет сравнивать их между собой по экономической эффективности. Такой прогноз обычно составляется на три года вперед, причем данные для первого и второго года следует приводить поквартально, т.к. для начального периода времени точно известны будущие покупатели продукции. На каждый отчетный период рассматриваемая совокупность показателей рассчитывается на основе специального рыночного исследования. Это важно для последующего планирования закупок оборудования, затрат на рекламу и наем работников.
Таким образом, рассмотрев цели и сущность планирования, а также различные аспекты практики составления бизнес-планов, можно сделать заключение, что бизнес-план является неотъемлемой частью внутрифирменного планирования, одним из важнейших документов, разрабатываемых на предприятии.
В настоящее время в России бурно протекает процесс формирования и совершенствования работы действующих предприятий различных форм собственности. Планирование является важнейшей частью предпринимательской деятельности.
Понятие «планирование деятельности фирмы» имеет два смысла.
Первый – общеэкономический, с точки зрения общей теории предприятия, ее природы.
Второй – контрольно-управленческий. Здесь планирование – одна из функций менеджмента, умение предвидеть будущее предприятия и использовать это предвидение.
Обе стороны планирования тесно связаны между собой. Возможность планирования, как конкретного вида деятельности, вытекает из природы фирмы, напрямую определяется общими условиями хозяйствования.
Как показала практика, применение планирования создает важные преимущества:
· делает возможной подготовку к использованию будущих благоприятных условий;
· проясняет возникающие проблемы;
· стимулирует менеджеров к реализации своих решений в дальнейшей работе;
· улучшает координацию действий в организации;
· создает предпосылки для повышения образовательной подготовки менеджеров;
· увеличивает возможности в обеспечении фирмы необходимой информацией;
· способствует более рациональному распределению ресурсов;
· улучшает контроль в организации.
Можно было бы предположить, что планирование ведет к достижению фирмой экономического успеха, который может быть выражен в высоких величинах оборота, прибыли, роста и других впечатляющих финансовых показателях. Некоторые специалисты по планированию пытаются найти конкретные примеры, которые могли бы подтвердить такую зависимость. Однако дальше отдельных предположений дело обычно не идет. Напротив, как показывает опыт, быстрый рост и большой успех фирмы очень часто не связаны с формальным планированием, а скорее являются следствием предпринимательского таланта, энергичного и решительного руководства фирмой. Более того, многие предприятия, в том числе и российские, начинают применять планирование в тот период своего развития, когда уже прошел этап бурного роста, когда проявляются проблемы в закреплении достигнутого успеха, обеспечении стабильности.
Для российских предприятий можно очертить две сферы, нуждающиеся в применении планирования:
1. Вновь созданные частные фирмы. Бурный процесс накопления капитала привел к увеличению и осложнению деятельности многих из этих фирм, а также к возникновению других факторов, создающих потребность в формах планирования, адекватных современному рыночному хозяйству. Главная проблема, связанная с применением планирования в этой сфере, — недоверие к формальному планированию, основанное на мнении, что бизнес ¾ это умение «крутиться», правильно ориентироваться в текущей обстановке, а отсюда недостаточное внимание даже к не очень отдаленному будущему. Тем не менее, многие из крупных фирм начали создавать подразделения планирования, или, по крайней мере, ввели должность финансиста-плановика.
2. Государственные и бывшие государственные, ныне приватизированные предприятия. Для них функция планирования является традиционной. Однако их опыт планирования относится в основном к периоду централизованной экономики. Отсюда планирование на этих предприятиях носило вторичный характер, отражало плановую деятельность на центральном и отраслевом уровнях, и, следовательно, не предполагало серьезного умения анализировать и предвидеть собственные цели развития.
Поэтому, как организациям первого типа, так и государственным и приватизированным предприятиям необходимо заново осваивать опыт внутрифирменного планирования.
Современный рынок предъявляет серьезные требования к предприятию. Сложность и высокая подвижность происходящих на нем процессов создают новые предпосылки для более серьезного применения планирования. Основными факторами возрастающей роли планирования в современных условиях являются:
· увеличение размеров фирмы и усложнение форм ее деятельности;
· высокая нестабильность внешних условий и факторов;
· новый стиль руководства персоналом;
· усиление центробежных сил в экономической организации;
Возможности планирования в экономической организации предприятия ограничены рядом объективных и субъективных причин. Наиболее важными из них являются:
· неопределенность внешней (рыночной) среды;
· возможность слияния или поглощения другой фирмой;
· возможность монопольного установления цены реализации продукции;
· контрактные отношения;
Но в качестве выхода из такого положения можно предложить развитие и более тесное активное взаимодействие менеджеров и плановиков, как в процессе плановой деятельности, так и в обсуждении общих вопросов работы фирмы.
Бизнес-план посвящен открытию пункта общественного питания, а именно нового кафе-бара, в микрорайоне Академгородок в г. Иркутске. Данный проект планируется реализовать без образования юридического лица для уменьшения налогообложения и упрощения финансовой отчетности.
Планируемый объем выручки в месяц при достижении производственной мощности будет составлять около 350 тысяч рублей. Производственная мощность по проекту будет достигнута в течение 3-х месяцев.
Общая стоимость проекта составляет 500 тысяч рублей. Планируется, что источником финансирования проекта будет коммерческий банк «КМБ-банк».
Проведенный анализ рынка сбыта показал, что в Академгородке при существующих точках общественного питания (столовые и бары) спрос превышает предложение, и на сегодня эта ниша рынка еще не занята, а следовательно жесткой конкурентной борьбы не ожидается.
Конкурентоспособность фирмы обеспечивается: удобством расположения, высокими вкусовыми качествами блюд, уровнем качества сервиса и обслуживания, что по сравнению с другими конкурентами дает большие преимущества. Предлагается ввести американский стиль обслуживания. Одним из важнейших показателей такого стиля является система чаевых, планируется 10% суммы счета приплюсовывать к общей сумме в качестве платы за сервис. Это будут небольшие суммы, но они значительным образом повысят мотивацию труда у официантов, требовательность к качеству обслуживания у клиентов. Будет вырабатываться новая культура потребления, подстегивая рост качества обслуживания, что дает огромное преимущество перед конкурентами. Еще одной отличительной чертой данного кафе-бара будет гибкий график работы.
Персонал фирмы комплектуется из высококвалифицированных работников (особенно это касается шеф-повара и помощника повара, а также официантов). Общая численность наемного персонала – 12 человек.
Срок окупаемости проекта менее года (около 11 месяцев).
Исходя из собственного опыта работы в американских барах-ресторанах, быстрой окупаемости подобных заведений, большого спроса и высоких прибылей, было решено разработать проект. Проект предполагает создание точки общественного питания — кафе-бар.
Данный проект планируется реализовать без образования юридического лица для уменьшения налогообложения и упрощения финансовой отчетности.
Для финансирования проекта планируется взять льготный кредит в сумме 500 тысяч рублей сроком на 1 год под 26 % годовых в фонде поддержки малого предпринимательства при администрации Иркутской области в рамках программы поддержки малого предпринимательства, где общественное питание является одной из приоритетных отраслей.
Возможен другой вариант получения кредита: коммерческий банк «КМБ-банк» так же финансирует проекты под 26 % годовых. Перечень структур, где есть возможность получить кредит для создания малого бизнеса приведен в таблице 1.
Таблица 1.
Адреса структур поддержки малого предпринимательства в Иркутской области на 1 января 2003 года
| Название | Руководитель | Адрес | Тел/факс | |
| 1 | Департамент предпринимательства, среднего и малого бизнеса администрации Иркутской области | Начальник департамента- (вакансия) | 664027, Иркутск, ул. Горького, 31 к. 340-341 | тел/факс: (3952) 24-15-80, 2412-65 |
| 2 | Фонд микрокредитования — Фонд поддержки малого предпринимательства | Директор- Тангаров Семен Сидорович | 664011, Иркутск, ул. Пролетарская, 7-б | (3952) 33-62-72 |
| 3 | Лизинговая компания ОАО «Иркутский бизнес-парк» | Ген. директор- Снегирев Влади- мир Иванович | 664011, Иркутск, ул. Пролетарская, 7-б | тел/факс: (3952) 34-30-37 |
Для организации производства требуется приобрести:
· технологическое оборудование (микроволновая печь, холодильная камера «витрина», разделочный инструмент, посуда, полки для посуды, посудомоечное оборудование);
· мебель (столы, стулья, барная стойка);
· произвести небольшой ремонт помещения направленный на улучшение интерьера. Помещение планируется взять на правах долгосрочной аренды.
Основные требования к персоналу — наличие необходимой профессиональной квалификации. Для обеспечения профессионализма работников возможны тренинги и возможный рост по служебной лестнице наподобие стратегии сети ресторанов быстрого питания «McDonald’s». Общее количество создаваемых рабочих мест, включая руководителя — владельца свидетельства на частную предпринимательскую деятельность — 13 человек.
Местом расположения кафе будет Академгородок. Это обусловлено тем, что в данном районе существует нехватка подобных заведений. Аренда помещений в данном районе также считается невысокой. В Академгородке расположено множество учебных заведений, поэтому ожидается большой спрос. Целью создания кафе является удовлетворение данного спроса.
Главным преимуществом нового проекта считается удобное расположение (недалеко от учебных заведений), быстрое обслуживание, невысокие цены и качество продукции.
От других кафе, баров и ресторанов Иркутска данный проект будет отличаться тем, что будет использоваться американский стиль обслуживания. Одним из важнейших показателей такого стиля является система чаевых. Планируется 10% суммы счета приплюсовывать к общей сумме в качестве платы за сервис. Это будут небольшие суммы, но они значительным образом повысят мотивацию труда у официантов, требовательность к качеству обслуживания у клиентов. Будет вырабатываться новая культура потребления, подстегивая рост качества обслуживания, что дает огромное преимущество перед конкурентами.
Ориентировочное открытие кафе намечено на июль. Так как основными клиентами кафе будут сотрудники научно-исследовательских институтов и жители микрорайона Академгородок, было решено дать название кафе «Академ».
После выхода на производственную мощность планируется арендовать помещение под склад продуктов.
Упрощенный список продуктов приведен в таблице 1. Номенклатура продуктов по каждому типу составляет от 5 до 15 наименований. Срок выхода на проектную мощность 2 месяца. В кафе планируется продажа элитных сортов товаров. Объемы сбыта продукции в количественном выражении приведены в таблице 2.
Таблица 2.
СПИСОК ПРОДУКТОВ.
| Наименование продукта | Единицы измерения продуктов. | Цены (в рублях) | |
| Кофе | Чашка | 6,00 | |
| Кофе из свежемолотых зерен | Чашка | 25,00 | |
| Кофе капучино | Чашка | 25,00 | |
| Мороженное | Порция | От 8,00 | |
| Коктейли молочные | 250г | От 10,00 | |
| Пирожное | шт. | От 8,00 | |
| Бутерброды | шт. | От 8,00 | |
| Горячие блюда | порция | От 15,00 | |
| Десертные блюда | порция | От 12,00 | |
| 10. | Вино | бутылка | От 70,00 |
| 11. | Пиво | бутылка | От 25,00 |
| 12. | Окорочка гриль | порция | 35,00 |
| 13. | Салаты | порция | От 15,00 |
| 14. | Фрукты | 250г. | От 9.00 |
| 15. | Пельмени | Порция | От 14.00 |
| 16. | Позы | Порция (3 шт.) | 50,00 |
| 17. | Пицца | порция | От 24.00 |
| 18. | Суп | 250г. | От 9.00 |
| 19. | Борщ | 250г. | 10.00 |
| 20. | Шампанское | бутылка | От 95,00 |
Анализ будущего рынка сбыта – это один из важнейших этапов подготовки бизнес-планов, и на такую работу нельзя жалеть ни средств, ни сил, ни времени. Опыт показывает, что неудача большинства провалившихся со временем коммерческих проектов, была связана именно со слабым изучением рынка и переоценкой его емкости.
Самыми первыми сведениями, которые могут потребоваться, является информация о:
· потенциальных покупателях;
· положении на рынке и его конъюнктуры;
Нет ничего ошибочней, чем полагать, что достоинства вашего товара столь очевидны, что его захотят купить все предприятия той или иной отрасли.
Анализ необходимо начать с оценки потенциальной емкости рынка, т.е. общей стоимости товаров, которые покупатели определенного региона могут купить за определенный период времени. Она зависит от многих факторов: социальных, национально-культурных, климатических а главное – экономических, в том числе от уровня доходов ( или заработков потенциальных покупателей), структуры их расходов ( в том числе ссуд, сбережений или инвестиций), темпов инфляции, наличия ранее купленных товаров аналогичного назначения и т.д.
Конечно, сам набор учитываемых факторов зависит от характера самого проекта.
Вторым этапом является оценка потенциальной суммы продаж, т.е. той доли рынка, которую мы надеемся захватить, и соответственно той максимальной суммы реализации, на которую мы можем рассчитывать на наших возможностях.
Третий этап – прогноз объемов продаж. На этом этапе оценивается реальность продажи определенного количества товаров.
При анализе рынка и основных конкурентов определяются размеры (емкость) рынка, степень насыщенности рынка, тенденции изменения этих параметров на ближайшую перспективу, выявляются наиболее перспективные рынки сбыта и обосновываются причины предпочтения, производится анализ и оценка основных конкурентов.
На сегодняшний день проблема общественного питания в некоторых районах города достаточно актуальна. Особенно остро это ощущается в Академгородке, в котором расположено множество научно-исследовательских учреждений.
Существующие на сегодняшний день в этом районе предприятия общественного питания можно условно разделить на два типа: крупные и мелкие предприятия быстрого обслуживания.
К первым можно отнести столовые и кафе. Их отличительной особенностью является не очень высокий сервис и качество обслуживания при достаточно нормальной цене, средний обед обходится примерно в 50-70 рублей и выше, то есть они ориентированы на людей, которые заняты в области науки, но качество предлагаемых блюд очень не высокое.
Ко вторым относятся небольшие закусочные и бары. Их условно можно разделить еще на два типа:
1. дорогие фирменные закусочные и бары, которые отличаются высоким качеством обслуживания и достаточно высокими близкими к крупным предприятиям общественного питания ценами.
2. небольшие закусочные, которые предлагают хотя и дешевую, но не всегда качественную продукцию.
Общей отличительной чертой является ограниченный ассортимент выпускаемой продукции, что вызвано небольшими размерами занимаемых ими помещений.
Исходя из этого, можно сделать вывод, что действующие в этом районе города предприятия общественного питания не могут в полной мере удовлетворить существующий на данном рынке спрос и есть реальная потребность в кафе как быстрого обслуживания с широким ассортиментом предлагаемой продукции, так и с приготовлением блюд ресторанного типа, отличающихся высоким сервисом, качеством обслуживания и невысокими ценами.
Сравнительные характеристики основных показателей проекта и фирм-конкурентов представлены в таблице 3.
Таблица 3.
СРАВНИТЕЛЬНАЯ ТАБЛИЦА.
| Качественные характеристики | проект кафе | Существующие точки общественного питания |
| сервис | Высокий, предполагается обслуживание клиентов | Низкий, самообслуживание |
| цены | Средние | Средние, высокие |
| ассортимент | широкий | Небольшой |
| вкусовые качества блюд | высокие | Средние |
| месторасположение | удобное | Среднее. |
| услуги и удобства | высокий уровень | Средний уровень, в некоторых точках питания отсутствуют |
| отношение к клиентам | отличное | Среднее, чаще всего рассчитаны на определенную категорию людей |
| американский стиль обслуживания | присутствует | Отсутствует |
Таким образом, мы видим, что данный проект имеет лучшие качественные характеристики.
Значительных сезонных колебаний спроса не предполагается, так как в рабочие дни основными потребителями будут люди работающие в близлежащих зданиях и студенты, а в вечернее время и выходные дни — люди приезжающие из других районов для культурного отдыха и гости города.
Ценовая политика ориентирована на потребителей со средним уровнем дохода (согласно статистических данных средняя заработная плата по городу Иркутску составляет 3000 рублей). Для оптимальности доходов будет использоваться 2 разных меню: одно из них будет рассчитано на людей с высоким уровнем достатка.
В силу того, что предприятий общественного питания подобного уровня в данном районе нет, и ниша, на которую будет ориентировано кафе, практически свободна, серьезной конкурентной борьбы не предполагается.
ГРАФИК РАБОТЫ КАФЕ.
В отличие от графика работы большинства баров (с 12:00 до 24:00) проектное кафе будет работать с 12:00 до 03:00, что позволит заинтересовать «поздних клиентов» и будет являться еще одним преимуществом.
Особенностью работы кафе будет двойной режим работы. С 12:00 до 18:00 кафе работает в режиме бистро. С 18:00 до 03:00 – в режиме ресторана.
В подготовительный период необходимо выполнить следующий объем работ:
1. получить кредит в “КМБ-банке”;
2. заключить договор на аренду помещения;
3. закупить необходимое для организации производственного процесса оборудование;
4. произвести ремонт помещения;
5. закупить мебель;
6. произвести подбор персонала;
7. заключить договора на поставку сырья и расходных материалов;
8. получить разрешения на продажу продуктов питания, спиртных напитков и оказание услуг в сфере общественного питания.
Порядок, длительность и стоимость этапов отражены в календарном плане в таблице 4.
Таблица 4.
Календарный план.
| № | Наименование этапа | Длительность (дней) | Дата начала | Дата окончания | Стоимость этапа (тыс. руб.) |
| 1. | Оформление кредита | 15 | 1.06.03 | 16.06.03 | |
| 2. | Заключение договора аренды | 5 | 16.06.03 | 21.06.03 | |
| 3. | Отделка помещения | 15 | 22.06.03 | 7.07.03 | 125000 |
| 3. | Покупка оборудования, мебели | 7 | 1.07.03 | 8.07.03 | 302150 |
| 7. | Заключение договоров на поставку сырья | 10 | 26.06.03 | 7.07.03 | |
| 8. | Получение разрешений | 18 | 22.06.03 | 10.07.03 | |
| 9. | Открытие кафе | 12.07.03 |
РЕМОНТ
Поскольку планируется арендовывать цокольный этаж жилого дома, понадобится сделать ремонт помещения. Будут проделаны 2 прохода, снесены и сложены некоторые стены. Затем будут произведены штукатурка всего помещения, побелка потолка, проведена проводка, сделаны помещения под кухню, гардероб, сан узел, будет сделана барная стойка. Для удобства некурящих и проветривания кафе планируется использовать вытягивающий вентилятор. Сумма всех материалов, включая ассигнования на ремонтные работы, составит 125000 рублей.
Таблица 5.
| Наименование оборудования | Количество в штуках. | Цена оборудования в руб. | Общая цена в руб. |
| Барная стойка | 1 | ||
| Стулья | 42, в т. ч. 2 барных | 800 | 35000 |
| Столы | 10 | 2500 | 25000 |
| Гардеробная вешалка | 1 | 1000 | 1000 |
| Люстры | 4 | 2500 | 10000 |
| Музыкальный центр | 1 | 9000 | 9000 |
| Витрина | 1 | 9500 | 9500 |
| Микроволновая печь | 1 | 3500 | 3500 |
| Плита | 1 | 22000 | 22000 |
| Холодильник | 2 | 9000 | 18000 |
| Стол разделочный | 2 | 5000 | 10000 |
| Машина для мойки посуды | 1 | 8000 | 8000 |
| Разделочный аппарат | 1 | 18000 | 18000 |
| Ящики под посуду | 5 | 150 | 750 |
| Подносы | 2 | 600 | 1200 |
| Полки под посуду | 4 | 300 | 1200 |
| Прочие расходы | 15000 | ||
| Итого | 187150 |
Затраты на покупку посуды представлены в таблице 6.
Таблица 6.
| Наименование посуды | Количество в штуках. | Цена посуды в руб. | Общая цена в руб. |
| Тарелка столовая | 80 | 150 | 12000 |
| Тарелка средняя | 80 | 120 | 9600 |
| Тарелка десертная | 80 | 120 | 9600 |
| Набор кастрюль | 3 | 2500 | 7500 |
| Разделочные ножи | 2 набора | 2000 | 4000 |
| Ножи столовые | 80 | 200 | 16000 |
| Набор сковородок | 2 | 2000 | 4000 |
| Вилка | 80 | 50 | 4000 |
| Ложка столовая | 80 | 50 | 4000 |
| Ложка десертная | 80 | 40 | 3200 |
| Ложка чайная | 80 | 40 | 3200 |
| Пепельница | 20 | 60 | 1200 |
| Ваза | 20 | 200 | 4000 |
| Кувшин | 20 | 250 | 5000 |
| Графин под водку | 10 | 250 | 2500 |
| Стопки под водку | 80 | 50 | 4000 |
| Фужеры для вина | 80 | 100 | 8000 |
| Фужеры для воды | 80 | 100 | 8000 |
| Набор солонок | 20 | 50 | 1000 |
| Прочие расходы | 15000 | ||
| Итого | 125800 |
Общие первоначальные затраты представлены в таблице 7.
Таблица 7.
| Затраты | Сумма в рублях |
| На ремонт | 125000 |
| Закупка оборудования | 187150 |
| Закупка посуды | 125800 |
| Итого затраты | 437950 |
После окончания подготовительного периода открывается кафе. Срок выхода на проектную мощность определен в 2-3 месяца, в зависимости от стратегии «рекламного наступления». Ввиду выгодного месторасположения проведение крупной рекламной кампании не планируется, но на первоначальном этапе возможно проведение небольших рекламных мероприятий направленных на информирование потенциальных клиентов об открытии нового кафе быстрого обслуживания в этом районе. Основное требование к этим мероприятиям — целевое направление рекламы при минимуме затрат. Этого можно достичь путем размещения рекламных объявлений в холлах офисных и административных зданий, расположенных в этом районе, проведением презентации с приглашением представителей организаций предприятий и крупных фирм, находящихся в этом районе, оформлением вывески на фасаде здания в котором будет размещаться кафе и так далее. Такого рода мероприятия обеспечат целенаправленность и не требуют значительных финансовых вложений. Размещение подобной рекламы в газетах, как показывает опыт, малоэффективно, так как такая реклама не направлена на конечного потребителя и может оказаться не замеченной среди других рекламных объявлений, а для проведения рекламной компании в других средствах массовой информации (радио, телевидение) требует больших финансовых вложений и значительно увеличит стоимость проекта и срок его окупаемости, к тому же возможность финансирования крупной рекламной компании за счет кредитных средств маловероятно и может создать негативное впечатление о проекте у инвестора.
Для обеспечения производственного процесса предусмотрено следующее штатное расписание.
Таблица 8.
Персонал.
| Должность | Кол.(чел) | Заработная плата, в руб. | Выплаты | Испытательный срок |
| Повар* | 1 | 15000 | Ежемесячно | 3 мес. З/п – 12000 т.р. |
| Помощник повара* | 1 | 12000 | Ежемесячно | 3 мес. З/п – 8000 т.р |
| Официант* | 5 | 3000 | Ежемесячно | 3 мес. |
| Мойщик посуды | 1 | 3000 | Ежемесячно | - |
| Гардеробщик | 1 | 2000 | Ежемесячно | - |
| Охранник | 3 | 4000 | Ежемесячно | - |
| Уборщица** | 1 | 2000 | Ежемесячно | - |
| Итого заработной платы: | 41000 |
* Для этой категории людей предусмотрен испытательный срок до 3-х месяцев.
**Уборщица будет работать по совместительству дворником.
Подбор персонала планируется осуществлять перед пуском производства с учетом следующих требований:
1. наличие профессиональной подготовки и квалификации по данной специальности;
2. наличие опыта работы на аналогичных предприятиях общественного питания;
3. коммуникабельность, умение работать с клиентами;
4. знание нормативных документов, регламентирующих работу в сфере торговли и общественного питания.
Таблица 9.
ОБЯЗАННОСТИ ПЕРСОНАЛА.
| Должность | Кол.(чел) | |
| Повар* | 1 | Приготовление блюд, контроль процесса приготовления еды, соблюдение техники безопасности |
| Помощник повара* | 1 | Выполнение указаний шеф-повара |
| Официант* | 5 | Принятие заказов от клиентов, обслуживание столов |
| Мойщик посуды | 1 | Мытье посуды, сортировка чистой посуды |
| Гардеробщик | 1 | Обслуживание клиентов в гардеробной |
| Охранник | 3 | Соблюдение порядка, предотвращение конфликтов |
| Уборщица** | 1 | Уборка территории вокруг кафе, уборка кафе |
Таблица 10.
ФОНД ЗАРАБОТНОЙ ПЛАТЫ НА 1 МЕСЯЦ.
| № | Фонд заработной платы | Во время испытательного срока | После испытательного срока |
| 1 | Заработная плата | 32000 | 41000 |
| 2 | Начисления на заработную плату | 12320 | 15785 |
| ИТОГО | 44320 | 56785 |
Последствия плохого подбора персонала могут быть просто катастрофическими. По этой причине, если услуга фирмы по подбору персонала может показаться высокой, не надо торопиться отказываться.
Предприятие сильно своим персоналом. Грамотные руководители и квалифицированный персонал могут вывести из кризиса даже самое неэффективно работающее предприятие, плохие же – разорить самое процветающее.
Организационная структура
Существует два типа организационных структур, на которые следует обратить внимание:
Первый тип – ФУНКЦИОНАЛЬНЫЙ . В структурах такого типа каждый исполнитель имеет перед собой задачу-функцию, которую он должен выполнить качественно и в срок, за что получает соответствующее вознаграждение. Размер вознаграждения определяется в зависимости от качества и объема выполненной работы. Организационные структуры такого типа определяют стабильность функционирования предприятия .
Структуры второго типа получили название ЦЕЛЕВЫХ . Здесь работники решают задачи целевого характера, чем обеспечивают продвижение предприятия к новым рубежам (к продвижению товара на новый рынок, к созданию нового продукта, к формированию новой стратегии конкурентной борьбы). Вознаграждаются они в основном за то, что успешно решают задачи и добиваются нужного результата. Руководитель предприятия должен осознать сам, что он хочет добиться: стабильности функционирования илидинамичности развития. В идеале важно сочетать и то и другое, но в зависимости от стадии, в которой находится предприятие, нужно делать акцент на структуре одного из двух типов. Выбор организационной структуры существенно зависит и от правильного решения следующей проблемы.
Организационная структура кафе выбрана линейная: плюсы – единоначалие, четкая субординация с конкретным разграничением прав и обязанностей, минусы – необходима большая компетентность руководителя.
Любое предприятие, независимо от формы деятельности, должно прибегать к услугам бухгалтера, юриста, банка, страховой компании. Невозможно работать без этих видов услуг, от их качества зависит успешная деятельность предприятия. Можно пользоваться услугами и
Торгово-промышленной палаты,
Ассоциаций, союзов и клубов предпринимателей,
Программ и фондов содействия развитию малого бизнеса,
Консультационных и маркетинговых фирм,
Университетов, школ бизнеса.
Не обязательно пользоваться услугами этих организаций, но может настать минута, когда их знания и опыт будут истинно незаменимы.
Организационная структура управления приведена на рис. 2
![]()
Планируемый физический объем продаж приведен в таблице 11.
Таблица 11.
ФИЗИЧЕСКИЙ ОБЪЕМ СБЫТА (в месяц).
| Наименование статьи | 06/03 | 07/03 | 08/03 | 09/03 | 10/2003 | 11/03 |
| Кофе | - | 3600 | 5400 | 7200 | 7200 | 7200 |
| Мороженное | - | 5700 | 8550 | 8550 | 7600 | 6900 |
| Коктейли | - | 2000 | 3600 | 3600 | 4200 | 4200 |
| Пирожное | - | 5550 | 8320 | 11100 | 11100 | 11100 |
| Бутерброды | - | 4970 | 7380 | 9840 | 7000 | 7000 |
| Горячие блюда | - | 43200 | 64800 | 86400 | 86400 | 86400 |
| Десертные блюда | - | 9600 | 14400 | 19200 | 19200 | 19200 |
| Спиртные напитки | - | 72000 | 108000 | 144000 | 144000 | 144000 |
| Пиво | - | 14400 | 21600 | 28800 | 28800 | 28800 |
| Окорочка гриль | - | 5250 | 7800 | 10500 | 10500 | 10500 |
| Салаты | - | 12600 | 18900 | 25200 | 25200 | 25200 |
| Шампанское | - | 500 | 1000 | 1500 | 1500 | 1500 |
| 179370 | 269750 | 355890 | 354940 | 354240 |
Продолжение таблицы 11.
| Наименование статьи | 12/03 | 01/04 | 02/04 | 03/04 | 04/04 | 05/04 |
| Кофе | 7200 | 7200 | 7200 | 7200 | 7200 | 7200 |
| Мороженное | 6200 | 5700 | 5700 | 5700 | 6200 | 7200 |
| Коктейли | 4200 | 4200 | 4200 | 4200 | 4200 | 4200 |
| Пирожное | 11100 | 11100 | 11100 | 11100 | 11100 | 11100 |
| Бутерброды | 7000 | 7000 | 7000 | 7000 | 7000 | 7000 |
| Горячие блюда | 86400 | 86400 | 86400 | 86400 | 86400 | 86400 |
| Десертные блюда | 19200 | 19200 | 19200 | 19200 | 19200 | 19200 |
| Спиртные напитки | 144000 | 144000 | 144000 | 144000 | 144000 | 144000 |
| Пиво | 28800 | 28800 | 28800 | 28800 | 28800 | 28800 |
| Окорочка гриль | 10500 | 10500 | 10500 | 10500 | 10500 | 10500 |
| Салаты | 25200 | 25200 | 25200 | 25200 | 25200 | 25200 |
| Шампанское | 1500 | 1500 | 1500 | 1500 | 1500 | 1500 |
| 353740 | 353240 | 353240 | 353240 | 353740 | 354740 |
Продолжение таблицы 11.
| Наименование статьи | 06/04 | 07/04 | 08/04 | 09/04 | 10/04 | 11/04 |
| Кофе | 7200 | 7200 | 7200 | 7200 | 7200 | 7200 |
| Мороженное | 11400 | 11400 | 11400 | 7200 | 6900 | 6200 |
| Коктейли | 4200 | 4200 | 4200 | 4200 | 4200 | 4200 |
| Пирожное | 11100 | 11100 | 11100 | 11100 | 11100 | 11100 |
| Бутерброды | 7000 | 7000 | 7000 | 7000 | 7000 | 7000 |
| Горячие блюда | 86400 | 86400 | 86400 | 86400 | 86400 | 86400 |
| Десертные блюда | 19200 | 19200 | 19200 | 19200 | 19200 | 19200 |
| Спиртные напитки | 144000 | 144000 | 144000 | 144000 | 144000 | 144000 |
| Пиво | 28800 | 28800 | 28800 | 28800 | 28800 | 28800 |
| Окорочка гриль | 10500 | 10500 | 10500 | 10500 | 10500 | 10500 |
| Салаты | 25200 | 25200 | 25200 | 25200 | 25200 | 25200 |
| Шампанское | 1500 | 1500 | 1500 | 1500 | 1500 | 1500 |
| 358940 | 358940 | 358940 | 354740 | 354240 | 353740 |
План по рискам. В предпринимательской деятельности всегда существует опасность того, что цели, поставленные в плане, могут быть полностью или частично не достигнуты.
Из всего перечня рисков особое внимание уделяется финансово-экономическим рискам, классификация и влияние которых отражены ниже.
Финансово-экономические риски
| Виды рисков | Отрицательное влияние на прибыль |
| Неустойчивость спроса | Падение спроса с ростом цен |
| Появление альтернативного продукта | Снижение спроса |
| Снижение цен конкурентов | Снижение цен |
| Увеличение производства у конкурентов | Падение продаж или снижение цен |
| Рост налогов | Уменьшение чистой прибыли |
| Платежеспособность потребителей | Падение продаж |
| Рост цен на сырье, материалы, перевозки | Снижение прибыли из-за роста цен |
| Зависимость от поставщиков, отсутствие альтернативы | Снижение прибыли из-за роста цен |
| Недостаток оборотных средств | Увеличение кредитов |
Для начала производственной деятельности необходимо рассчитать общую потребность в оборотных средствах – совокупный норматив оборотных средств – определяется суммированием частных нормативов по их элементам. Предполагается взять кредит на сумму 500 тысяч рублей под 26 % годовых.
Главным источником кредитования будет коммерческий банк «КМБ-банк». Расчеты показывают, что при устойчивом развитии
График платежей по кредиту: выплаты процентов по кредиту и ежемесячный взносы представлены в таблице 12.
Таблица 12.
| УСЛОВИЯ ПРЕДОСТАВЛЕНИЯ КРЕДИТА Сумма кредита: 500000 руб. Срок: 12 мес. Месяц выдачи кредита: июль Процентная ставка: 26% ПРИБЛИЗИТЕЛЬНЫЕ РЕЗУЛЬТАТЫ РАСЧЕТА | ||||
| № | График платежей | Ежемесячный взнос: 47765 из этого: | Сальдо | |
| Проценты | Возврат капитала | |||
| 1 | 08/2004 | 10833 | 36932 | 463068 |
| 2 | 09/2004 | 10033 | 37732 | 425336 |
| 3 | 10/2004 | 9216 | 38549 | 386787 |
| 4 | 11/2004 | 8380 | 39385 | 347402 |
| 5 | 12/2004 | 7527 | 40238 | 307164 |
| 6 | 01/2005 | 6655 | 41110 | 266054 |
| 7 | 02/2005 | 5765 | 42001 | 224054 |
| 8 | 03/2005 | 4854 | 42911 | 181143 |
| 9 | 04/2005 | 3925 | 43840 | 137303 |
| 10 | 05/2005 | 2975 | 44790 | 92513 |
| 11 | 06/2005 | 2004 | 45761 | 46752 |
| 12 | 07/2005 | 1013 | 46752 | |
| ИТОГО: | 73181 | 500000 |
Таблица 13.
Расходы по приобретению продуктов.
| Наименование статьи | 06/03 | 07/03 | 08/03 | 09/03 | 10/2003 | 11/03 |
| Кофе | - | 1200 | 1800 | 2400 | 2400 | 2400 |
| Мороженное | - | 2160 | 3240 | 3240 | 3240 | 3240 |
| Коктейли | - | 1200 | 1800 | 2400 | 2400 | 2400 |
| Пирожное | - | 5280 | 7920 | 10560 | 10560 | 10560 |
| Бутерброды | - | 2640 | 3960 | 5280 | 5280 | 5280 |
| Горячие блюда | - | 28944 | 43416 | 57888 | 57888 | 57888 |
| Десертные блюда | - | 3200 | 4800 | 6400 | 6400 | 6400 |
| Спиртные напитки | - | 36000 | 54000 | 72000 | 72000 | 72000 |
| Пиво | - | 7200 | 10800 | 14400 | 14400 | 14400 |
| Окорочка гриль | - | 4594 | 6891 | 9188 | 9188 | 9188 |
| Салаты | - | 2772 | 4158 | 5544 | 5544 | 5544 |
| Шампанское | - | 375 | 750 | 1125 | 1125 | 1125 |
| ИТОГО: | 95565 | 143535 | 190425 | 190425 | 190425 |
В таблице 13 отражены расходы по отдельным видам товаров по оптовым ценам плюс в цену товара включается затраты на электроэнергию. В виду специфики работы кафе – эти затраты будут увеличиваться (или уменьшаться) в зависимости от спроса.
В таблице 14 отражен бюджет по прибыли и убыткам на период с открытия кафе (июль 2003 г.) до ноября 2004. В июле 2004 года по проекту предусматривается полное погашение кредита.
Таблица 14.
Бюджет по прибыли (и убыткам), в рублях.
| 07.03 | 08.03 | 09.03 | 10.03 | 11.03 | 12.03 | |
| Объем продаж | 179370 | 269750 | 355890 | 354940 | 354240 | 354240 |
| Прямые издержки, всего | 83850 | 143535 | 190425 | 190425 | 190425 | 190425 |
| Валовой доход | 95520 | 126215 | 165465 | 164515 | 163815 | 163815 |
| Косвенные издержки | 49200 | 50200 | 51200 | 59200 | 59200 | 59200 |
| — З/п персонала | 34000 | 34000 | 34000 | 41000 | 41000 | 41000 |
| — аренда | 13200 | 13200 | 13200 | 13200 | 13200 | 13200 |
| — проч. издержки | 2000 | 3000 | 4000 | 5000 | 5000 | 5000 |
| Валовая прибыль | 46320 | 76015 | 114265 | 105315 | 104615 | 104615 |
| Возврат кредита | 47765 | 47765 | 47765 | 47765 | 47765 | 47765 |
| Итого: | -1445 | 28250 | 66500 | 57550 | 56850 | 56850 |
| Налоги | 12410 | 16082,5 | 21055 | 22446,5 | 22355,5 | 22355,5 |
| — Единый социальный налог | 12410 | 12410 | 12410 | 14965 | 14965 | 14965 |
| — Подоходный налог с прибыли частного предпринимателя | 3672,5 | 8645 | 7481,5 | 7390,5 | 7390,5 | |
| Чистая нераспределенная прибыль | -1445 | 24577,5 | 57855 | 50068,5 | 49459,5 | 49459,5 |
| То же нарастающим итогом | -1445 | 23132,5 | 80987,5 | 131056 | 180515,5 | 229975 |
Продолжение таблицы 14.
| 1.03 | 02.04 | 03.04 | 04.04 | 05.04 | 06.04 | |
| Объем продаж | 354240 | 354240 | 354240 | 354240 | 354240 | 354240 |
| Прямые издержки, всего | 190425 | 190425 | 190425 | 190425 | 190425 | 190425 |
| Валовой доход | 163815 | 163815 | 163815 | 163815 | 163815 | 163815 |
| Косвенные издержки | 59200 | 59200 | 59200 | 59200 | 59200 | 59200 |
| — З/п персонала | 41000 | 41000 | 41000 | 41000 | 41000 | 41000 |
| — аренда | 13200 | 13200 | 13200 | 13200 | 13200 | 13200 |
| — проч. издержки | 5000 | 5000 | 5000 | 5000 | 5000 | 5000 |
| Валовая прибыль | 104615 | 104615 | 104615 | 104615 | 104615 | 104615 |
| Возврат кредита | 47765 | 47765 | 47765 | 47765 | 47765 | 47765 |
| Итого: | 56850 | 56850 | 56850 | 56850 | 56850 | 56850 |
| Налоги | 22355,5 | 22355,5 | 22355,5 | 22355,5 | 22355,5 | 22355,5 |
| — Единый социальный налог | 14965 | 14965 | 14965 | 14965 | 14965 | 14965 |
| — Подоходный налог с прибыли частного предпринимателя. | 7390,5 | 7390,5 | 7390,5 | 7390,5 | 7390,5 | 7390,5 |
| Чистая нераспределенная прибыль | 49459,5 | 49459,5 | 49459,5 | 49459,5 | 49459,5 | 49459,5 |
| То же нарастающим итогом | 279434,5 | 328894 | 378353,5 | 427813 | 477272,5 | 526732 |
Продолжение таблицы 14.
| 07.04 | 08.04 | 0.904 | 10.04 | 11.04 | |
| Объем продаж (всего) | 354240 | 354240 | 354240 | 354240 | 354240 |
| Прямые издержки, всего | 190425 | 190425 | 190425 | 190425 | 190425 |
| Валовой доход | 163815 | 163815 | 163815 | 163815 | 163815 |
| Косвенные издержки | 59200 | 59200 | 59200 | 59200 | 59200 |
| — З/п персонала | 41000 | 41000 | 41000 | 41000 | 41000 |
| — аренда | 13200 | 13200 | 13200 | 13200 | 13200 |
| — прочие издержки | 5000 | 5000 | 5000 | 5000 | 5000 |
| Валовая прибыль | 104615 | 104615 | 104615 | 104615 | 104615 |
| Возврат кредита | 47765 | 47765 | 47765 | 47765 | 47765 |
| Итого: | 56850 | 56850 | 56850 | 56850 | 56850 |
| Налоги | 22355,5 | 22355,5 | 22355,5 | 22355,5 | 22355,5 |
| — Единый социальный налог | 14965 | 14965 | 14965 | 14965 | 14965 |
| — Подоходный налог с прибыли частного предпринимателя. | 7390,5 | 7390,5 | 7390,5 | 7390,5 | 7390,5 |
| Чистая нераспределенная прибыль | 49459,5 | 49459,5 | 49459,5 | 49459,5 | 49459,5 |
| То же нарастающим итогом | 576191,5 | 625651 | 675110,5 | 724570 | 774029,5 |
Таблица 15.
Финансовый план, в рублях
| Наименование показателя | 07.03 | 08.03 | 09.03 | 10.03 |
| Поступление выручки | 179370 | 269750 | 355890 | 354940 |
| Поступление кредитных средств | 62050 | |||
| Итого поступления | 241420 | 269750 | 355890 | 354940 |
| Платежи на сторону всего | 157225 | 220582,5 | 272445 | 273836,5 |
| в том числе | ||||
| рсчеты с поставщиками | 83850 | 143535 | 190425 | 190425 |
| Реклама | ||||
| Аренда | 13200 | 13200 | 13200 | 13200 |
| процент по кредиту, | ||||
| возврат кредита | 47765 | 47765 | 47765 | 47765 |
| Единый социальный налог | 12410 | 12410 | 12410 | 14965 |
| подоходный налог | 3672,5 | 8645 | 7481,5 | |
| Баланс платежей | 84195 | 49167,5 | 83445 | 81103,5 |
Анализ и планирование движения денежных средств составляет основу успешной деятельности, поскольку одной из основных задач как предпринимателя является поддержание текущей платежеспособности предприятия. Если в проекте отчета о прибылях и движение денежных средств, определяется, когда конкретно и сколько денег поступит, или будет уплачено по счетам поставщиков продукции или кредиторов, чтобы обеспечить нормальную деятельность предприятия. Внимательный и аккуратный анализ планируемых поступлений и расходов поможет наиболее оптимально привлекать кредиты или, наоборот, выгодно вкладывать временно свободные денежные средства.
Когда планируется движение денежных средств необходимо иметь четкое представление об основных его потоках, то есть о том, кто, когда, кому и сколько должен заплатить, как это оговорено заключенными контрактами. Налоговым законодательством и другими документами.
Прежде всего, необходимо установить конкретные источники поступления денег: выручка от реализации товаров и услуг; авансы. Полученные от покупателей; средства, полученные от финансовых вложений и продажи ценных бумаг; средства, полученные от продажи части основных средств и оборудования; кредиты и займы; новые инвестиции и т.п.
В такой план необходимо включать только реальные поступления и расходы. Планируемые на каждый конкретный период времени. Это должны быть фактически выплачиваемые деньги, а не обязательства. Которые приняты на себя сейчас, для того, чтобы заплатить по ним в будущем. Эти обязательства отражаются в проекте отчета о финансовых результатах деятельности и в балансе.
Необходимо составить таблицу плановых показателей движения денег по месяцам первого года и кварталам второго и третьего года, примерно так, как составлялся проект отчета о финансовых результатах деятельности и необходимыми комментариями. В дальнейшем, возможно, сравнить плановые показатели с фактическими, что поможет вовремя выявить возможные отклонения, проанализировать причины их возникновения и предпринять адекватные ответные меры.
Конечно, такие детали, которые содержатся в отчете о движении денежных средств предприятия, могут раскрыть как сильные, так и слабые стороны деятельности фирмы. Поэтому, информация носит конфиденциальный характер, то желательно позаботиться о том, чтобы не было ее утечки.
Анализ безубыточности.
Анализ безубыточности помогает определить тот минимально необходимые объем реализации продукции. При котором предприятие покрывает свои расходы и работает безубыточно, не давая прибыли, но и не неся убытков. Задавая этот уровень или, как иногда говорят, «точку безубыточности», возникает задача, от успешного решения которой напрямую зависит прибыльность или убыточность деятельности предприятия.
Для предприятий, производящих и реализующих один продукт, расчет точки безубыточности может быть довольно простым, но этот же расчет для предприятий, производящих и реализующих несколько продуктов, оказывается довольно сложным, но в принципе точка безубыточности для кафе будет равняться.
Как уже отмечалось выше, когда обсуждались показатели, входящие в отчет о финансовых результатах деятельности предприятия, постоянные (фиксированные) расходы представляют собой неизменные, не зависящие от уровня реализации продукции затраты. Эти расходы должны быть оплачены, даже если предприятие не получит никакого дохода. К ним относятся: расходы на заработную плату штатного персонала, на аренду, отдельные виды налогов (например, на фонд оплаты труда) и обязательных платежей в бюджет (отчисления в пенсионный фонд, в фонд занятости и т.п.), выплата процентов по кредитам и займам. А также различного рода «скрытые расходы», например амортизация.
Переменные расходы связаны непосредственно с объемом реализованной продукции. Он включают в себя затраты на производство, закупку и реализацию продукции. Переменную часть затрат на рабочую силу, а также комиссионные от реализации и т.п.
В случае если заранее невозможно сказать, какими будут суммарные переменные расходы в абсолютном денежном выражении. При расчете безубыточности возможно использовать относительную величину валовой прибыли ВПр (%), выраженную в процентах от объема реализации продукции:
ВПР (%) =ПсР/ОбРбу=59200/269625
Проведем расчет уровня безубыточности на основании данных, полученных из проекта отчета о финансовых результатах деятельности фирмы к концу первого года.
Рассчитываем точку безубыточности:
ОбРбу = ПсР/ВПр (%)=59200/27,33%=269624
Запас финансовой прочности составляет 84615 рублей, что в процентном соотношении к общим расходам составляет 31,38 %.
Итак, минимальный объем реализации, при котором кафе будет работать без убытков, но и без прибыли составляет 269624 рубля.
Анализ безубыточности проводился на момент выхождения на полную производственную мощность.

Из графика видно, что в октябре намечается снижение прибыли – это объясняется возрастанием постоянных расходов (повышение заработной платы).

Из графика видно, что точка безубыточности нет – это означает, что проект уже в начале первого месяца получает прибыль. Но есть некоторые нюансы. По законодательству о поддержке малого предпринимательства сумма выплат процентов по кредиту и возврата кредита вычитаются из налогооблагаемой базы. Поэтому в первый месяц предусматривается убыток в сумме 14 тысяч рублей. Этот убыток перекрывается остатками кредита (в сумме 60 тысяч рублей). Но уже со второго месяца появляется прибыль, что объясняется быстрой окупаемостью проекта.
Ценовая политика кафе.
Таблица 2.15
Ценовая политика предприятия
№ п/п | Постановка вопроса при исследовании объекта или метод его анализа | Характеристика и оценка фактического состояния дел | Прогноз положения дел, оценка его показателями и действия по его улучшению |
| 1. | Насколько цены отражают издержки вашего предприятия, конкурентоспособность товара, спрос на него | В полной мере. Уровень издержек ниже среднерыночных | Сохранится в полной мере. Постоянный анализ структуры издержек. |
| 2. | Какова вероятная реакция на повышение (понижение) цены? | Спрос эластичен, снижение цены ведет к росту объемов продаж. | При сохранении качества товара, «эластичность» стремится к 1. |
| 3. | Как оценивают покупатели уровень цен на товары вашего предприятия? | Уровень цен приемлем | При сохранении качества товара, цена станет вторичным критерием. |
| 4. | Как относятся покупатели к установленным ценам?* | Положительно | Положительно, даже при увеличении в случае обоснованности. |
| 5. | Используются ли предприятием (фирмой) политика стимулирующих цен? | Не предусматривается | Возможна, при ужесточении конкуренции. |
| 6. | Используется ли предприятием политика стандартных цен? | Используется на начальном этапе. | При стабильном экономическом положении предполагается установить гибкую систему ценообразования. |
| 7. | Как действует предприятие, когда конкуренты изменяют цены? | Проводится анализ конъюнктуры рынка, определяются возможные причины подобных действий конкурентов, принимаются меры для снижения возможных потерь. | Аналогичные действия, и, кроме того, могут проводиться переговоры с конкурентами. |
| 8. | Будут ли известны ли цены на товары вашего предприятия потенциальным покупателям? | Да, будут указаны в рекламе. | Предполагается рассылка рекламных проспектов с указанием цен постоянным клиентам, а так же потенциальным клиентам. |
* эти данные получены на основании маркетинговых исследований конкурентов.
Исходя из представленных данных, можно сделать следующие выводы:
· в планируемом периоде (2003 г.) имеет место рост объемов производства на 30 %;
· для успешной работы кафе «Академ» необходим кредит на сумму 500 000 руб.;
· норматив оборотных средств, в динамике, увеличивается, что объясняется ростом объемов выпуска продукции в 1999 и 2000 гг. и ростом индекса цен;
· себестоимость выпуска также увеличивается, хотя себестоимость единицы продукции не изменяется, что объясняется ростом заработной платы по истечению испытательного срока сотрудников кафе;
· сущность политики кафе заключается в вытеснении конкурента за счет качественного сервиса и обслуживания (у конкурентов в большинстве случаев сервис отсутствует). Ценовая политика рассматривается в таблице 16;
· линейная организационная структура данного предприятия достаточно эффективна и для этого проекта она наиболее оптимальная (по количеству работающих сотрудников);
· финансовый риск проекта небольшой, так как эта отрасль народного хозяйства быстро окупаемая, хотя такой фактор, как повышение арендной платы учитывается.
В целом реализация проекта по созданию точки общественного питания (кафе «Академ») экономически целесообразна. В будущем способно своевременно погашать свои обязательства перед кредиторами за счет средств, находящихся на расчетном счете, т.к. предприятие планирует получать устойчивую прибыль.
СПИСОК ИСПОЛЬЗУЕМОЙ ЛИТЕРАТУРЫ
1. Налоговый Кодекс РФ. Ч. 1.
2. Налоговый Кодекс. Ч. 2.
3. Гражданский кодекс РФ. Часть 1. М.: Юридическая литература, 1995 –140
4. Гражданский кодекс РФ. Часть 2. М.: Юридическая литература, 1995 – 140с.
5. Постановление правительства РФ от 5.08.92 № 552 «Об утверждении положения о составе затрат по производству и реализации продукции, включаемых в себестоимость и о порядке формирования финансовых результатов, учитываемых при налогообложении прибыли».
6. Аникеев С.А. Методика разработки плана маркетинга. Сер. «Практика маркетинга» – М.: Форум, Информ-Студио, 1996. – 128 с.
7. Балабанов И.Т. Основы финансового менеджмента. Как управлять капиталом – М.: Финансы и статистика, 1996. – 384 с.
8. Берл Густав и др. Мгновенный бизнес-план. Двадцать быстрых шагов к успеху / Пер. с англ./.- М.: Дело ЛТД, 1995. – 183с.
9. Бизнес-план. Методические материалы. Под редакцией профессора Р.Г. Маниловского. — М.: Финансы и статистика, 1995.-156 с.
10. Вайсман А. Стратегия маркетинга: 10 шагов к успеху. Стратегия менеджмента: 5 факторов успеха. – М.: АО Интерэксперт, Экономика, 1995 – 166 с.
11. Винокуров В.А. Организация стратегического управления на предприятии. – М.: Центр экономики и маркетинга, 1996 –160 с.
12. Горохов Н.Ю., Малев В.В. Бизнес-планирование и инвестиционный анализ. – М.: Информационно-издательский дом Филинъ, 1998 – 208 с.
13. Грибалев Н.П., Игнотов И.П. Бизнес-план. Практическое руководство по составлению. С. Петербург: Белл, 1994 – 203с.
14. Ковалев В.В. Анализ финансового состояния и прогнозирование банкротства. – С.Петербург, 1994 – 250 с.
15. Котлер Ф. Основы маркетинга. – М.: Прогресс, 1990 – 734с.
16. Липсиц И.В. Бизнес-план – основа успеха. — М.: Машиностроение, 1992 – 80с.
17. Пелих А.С. Бизнес-план. – М.: Ось –89, 1996.-96 с.
18. Сухова Л.Ф. и др. анализ финансового состояния потребительской кооперации. Учебно-практическое пособие. – Ставрополь: БУПК СКИ, 1997. –33с.
19. Сухова Л.Ф., Чернова Н.А. Методические указания по выполнению курсовой работы по курсу « Менеджмент» для студентов, обучающихся по специальности 061100 « Менеджмент» – Ставрополь: ЦНТИ, 1997. – 59 с.
20. Трубицин В.А. Успех и бизнес-план. – Ставрополь: ГП ИТФ Ставрополье, 1997.–174 с.
Источник: www . bipl . ru – Готовые бесплатные бизнес-планы для Вас
[1] Райзберг Б.А., Лозовский Л.Ш., Стародубцева Е.Б. Современный экономический словарь-2-е изд., исправ.-М.: ИНФРА-М, 1998.- с.35.
[2] См., например, Уткин Э.А. Бизнес – план. Организация и планирование предпринимательской деятельности. – М.: Ассоциация авторов и издателей «Тандем». Издательство ЭКМОС, 1997. – с.10.
[3] См., например, Ковалев В.В. Финансовый анализ: управление капиталом. Выбор инвестиций. Анализ отчетности.-2-е изд., перераб. и доп.-М.: Финансы и статистика, 1997.-с. 475.
