Контрольная работа: по Анализу финансов-хозяйственной деятельности
Владивостокский гидрометеорологический техникум
ЗАОЧНОЕ ОТДЕЛЕНИЕ
Контрольная работа № __1 __
Вариант № __4 __
по_____ Анализ финансово-хозяйственной деятельности __________
курс 3 специальность земельно-имущественные отношения
фамилия
|
имя, отчество
1. Способ сравнения в АХД, способ абсолютных разниц.
Сравнение – сопоставление изучаемых данных и фактов хозяйственной жизни. Различают горизонтальный сравнительный анализ, который применяется для определения абсолютных и относительных отклонений фактического уровня исследуемых показателей от базового; вертикальный сравнительный анализ, используемый для изучения структуры экономических явлений; трендовый анализ, применяемый при изучении относительных темпов роста и прироста показателей за ряд лет к уровню базисного года, т.е. при исследовании рядов динамики.
Обязательным условием сравнительного анализа является сопоставимость сравниваемых показателей, предполагающая:
· единство объемных, стоимостных, качественных, структурных показателей;
· единство периодов времени, за которые производится сравнение;
· сопоставимость условий производства;
· сопоставимость методики исчисления показателей.
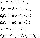
Способ абсолютных разниц является модификацией способа цепной подстановки. Изменение результативного показателя за счет каждого фактора способом разниц определяется как произведение отклонения изучаемого фактора на базисное или отчетное значение другого фактора в зависимости от выбранной последовательности подстановки:

Способ цепных подстановок заключается в определении ряда промежуточных значений обобщающего показателя путем последовательной замены базисных значений факторов на отчетные. Данный способ основан на элиминировании. Элиминировать – значит устранить, исключить воздействие всех факторов на величину результативного показателя, кроме одного. При этом исходя из того, что все факторы изменяются независимо друг от друга, т.е. сначала изменяется один фактор, а все остальные остаются без изменения, потом изменяются два при неизменности остальных и т.д.
В общем виде применение способа цепных постановок можно описать следующим образом:
Средние величины исчисляются на основе массовых данных о качественно однородных явлениях. Они помогают определять общие закономерности и тенденции в развитии экономических процессов.

где a0, b0, c0 — базисные значения факторов, оказывающих влияние на обобщающий показатель у;
a1, b1, c1 — фактические значения факторов;
ya, yb, — промежуточные изменения результирующего показателя, связанного с изменением факторов а, b, соответственно.
2. Анализ качества продукции
Предприятия самостоятельно планируют свою деятельность на основе договоров, заключенных с потребителями продукции и поставщиками материально-технических ресурсов, и определяют перспективы развития, исходя из спроса на производимую продукцию, работы и услуги. В своей деятельности предприятия обязаны учитывать интересы потребителя и его требования к качеству поставляемой продукции и услуг.
Поэтому анализ работы промышленных предприятий начинают с изучения показателей выпуска продукции, в число которых входит анализ качества продукции.
Качество продукции – совокупность свойств продукции, способных удовлетворять определенные потребности в соответствии с ее назначением. Количественная характеристика одного или нескольких свойств продукции, составляющих ее качество, называется показателем качества продукции.
Различают обобщающие, индивидуальные и косвенные показатели качества.
К обобщающим показателям качества относят:
— удельный и качественный вес продукции в общем объеме ее выпуска;
— удельный вес продукции, соответствующей мировым стандартам;
— удельный вес экспортируемой продукции, в том числе в высокоразвитые промышленные страны;
— удельный вес аттестованной продукции.
Индивидуальные показатели характеризуют полезность (жирность молока, содержание белка в продукте и т.д.), надежность (долговечность, безотказность в работе), технологичность (трудоемкость и энергоемкость).
Косвенные – штрафы за некачественную продукцию, объем и удельный вес забракованной продукции, потери от брака и т.д.
В процессе анализа изучают динамику этих показателей, выполнение плана по их уровню, причины их изменений.
Для обобщающей оценки выполнения плана по качеству продукции используют разные методы.
Сущность балльного метода оценки состоит в определении средневзвешенного балла качества продукции, и путем сравнения фактического и планового его уровня находят процент выполнения плана по качеству.
Кроме того, оценка выполнения плана по качеству продукции производится по удельному весу забракованной и зарекламированной продукции.
Качество продукции является параметром, оказывающим влияние на такие стоимостные показатели работы предприятия, как выпуск продукции (ВП), выручка от реализации (В), прибыль (П).
Изменение качества затрагивает, прежде всего, изменение цены и себестоимости продукции, поэтому формулы для расчета будут иметь вид
![]()
![]()
![]()
где Ц0, Ц1 – соответственно цена изделия до и после изменения качества;
С0, С1 – себестоимость изделия до и после изменения качества;
VВПk — количество произведенной продукции повышенного качества;
РПk — количество реализованной продукции повышенного качества.
Косвенным показателем качества продукции является брак.
Он делится на исправимый и неисправимый, внутренний (выявленный на предприятии) и внешний (выявленный у потребителя).
Выпуск брака ведет к росту себестоимости продукции и снижению объема товарной продукции, снижению прибыли и рентабельности.
В процессе анализа изучают динамику брака по абсолютной сумме и по удельному весу в общем объеме выпущенной продукции, определяют потери от брака и потери продукции.
Пример.
1. Себестоимость забракованной продукции — 500 тыс. руб.
2. Расходы по исправлению брака — 80 тыс. руб.
3. Стоимость брака по цене возможного использования — 150 тыс. руб.
4. Сумма удержания с виновных лиц — 10 тыс. руб.
5. Потери от брака (стр1 + стр2 – стр3 – стр4) = 420 тыс. руб.
Для определения потерь продукции нужно знать фактический уровень рентабельности.
Пусть для нашего примера стоимость товарной продукции в действительных ценах составляет 104300 т. руб., а ее себестоимость 94168 тыс. руб.
Тогда фактический уровень рентабельности:
(104300 — 84168)/ 84168. 100 = 23,9%.
Потери товарной продукции: 420. 1,239 = 520, 38 тыс. руб.
После этого изучают причины снижения качества и допущенного брака продукции по местам их возникновения, центрам ответственности и разрабатываются мероприятия по их устранению.
Основными причинами снижения качества продукции являются: плохое качество сырья, низкий уровень технологии и организации производства, низкий уровень квалификации рабочих и технического уровня оборудования, аритмичность производства.
3. Анализ затрат на рубль произведенной продукции
Анализ себестоимости проводят по следующим направлениям:
1. Анализ динамики и структуры обобщающих показателей себестоимости и факторов её изменения.
2. Анализ затрат на 1 руб. товарной продукции.
3. Анализ себестоимости важнейших изделий.
4. Анализ прямых материальных и трудовых затрат.
5. Анализ косвенных затрат.
Наиболее обобщающим показателем себестоимости продукции, выражающим её прямую связь с прибылью, является уровень затрат на 1 рубль товарной продукции:
![]()
Непосредственное влияние на изменение уровня затрат на 1 руб. товарной продукции оказывают факторы, которые находятся с ним в прямой функциональной связи: изменение объёма выпущенной продукции, её структуры, изменение уровня цен на продукцию, изменение уровня удельных переменных затрат, изменение суммы постоянных затрат.

Влияние факторов первого уровня на изменение затрат на 1 руб. товарной продукции рассчитывается способом цепных подстановок по данным табл.19 и по данным о выпуске товарной продукции:
Товарная продукция:
а) по плану: ![]()
б) фактически при плановой структуре и плановых ценах
![]()
в) фактически по ценам плана:
![]()
г) фактически:
![]()
Если затраты на 1 руб. товарной продукции (У3) представить в виде
![]()
то анализ проводится методом цепных подстановок.
Чтобы установить, как эти факторы повлияли на изменение суммы прибыли, необходимо абсолютные приросты затрат на 1 руб. товарной продукции за счёт каждого фактора умножить на фактический объём реализации продукции, выраженный в плановых ценах.
Порядок расчёта влияния факторов на изменение суммы прибыли
| Фактор | Формула расчёта влияния фактора |
Объём выпуска товарной продукции Структура товарной продукции Уровень переменных затрат на единицу продукции Изменение суммы постоянных затрат Изменение уровня отпускных цен |
|
| Итого |
|
В процессе анализа проводят также сравнение затрат на 1 руб. товарной продукции в динамике и, если есть возможность, сравнение со среднеотраслевым показателем.
4. Анализ динамики, состава и структуры источников формирования капитала предприятия
Капитал – это средства, которыми располагает субъект хозяйствования для осуществления своей деятельности с целью получения прибыли. Формируется капитал предприятия как за счет собственных (внутренних), так и за счет заемных (внешних) источников.
Основным источником финансирования является собственный капитал. В его состав входят:
1) уставный капитал,
2) накопленный капитал (резервный и добавочный капиталы, фонд социальной сферы, нераспределенная прибыль),
3) прочие поступления (целевое финансирование, благотворительные пожертвования и др.).
Уставный капитал – это сумма средств учредителей для обеспечения уставной деятельности. На государственных предприятиях – это стоимость имущества, закрепленного государством за предприятием на правах полного хозяйственного ведения; на акционерных – номинальная стоимость акций; в обществах с ограниченной ответственностью – сумма долей собственников; на арендном предприятии – сумма вкладов его работников и др.
Уставный капитал формируется в процессе первоначального инвестирования средств. Вклады учредителей в уставный капитал могут быть внесены в виде денежных средств, нематериальных активов, в имущественной форме. Величина уставного капитала объявляется при регистрации предприятия, и при корректировке его величины требуется перерегистрация учредительных документов.
Добавочный капитал как источник средств предприятия образуется в результате переоценки имущества или продажи акций выше номинальной их стоимости, а также в результате реинвестирования прибыли на капитальные вложения.
Резервный капитал включает остатки резервного и других аналогичных фондов, создаваемых в соответствии с законодательством или в соответствии с учредительными документами.
Фонд социальной сферы формируется в случае наличия у организации объектов жилого фонда и объектов внешнего благоустройства (полученных безвозмездно, в том числе по договору дарения, приобретенных организацией), ранее не учтенных в составе уставного капитала, добавочного капитала.
К средствам специального назначения и целевого финансирования относятся безвозмездно полученные ценности от физических и юридических лиц, а также безвозвратные и возвратные бюджетные ассигнования на содержание объектов соцкультбыта и на восстановление платежеспособности предприятий, находящихся на бюджетном финансировании.
Основным источником пополнения собственного капитала является чистая (нераспределенная) прибыль предприятия, которая остается в обороте предприятия в качестве внутреннего источника самофинансирования долгосрочного характера. Если предприятие убыточное, то собственный капитал уменьшается на сумму полученных убытков. Значительный удельный вес в составе внутренних источников имеют амортизационные отчисления от используемых собственных основных средств и нематериальных активов. Они не увеличивают сумму собственного капитала, а являются средством его реинвестирования. К прочим формам собственного капитала относятся доходы от сдачи в аренду имущества, расчеты с учредителями и др. Они не играют заметной роли в формировании собственного капитала предприятия.
Основную долю в составе внешних источников формирования собственного капитала составляет дополнительная эмиссия акций. Государственным предприятиям может быть оказана безвозмездная финансовая помощь со стороны государства. К числу прочих внешних источников относятся материальные и нематериальные активы, передаваемые предприятию бесплатно физическими и юридическими лицами в порядке благотворительности.
Заемный капитал – это кредиты банков и финансовых компаний, займы, кредиторская задолженность, лизинг, коммерческие бумаги и др. Он подразделяется на долгосрочный (более года) и краткосрочный (до года).
По целям привлечения заемные средства разделяются на следующие виды:
· средства, привлекаемые для воспроизводства основных средств и нематериальных активов;
· средства, привлекаемые для пополнения оборотных активов;
· средства, привлекаемые для удовлетворения социальных нужд.
По форме привлечения заемные средства могут быть в денежной, товарной форме, в форме оборудования (лизинг) и др.; по источникам привлечения они делятся на внешние и внутренние; по форме обеспечения – на обеспеченные залогом или закладом, поручительством или гарантией и необеспеченные.
При формировании структуры капитала необходимо учитывать особенности каждой его составляющей.
Собственный капитал характеризуется простотой привлечения, обеспечением более устойчивого финансового состояния и снижения риска банкротства. Необходимость в нем обусловлена требованиями самофинансирования предприятий. Он является основой их самостоятельности и независимости. Особенность собственного капитала состоит в том, что он инвестируется на долгосрочной основе и подвергается наибольшему риску. Чем выше его доля в общей сумме капитала и меньше доля заемных средств, тем выше буфер, который защищает кредиторов от убытков и риска потери капитала.
Однако собственный капитал ограничен в размерах. Кроме того, финансирование деятельности предприятия только за счет собственных средств не всегда выгодно для него, особенно в тех случаях, когда производство имеет сезонный характер. Тогда в отдельные периоды будут накапливаться большие средства на счетах в банке, а в другие периоды их будет недоставать. Следует также иметь в виду, что если цены на финансовые ресурсы невысокие, а предприятие может обеспечить более высокий уровень отдачи на вложенный капитал, чем платит за кредитные ресурсы, то, привлекая заемные средства, оно может усилить свои рыночные позиции и повысить рентабельность собственного (акционерного) капитала.
5. Факторный анализ доходности собственного капитала
Для обоснования бизнес планов, принятия управленческих решений, выявления резервов, анализа хозяйственной деятельности предприятия проводят изучение и измерение факторов, влияющих на значения ключевых показателей экономической деятельности.
Рентабельность собственного капитала является главным показателем эффективности функционирования предприятия. Важнейшая задача финансового менеджмента – увеличение суммы собственного капитала и повышения уровня его доходности.
Рентабельность собственного капитала рассчитывается как отношение суммы чистой прибыли за год к среднегодовой сумме собственного капитала:
|
|
Для проведения анализа представим ROE как произведение следующих факторов:
ROE = Дчп*ROA*МК, или
|
|
|
Собственный Балансовая Совокупные активы Собственный капитал
капитал прибыль
Дчп – доля чистой прибыли в общей сумме балансовой прибыли;
ROA – рентабельность совокупного капитала определяется как отношение балансовой прибыли к величине совокупных активов (состоящих из собственного капитала и заемных средств) и характеризует прибыльность совокупного капитала;
МК – мультипликатор капитала. При его повышении возрастает доходность собственного (акционерного) капитала, при условии, что рентабельность активов выше стоимости заемных средств, но и увеличивается степень финансового риска предприятия (снижается коэффициент автономии, ликвидности).
Данная взаимосвязь показывает зависимость между степенью финансового риска и прибыльностью собственного капитала.
Расширить факторную модель ROE можно за счет разложения на составные части показателя ROA (факторная модель предложена Савицкой Г.В.):
ROE = Дчп * МК * Rоб * Коб,
| Чистая прибыль | = | Чистая прибыль | х | Совокупные активы | х | Балансовая прибыль | х | Выручка (нетто) |
Собственный капитал | Балансовая прибыль | Собственный капитал | Выручка (нетто) | Совокупные активы |
Rоб — рентабельность оборота определяется как отношение валовой (балансовой) прибыли к выручке(нетто) от всех видов продаж и характеризует эффективность управления затратами и ценовой политики предприятия.
Коб — коэффициент оборачиваемости капитала определяется как отношение выручки от всех видов продаж к величине совокупного капитала и отражает интенсивность его использования и деловую активность предприятия.
Пример. Валовая прибыль предприятия за год составила 12,4 млн. рублей, запланировано было 11,7 млн. рублей.
Уровень налогообложения не изменился и составил 40,6%.
Выручка от всех видов продаж была 98,3 млн. рублей, а планировалось 103,0 млн. рублей.
Размер среднегодового совокупного капитала равен 30,1 млн. рублей, планировалось 29,6 млн. рублей.
Размер собственного капитала составил 14,9 млн. рублей, планировалось 13,7 млн. рублей.
Определите величину влияния соотношения этих факторов на изменение рентабельности собственного капитала.
Дчп пл = 11,7 * (1 — 0,406) / 11,7 = 0,594;
Дчп фак = 12,4 * (1 — 0,406) / 12,4 = 0,594;
Дчп = 0,594 — 0,594 = 0.
МК пл = 29,6 / 13,7 = 2,1606;
МК фак = 30,1 / 14,9 = 2,0201;
МК = 2,0201 — 2,1606 = -0,1405.
Коб пл = 103,0 / 29,6 = 3,4797;
Коб фак = 98,3 / 30,1 = 3,2658;
Коб = 3,2658 — 3,4797 = -0,2139.
Rоб пл = 11,7 / 103,0 = 0,113592;
Rоб фак = 12,4 / 98,3 = 0,126144;
Rоб = 0,1261 — 0,1136 = 0,012552.
ROE пл = 11,7 * (1 — 0,406) / 13,7 = 0,507285;
ROE фак = 12,4 * (1 — 0,406) / 14,9 = 0,494336;
ROE = 0,494336 — 0,507285 = -0,01295 или -1,295%.
Рассчитаем влияние факторов на изменение ROE с помощью способа абсолютных разниц:
а) за счет изменения удельного веса чистой прибыли в общей сумме балансовой прибыли:
ROE чп = Дчп * МК пл * Коб пл * Rоб пл = 0 * 2,1606 * 3,4797 * 0,1136 = 0 или 0%;
б) мультипликатора капитала:
ROE мк = Дчп фак * МК * Коб пл * Rоб пл = 0,594 * -0,1405 * 3,4797 * 0,1136 = -0,0329 или -3,29%;
в) оборачиваемости капитала:
ROE ок = Дчп фак * МК фак * Коб * Rоб пл = 0,594 * 2,0201 * -0,2139 * 0,1136 = -0,0291 или -2,91%;
г) рентабельности продаж:
ROE рп = Дчп фак * МК фак * Коб фак * Rоб = 0,594 * 2,0201 * 3,2658 * 0,012552 = 0,04918 или +4,918%.
Из расчета видно, что доходность собственного капитала уменьшилась (всего на -1,295%) из-за уменьшения доли заемного капитала (на -3,29%) и замедления оборачиваемости капитала (на -2,91%), а повысилась за счет улучшения рентабельности продаж (+4,916%).
В случае необходимости более подробного определения влияния каждого из факторов, проводится факторный анализ по каждому фактору, входящему в данную методику.
В зависимости от типа анализа сравнение факторов может проводиться как:
а) плановый — фактический (или прогнозный — фактический),
б) период предыдущий — период текущий,
в) среднеотраслевые показатели — показатели анализируемого предприятия (или показатели лучшего предприятия отрасли и показатели анализируемого предприятия),
г) нормативные — фактические (или оптимальные — фактические).
6. Задача
В условиях уплотняющейся конкуренции предприятию с положительными финансовыми результатами, производящему стиральный порошок, необходимо сохранить свои трудовые ресурсы. На основании предложенных данных необходимо рассчитать и проанализировать динамику показателей, характеризующих движение рабочей силы и сделать вывод, как это скажется на финансовой устойчивости предприятия.
Дано: количество принятого на работу персонала в планируемом периоде 346 человек, в отчетном периоде 292 человека; уволившиеся работники в плановом периоде 96 человек, в отчетном 120 человек; проработавшие весь год по плану 826 человек и по факту 945 человек; среднесписочная численность в плановом периоде составляет 1025 человек, в отчетном 1127 человек.
Наиболее важный этап в анализе обеспеченности предприятия рабочей силой – изучение ее движения. Для характеристики движения рабочей силы анализируют и рассчитывают динамику следующих коэффициентов:
-оборота по выбытию =___уволено работников всего ______________
среднесписочная численность работников
-оборота по приёму =___принято работников всего ____________
среднесписочная численность работников
-постоянства кадров = количество работников, проработавших год
среднесписочная численность работников
Коэффициенты движения кадров не планируются, поэтому их анализ производится сравнением показателей отчетного периода с показателями планируемого. Текучесть рабочих играет большую роль в деятельности предприятия. Коэффициенты постоянства и стабильности кадров отражают уровень оплаты труда и удовлетворенность работников условиями труда, трудовыми и социальными льготами.
| Показатель | Планируемый период | Отчетный период |
| Среднесписочная численность персонала | 1025 | 1127 |
| Количество принятого персонала | 346 | 292 |
| Количество уволившихся работников | 96 | 120 |
| Количество работников проработавших весь год | 826 | 945 |
| Коэффициент оборота по приему рабочих | 0,338 | 0,259 |
| Коэффициент оборота по выбытию | 0,094 | 0,106 |
| Коэффициент постоянства персонала предприятия | 0,806 | 0,839 |
Как видно из таблицы, количество уволившихся работников не превысило значение принятых на работу. Следующие 3 коэффициента являются показателями текучести и постоянства персонала предприятия. На данном предприятии коэффициент оборота по принятию уменьшился, но в то же время увеличился коэффициент постоянства персонала.
Падение коэффициента оборота по приему персонала на 8 % возможно явилось результатом освоения больших производственных мощностей.
В то же время коэффициент оборота по выбытию возрос на 1,2 %. Это говорит о негативной тенденции – работники не заинтересованы в работе на данном предприятии.
Отмечается наметившаяся тенденция к стабилизации кадрового состава и отсеивания случайных людей, об этом свидетельствует коэффициент постоянства персонала предприятия, увеличившийся на 0,033.
Список использованной литературы:
- Балабан о в И.Т. Анализ и планирование финансов хозяйствующего субъекта.- М: Финансы и статистика. 1998.
- Т.А.Фролова, Анализ и диагностика финансово-хозяйственной деятельности предприятия, Таганрог: Изд-во ТРТУ, 2006
- Грищенко О.В., Анализ и диагностика финансово-хозяйственной деятельности предприятия: Учебное пособие. Таганрог: Изд-во ТРТУ, 2000.
