Контрольная работа: Анализ финансово-хозяйственной деятельности предприятия 9
СОДЕРЖАНИЕ РАБОТЫ
ВВЕДЕНИЕ..........................................................................................................3
1.ЭКОНОМИЧЕСКАЯ СУЩНОСТЬ МЕТОДА АНАЛИЗА ХОЗЯЙСТВЕННОЙ ДЕЯТЕЛЬНОСТИ............................................................4
1.1.Метод экономического анализа хозяйственной деятельности и его характерные черты...............................................................................................4
1.2.Системный подход в анализе хозяйственной деятельности...........7
1.3. Методика АХД: понятия, виды.......................................................10
2.КЛАССИФИКАЦИЯ МЕТОДОВ ЭКОНОМИЧЕСКОГО АНАЛИЗА...........................................................................................................12
2.1.Общая классификация методов экономического анализа..............12
2.2. Неформальные (логистические) методы.........................................14
2.3. Факторный анализ..............................................................................19
ЗАКЛЮЧЕНИЕ...................................................................................................25
СПИСОК ИСПОЛЬЗОВАННЫХ ИСТОЧНИКОВ..........................................27
ВВЕДЕНИЕ
Переход к рыночной экономике требует от предприятий повышения эффективности производства, конкурентоспособности продукции и услуг.
Важная роль в реализации этой задачи отводится экономическому анализу деятельности субъектов хозяйствования. С его помощью вырабатываются стратегия и тактика развития предприятия, обосновываются планы и управленческие решения, осуществляется контроль за их выполнением, выявляются резервы повышения эффективности производства, оцениваются результаты деятельности предприятия, его подразделений и работников. В данной курсовой работе рассматривается вопрос о том, какими именно методами осуществляется экономический анализ.
Актуальность выбранной темы не вызывает сомнений, т.к. только правильный учет вс ех взаимосвязанных факторов, и владение специальным аналитичес ким и математичес ким аппаратом для анализа и прогноза рынка делает возможным успешное функционирование любого предприятия.
Цель данной курсовой работы заключается в рассмотрении способов подхода к изучению хозяйственных процессов в их плавном развитии.
На основе поставленной цели необходимо решить следующие задачи:
· выяснить что такое метод в экономическом анализе и обозначить его характерные черты;
· определить в чем отличие метода от методики экономического анализа;
· сформировать классификацию методов, а так же рассмотреть все способы и приемы в отдельности.
Источниками информации при написании работы послужили: труды отечественных специалистов. Помимо основных учебников и учебных пособий, использована статья из периодического издания, посвященная экономическому анализу, а так же интернет-ресурсы.
ГЛАВА 1.ЭКОНОМИЧЕСКАЯ СУЩНОСТЬ МЕТОДА АНАЛИЗА ХОЗЯЙСТВЕННОЙ ДЕЯТЕЛЬНОСТИ
1.1. Метод экономического анализа хозяйственной деятельности и его характерные черты
В буквальном переводе с греческого языка слово «метод» означает «путь к чему-либо». Говоря современным языком, метод — это способ достижения цели, определенным образом упорядоченная деятельность.[1] Человек давно осознал несомненную пользу научного метода. Английский философ Ф. Бэкон, сравнивая метод со светильником, освещающим путнику дорогу в темноте, писал: «Даже хромой, медленно идущий по дороге, опережает того, кто бежит без дороги». Человеческая деятельность может иметь теоретическую или практическую направленность, поэтому понятие метода в равной степени относится и к теории, и к практике. Под методом науки в широком смысле понимают способ исследования своего предмета. Он представляет собой совокупность мыслительных или физических операций, осуществляемых в ходе научного исследования; в нем заключены процедуры, необходимые для получения нового знания. Таким образом, метод можно назвать своеобразной мыслительной технологией.
Теперь поговорим о конкретном методе: о методе анализа хозяйственной деятельности субъектов.
Метод АХД[2] — это системное, комплексное изучение, измерение и обобщение влияния факторов на результаты деятельности предприятия путем обработки специальными приемами системы показателей плана, учета, отчетности и других источников информации с целью повышения эффективности функционирования предприятия.
Также под методом экономического анализа[3] понимается диалектический способ подхода к изучению хозяйственных процессов в их становлении и развитии. Использование диалектического метода в анализе означает, что изучение хозяйственной деятельности предприятий должно проводиться с учетом всех взаимосвязей.[4] Ни одно явление не может быть правильно понято, если оно рассматривается изолированно, без связи с другими.
Характерными особенностями метода экономического анализа являются: использование системы показателей, всесторонне характеризующих хозяйственную деятельность, изучение причин изменения этих показателей, выявление и измерение взаимосвязи между ними в целях повышения социально-экономической эффективности.
В первой части определения подчеркивается диалектичность подхода к изучению хозяйственных процессов. Хозяйственные процессы рассматриваются в становлении и развитии. Им свойственны переходы количества в качество, появление нового качества, отрицание отрицания, борьба противоположностей, отмирание старого и появление нового, более прогрессивного. Короче говоря, все методы и приемы диалектики, как говорилось выше, должны найти и находят свое применение в исследовании хозяйственных процессов, хозяйственной деятельности на всех уровнях. В определении отмечаются далее характерные особенности метода экономического анализа. Первой такой особенностью является использование системы показателей при изучении хозяйственных явлений и процессов. Эта система формируется обычно в ходе планирования, при разработке систем и подсистем экономической информации, что не исключает возможности исчисления в ходе самого анализа новых показателей. Вторая характерная особенность метода экономического анализа — изучение причин, вызвавших изменение тех или иных хозяйственных показателей. Но анализ способен не только устанавливать причинно-следственные связи, но и давать им количественную характеристику, т.е. обеспечивать измерение влияния факторов на результаты деятельности.Это делает анализ точным, а выводы обоснованными.
На хозяйственную деятельность предприятия, даже на отдельно взятый показатель, могут влиять многочисленные и разнообразные причины. Выявить и изучить действие абсолютно всех причин, как отмечалось ранее, весьма затруднительно, к тому же не всегда это практически целесообразно. Задача состоит в том, чтобы установить наиболее существенные причины, решающим образом повлиявшие на тот или иной показатель. Таким образом, предварительным условием, предпосылкой правильного анализа является экономически обоснованная классификация причин, влияющих на хозяйственную деятельность и ее результаты.
Изучение и измерение причинных связей в анализе можно осуществить методом индукции и дедукции. Способ исследования причинных связей с помощью логической индукции заключается в том, что исследование ведется от частного к общему, от изучения частных фактов к обобщениям, от причин к результатам. Дедукция — это такой способ, когда исследование осуществляется от общих фактов к частным, от результатов к причинам. Индуктивный метод в анализе используется в сочетании и единстве с дедуктивным.
Нельзя забывать и о такой особенности экономического анализа, как динамика, которая подразумевает, что все явления и процессы необходимо рассматривать в постоянном движении, изменении, развитии. Как доказательство этого, можно заметить, что фактические результаты деятельности сравниваются с результатами прошлых лет, достижениями других предприятий, плановыми показателями. Таким образом можно составить наглядную картину диалектического метода (рис 1.)[5]


|
Использование диалектического метода в АХД означает, чтокаждый процесс, каждое экономическое явление надо рассматривать как систему, как совокупность многих элементов, связанных между собой. Из этого вытекаетнеобходимость системного подхода к изучению объектов анализа, что является еще одной его характерной чертой.
1.2. Системный подход в анализе хозяйственной деятельности
Экономическому анализу деятельности хозяйствующих субъектов свойственен системный комплексный подход, который заключается в том, что изучение любой составляющей предмета проводится с позиций ее влияния на состояние хозяйствующего субъекта и результаты его деятельности в целом.[6] Хозяйственные процессы самостоятельно не изучаются, тем более в их становлении и развитии, а изучаются только с целью определения и измерения их влияния наконечные финансовые результаты и другие обобщающие показатели деятельности.
Главные особенности системного подхода: динамичность, взаимосвязь, взаимозависимость и взаимодействие элементов системы, комплексность, целостность, соподчиненность, выделение ведущего звена. [7]
Системный[8] подход предусматривает максимальную детализацию изучаемых явлений и процессов на элементы (собственно анализ), их систематизацию и синтез.Детализация (выделение составных частей) тех или других явлений проводится в той степени, которая практически необходима для выяснения наиболее существенного и главного в изучаемом объекте. Она зависит от объекта и цели анализа. Это сложная задача в АХД, которая требует от аналитика конкретных знаний сущности экономических показателей, а также факторов и причин, определяющих их развитие.
Систематизация элементов проводится на основе изучения их взаимосвязи, взаимодействия, взаимозависимости и соподчиненности. Это позволяет построить приблизительную модель изучаемого объекта (системы), определить его главные компоненты, функции, соподчиненность элементов системы, раскрыть логико-методологическую схему анализа, которая соответствует внутренним связям изучаемых показателей.
После изучения отдельных сторон экономики предприятия, их взаимосвязи, подчиненности и зависимости надо обобщить весь материал исследования.Обобщение (синтез) является очень ответственным моментом в анализе. При обобщении результатов анализа необходимо из всего множества изучаемых факторов отделить типичные от случайных, выделить главные и решающие, от которых зависят результаты деятельности.
В целом общая картина системного подхода к изучению объектов анализа представлена на рисунке 2.[9]
|


В процессе аналитического исследования, которое в условиях рыночной экономики все более приобретает сист ем ный характер, можно выделить несколько последовательных этапов[10] :
На п е р в о м этапе объект исследования представляется как система, для которой определяются цели и условия функционирования.
На втором этапе исследования осуществляется отбор показателей, характеризующихпроизводственную деятельность предприятия, разработка качественных характеристик экономики предприятия.
На тр е ть ем этап е проведения экономического анализа составляется общая схема системы, устанавливаются ее главные компоненты, функции, взаимосвязи.
На четвертом этапе системного экономического анализа определяются все основные взаимосвязи и факторы, дающие количественные характеристики.
На пятом этапе строится модель системы на основе информации, полученной на предыдущих этапах. В нее вводят конкретные данные о работе какого-либо предприятия и получают параметры модели в исходном выражении.
Завершающий шестой этап анализа — работа с моделью.
В целом, этапы системного подхода схематично можно представить следующим образом (рис. 3)[11] .

Рисунок 3. Этапы системного подхода в анализе хозяйственной деятельности.
Таким образом, метод АХД представляет системное, комплексное изучение, измерение и обобщение влияния факторов на результаты деятельности предприятия путем обработки специальными приемами системы показателей плана, учета, отчетности и других источников информации с целью повышения эффективности производства.
1.3. Методика АХД: понятия, виды.
Использование метода АХД проявляется через ряд конкретных методик аналитического исследования. Это могут быть методики исследования отдельных сторон хозяйственной деятельности либо методики комплексного анализа. Надо отметить, что каждому виду анализа соответствует своя методика.
Под методикой [12] понимается совокупность способов, правил наиболее целесообразного выполнения какой-либо работы. В экономическом анализе методика представляет собой совокупность аналитических способов и правил исследования экономики предприятия, определенным образом подчиненных достижению цели анализа.
Общую методику понимают как систему исследования, которая одинаково используется при изучении различных объектов экономического анализа в различных отраслях национальной экономики.
Частные методики конкретизируют общую относительно к определенным отраслям экономики, к определенному типу производства или объекту исследования.
Любая методика анализа будет представлять собой наказ или методологические советы по исполнению аналитического исследования. Она содержит такие моменты, как:
а) задачи и формулировки целей анализа;
б) объекты анализа;
в) системы показателей, с помощью которых будет исследоваться каждый объект анализа;
г) советы по последовательности и периодичности проведения аналитического исследования;
д) описание способов исследования изучаемых объектов;
е) источники данных, на основании которых производится анализ и т.д.
В качестве важнейшего элемента методики АХД выступают технические приемы, и способы анализа, о чем будет рассказано в следующей главе.
2.КЛАССИФИКАЦИЯ МЕТОДОВ И ПРИЕМОВ ЭКОНОМИЧЕСКОГО АНАЛИЗА
2.1.Общая классификация методов экономического анализа.
Существует множество классификаций методов и приемов экономического анализа, в основе которых лежат различные признаки. Одним из наиболее информативных, по мнению автора данной курсовой работы, является деление приемов и методов по степени их формализуемости, т.е. в зависимости от того, в какой степени описывается данный метод с помощью математических процедур. С этой точки зрения, все методы могут быть подразделены на неформализованные и формализованные.
Неформальные или логистические методы (вероятно, правильнее их назвать трудно формализуемыми) основаны на описании процедур на логическом уровне, без помощи строгих аналитических зависимостей. Большую роль в применении этих методов играют опыт и интуиция, аналитика.
К этой группе относятся следующие методы:
· сравнения
· относительных и средних величин
· графического и табличного представления данных
· группировки
· балансовый
Формализованные методы (иногда их еще называют математическими) опираются на предварительно заданные строгие зависимости и правила. Не все из них равнозначны по сложности используемого математического аппарата, возможности реализации в практической деятельности и степени распространенности в работе аналитических служб на предприятиях и специальных консалтинговых фирм.
Формализованные методы объединяют методы факторного анализа (детерминированного и стохастического) и методы оптимизационного решения экономических задач.
В большинстве случаев при анализе финансово-хозяйственной деятельности предприятия применяют в первую очередь неформальные методы.
Помимо этой классификации, существует также условное деление методов экономического анализа на базовые, экономико-математические и эквристические, для которых характерны особые приемы сбора и обработки информации, опирающиеся на профессиональное суждение группы специалистов.
В целом, классификацию методов (способов и приемов) схематично можно представить следующим образом (рис.4).
|


Рассмотрим подробней неформальные методы и методы факторного анализа.
2.2. Неформальные (логистические) методы
В данном разделе рассмотрен вопрос о видах логистических методов и их характерных черт.
Анализ[13] показателей, экономических явлений, процессов, ситуаций начинается с использования абсолютных величин (объем производства по стоимости или в натуральных измерителях, объем товарооборота, сумма производственных затрат и издержек обращения, сумма валового дохода или прибыли). Без абсолютных величин в анализе, как в бухгалтерском учете и в статистике, обойтись нельзя. Но если в бухгалтерском учете они являются способом измерения хозяйственных процессов, то в анализе — в большей мере используются в качестве базы для исчисления средних и относительных величин.
Экономический анализ начинается с исчисления относительной величины. Например, если бизнес-планом предусматривалось выпустить промышленной продукции на миллион рублей, а выпущено лишь на 950 тыс., то по отношению к заданию это составит 95%.
Относительные величины незаменимы при анализе явлений динамики. Эти явления можно выразить и в абсолютных величинах, но доходчивость, яркость достигаются только при использовании относительных величин. Относительные величины динамики исчисляются путем построения временного ряда, т.е. они характеризуют изменение того или иного показателя, явления во времени.
Итак, существуют следующие виды относительных величин[14] :
1. Относительная величина планового задания – представляет собой отношение планового уровня показателя текущего года к фактическому его уровню в прошлом году.
2. Относительная величина выполнения плана – отношение между фактическим и плановым уровнем показателя отчетного периода,
выраженная в процентах.
3. Относительные величины динамики – определяют путем деления величины показателя текущего периода на его уровень в предыдущем периоде – темпы роста (прироста) .
Относительные величины динамики могут быть:
· Базисными – каждый следующий уровень динамического ряда сравнивается с базисным годом;
· Цепными – уровень показателя следующего года относится к предыдущему.
4. Показатель структуры – относительная доля (удельный вес) части в общем, выраженная в процентах или коэффициентах.
Например: удельный вес отдельных видов продукции в общем объеме производства; уд. вес управленческого персонала в общей численности
работников предприятия.
5. Относительные величины координации представляют собой соотношение частей целого между собой.
Например: Соотношение активной и пассивной части ОФ;
Соотношение собственности и заемного капитала;
Соотношение основных и оборотных средств.
6. Относительные величины интенсивности характеризуют степень распространенности, развития какого-либо явления в определенной среде.
Например: процент рабочих высшей квалификации.
7. Относительные величины эффективности – соотношение эффекта с затратами.
Например: Прибыль на рубль затрат; Прибыль на рубль выручки.
Не менее важное значение имеют в процессе анализа средние величины. Их смысл состоит в обобщении соответствующей совокупности типичных, однородных показателей, явлений или процессов. Они позволяют переходить от единичного к общему, от случайного — к закономерному; абстрагироваться от случайности отдельных колебаний; без них невозможно изучение признака по разным совокупностям, характеристикам изменения варьирующего показателя во времени.
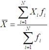
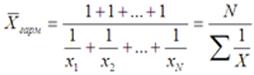
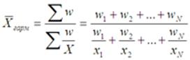
В аналитических расчетах применяют, исходя из необходимости, различные формы средних величин (табл.1):
Таблица 1.
| Название | Формула | Назначение |
| Простая средняя арифметическая | ![]() | Вычисляется, если имеются данные об отдельных значениях варьирующего признака |
| Взвешенная средняя арифметическая | ![]() | Рассчитывается с учетом статистического веса |
| Простая средняя гармоническая | ![]() | Используется для расчета уровня цен без учета объемного количественного факта |
| Взвешенная средняя гармоническая | ![]() | Позволяет определить средний уровень цен, но при этом с учетом количественного фактора |
| Средняя геометрическая |
| Применяется для исчисления среднегодовых темпов роста |
Сравнение представляет собой способ познания при котором изучаемый объект сопоставляется с уже известными параметрами однородных объектов с целью определения различий, либо общих черт.
С помощью этого метода решаются следующие основные задачи[15] :
· выявление причинно-следственных связей между явлениями;
· проведение доказательств или опровержений;
· классификация и систематизация явлений.
Существуют следующие виды сравнений:
1.Сравнение фактически достигнутых резервов с данными предыдущих периодов
2.Сравнение фактического уровня показателей с плановыми, проводится как в целом по предприятию, так и по отдельным видам продукции.
3.Сравнение с утвержденными нормами расхода ресурсов (необходимо для выявления экономии или перерасходов ресурсов на производство товаров, для оценки утерянных возможностей выпуска товаров и снижения себестоимости).
4.Сравнение с наилучшими результатами
5. Сравнение показателей исследуемого предприятия со среднеотраслевыми данными
6. Сравнение с экономическим потенциалом анализируемого хоз объекта.
Весьма важным приемом экономического анализа являются группировки.
Группировка [16] — это метод экономического анализа, предполагающий определенную классификацию явлений и процессов, а также причин и факторов, влияющих на эти процессы, на группы по определенному признаку.
В научной литературе существуют следующие виды группировок:
· Типологические.
· Структурные позволяют изучать внутреннее строение показателей.
·Аналитические используются для определения наличия, направления и формы связи между изучаемыми показателями.
·По сложности построения различают два типа группировок:
Простые – изучается взаимосвязь между явлениями, сгруппированными по какому-либо одному признаку;
Комбинированные – группировка делается сначала по одному признаку, а потом внутри каждой группы – по другому.
Наиболее простым приемом измерения влияния отдельных факторов, частных показателей на результат их взаимодействия, выраженный изменением величины обобщающего показателя, является балансовый метод.
Балансовый метод эффективен при анализе влияния поступления товаров и их запасов на объем товарооборота, при изучении использования фонда рабочего времени и решении ряда других аналитических задач.
Особенно широкое применение он получил в анализе финансового состояния предприятия, где главным источником информации служит бухгалтерский баланс.
Балансовый прием используется в качестве вспомогательного для проверки расчетов, произведенных другими специальными аналитическими приемами. Например, для проверки вычислений произведенных путем цепных подстановок, составляется баланс отклонений.
Балансовый метод состоит в сравнении, соизмерении двух комплексов показателей, стремящихся к определенному равновесию. Он позволяет выявить в результате новый аналитический (балансирующий) показатель.
Говоря о графическом методе анализа, необходимо заметить, что графики являются масштабным изображением показателей и их зависимости с помощью геометрических фигур. Графический способ в основном не имеет в анализе самостоятельного значения, а используется для иллюстрации измерений.
И, в завершение, рассмотрим метод построения аналитических таблиц.
Составление аналитических таблиц[17] — важный элемент в методике АХД. Этот процесс требует знания сущности изучаемых явлений, методики их анализа, правил оформления таблиц.
Существуют три вида таблиц:простые, групповые и комбинированные. В простых таблицах перечисляются единицы совокупности характеризуемого явления. В групповых таблицах данные по отдельным единицам изучаемой совокупности объединяются в группы по одному существенному признаку. В комбинированных таблицах материал подлежащего разбивается на группы и подгруппы по нескольким признакам. Внешне аналитическая таблица состоит из общего заголовка, системы горизонтальных строк и вертикальных граф (столбцов, колонок).
2.3. Факторный анализ
Все явления и процессы хозяйственной деятельности предприятий находятся во взаимосвязи и взаимообусловленности. Одни из них непосредственно связаны между собой, другие косвенно. Отсюда важным методологическим вопросом в экономическом анализе является изучение и измерение влияния факторов на величину исследуемых экономических показателей.
Под экономическим факторным анализом понимается постепенный переход от исходной факторной системы к конечной факторной системе, раскрытие полного набора прямых, количественно измеримых факторов, оказывающих влияние на изменение результативного показателя.
По характеру взаимосвязи между показателями различают методы детерминированного и стохастического факторного анализа.
Детерминированный факторный анализ представляет собой методику исследования влияния факторов, связь которых с результативным показателем носит функциональный характер.
Методы детерминированного факторного анализа представим в виде таблицы. (таблица 2)[18] .
Таблица 2. Методы детерминированного факторного анализа
| Метод | Характеристика | Достоинства | Недостатки | Число факторов в модели |
| 1.Цепных подстановок |
| Универсальность | Наличие неразложимого остатка. | Два и более |
| 2. Абсолютных разниц |
| Сокращается объем вычислительных процедур по сравнению с методом цепных подстановок | Необходимость определения последовательности подстановки | |
| 3.Относительных разниц |
| Сокращается объем вычислительных процедур по сравнению с методом цепных подстановок | Наличие неразложимого остатка. Необходимость определения последовательности подстановки | |
| 4. Индексный |
| Применяется для изучения сложных статистических совокупностей | Наличие неразложимого остатка. Ограничение в применении | |
| 5.Интегральный |
| Универсальность, возможность безостаточного определения влияния факторов | Сложность математического аппарата. Обязательное использование ПЭВМ | |
| 6.Логарифмический | Основан на логарифмировании отклонения отчётного и базисного значений результативного признака, равного отношению соответствующих произведений факторов. | Безостаточное определение влияния факторов | Ограничение в применении |
Моделирование в факторном анализе – это процесс представления реально существующих объектов в виде моделей.
Математическое моделирование факторных систем использует математические модели реального объекта в форме алгебраических, дифференциальных, интегральных и других уравнений, предполагающих наличие однозначной вычислительной процедуры получения точного решения уравнений.
Детерминированные (функциональные) модели могут быть аддитивными, мультипликативными, кратными и смешанными.
Аддитивные модели представляют собой алгебраическую сумму показателей и имеют следующую математическую интерпретацию:
,
где xi – значение фактора i; y- результативный показатель.
Мультипликативная модель представляет собой произведение факторов:
![]()
Кратные модели представляют собой отношение факторов и имеют общий вид:
![]()
где Y – результативный показатель; x, z — факторные показатели.
Смешанные модели представляют собой комбинацию перечисленных моделей.
Рассмотрим к каким моделям применимы те или иные методы.
Таблица 3. Группировка основных методов детерминированного анализа
№ п/п | Приемы (методы) | Модели | |||
| Мультипликативные | Аддитивные | Кратные | Смешанные | ||
| 1 | Цепной подстановки | + | + | + | + |
| 2 | Абсолютных разниц | + | - | - | + |
| 3 | Относительных разниц | + | - | - | - |
| 4 | Интегральный способ | + | - | + | + |
| 5 | Индексный способ | + | - | + | - |
| 6. | Логарифмический способ | + | - | + | - |
Были рассмотрены методы детерминированного факторного анализа. Однако на практике далеко не все экономические явления и процессы могут изучаться с помощью этой методики, так как в большинстве случаев их нельзя свести к функциональным зависимостям, когда величине факторного показателя соответствует единственная величина результативного показателя.
Чаще в экономических исследованиях встречаются стохастические зависимости, которые отличаются приблизительностью, неопределенностью. Они проявляются только в среднем по значительному количеству объектов (наблюдений). Здесь каждой величине факторного показателя (аргумента) может соответствовать несколько значений результативного показателя (функции).
Взаимосвязь между исследуемыми факторами и результативным показателем проявится, если взять для исследования большое количество наблюдений (объектов) и сравнить их значения. Тогда в соответствии с законом больших чисел влияние других факторов на результативный показатель сглаживается, нейтрализуется. Это дает возможность установить связь, соотношения между изучаемыми явлениями.
Значит,корреляционная (стохастическая) связь — это неполная, вероятностная зависимость между показателями, которая проявляется только в массе наблюдений. Отличают парную и множественную корреляцию.
Парная корреляция - это связь между двумя показателями, один из которых является факторным, а другой — результативным. Множественная корреляция возникает от взаимодействия нескольких факторов с результативным показателем.
Для исследования стохастических соотношений используются, уже описанные автором, аналитические группировки и графики. Однако они позволяют выявить только общий характер и направление связи. Основная же задача факторного анализа — определить степень влияния каждого фактора на уровень результативного показателя. Для этой цели применяются способы корреляционного, дисперсионного, компонентного и т.д.
Рассмотрим только корреляционный анализ. Одной из его основных задач является определение влияния факторов на величину результативного показателя (в абсолютном измерении). Для решения этой задачи подбирается соответствующий тип математического уравнения, которое наилучшим образом отражает характер изучаемой связи (прямолинейной, криволинейной и т.д.). Это играет важную роль в корреляционном анализе, потому что от правильного выбора уравнения регрессии зависит ход решения задачи и результаты расчетов.
Обязательным условием применения корреляционного метода является массовость значений изучаемых показателей, позволяющая выявить тенденцию, закономерность развития.
Корреляция может быть парной и множественной.
Парная корреляция – это связь между двумя показателями, один из которых является фактором, другой – результативным показателем.
Множественная корреляция – связь между несколькими факторами и одним результативным показателем.
Метод множественной корреляции применяется в случаях, когда результирующий показатель зависит от нескольких взаимно независимых факторов. При этом применяется уравнение множественной регрессии.
.
ЗАКЛЮЧЕНИЕ
На основе собранного изученного материала, можно сформировать следующие выводы.
Экономический анализ — глубокое исследование экономических явлений на предприятии, то есть выявление причин отклонения от плана и недостатков в работе, вскрытие резервов, их изучение, содействие комплексному осуществлению экономической работы и управлению производством, активное воздействие на ход производства, повышение его эффективности и улучшение качества работы. Все это выявляется с помощью тех или иных методов.
Методом в экономическом анализе считается системное, комплексное изучение, измерение и обобщение влияния факторов на результаты деятельности предприятия путем обработки специальными приемами системы показателей плана, учета, отчетности и других источников информации с целью повышения эффективности функционирования предприятия. А его главными чертами являются использование системы показателей, всесторонне характеризующих хозяйственную деятельность, изучение причин изменения этих показателей, выявление и измерение взаимосвязи между ними в целях повышения социально-экономической эффективности.
Так же в ходе работы было установлено, что в отличие от метода, методика-это собой совокупность аналитических способов и правил исследования экономики предприятия, определенным образом подчиненных достижению цели анализа.
Была изучена подробно классификация методов, согласно которой, методы экономического анализа делятся на неформальные (логистические) и формализованные. К неформальным относятся методы сравнения, относительных и средних величин, графического и табличного представления данных, группировки, балансовый.
А к формализованным – методы оптимизационного решения задач (теория игр, программирование и экономико-математические), а так же методы факторного анализа, который в свою очередь бывает детерминированным (метод цепных подстановок, абсолютных и относительных разниц, индексный, интегральный) и стохастическим (корреляционный, дисперсионный, компонентный).
СПИСОК ИСПОЛЬЗОВАННЫХ ИСТОЧНИКОВ
1. Баканов М.И., Шеремет А.Д. Теория экономического анализа: Учебник. -М: Финансы и статистика, 2001. — 416 с.
2. Бородулин А.Н., Кузнецов В.Н., Мельник М.В. Теория экономического анализа: Учебное пособие… Тверь: ТГТУ, 2005. 148 с.
3. Давыденко И.Г. Методическое пособие по теории экономического анализа для студентов ЮФУ, 2007 г. стр.
4. Зенкина И.В. Теория экономического анализа: Учебное пособие. – М.: Издательско-торговая корпорация « Дашков и Ко», Ростов н/Д: Наука-Пресс, 2007. 208с. Стр. 34-43, 54-57.
5. Ковалев В.В., Волкова О.Н. Анализ хозяйственной деятельности предприятия. – М.: ООО «ТК ВЕЛБИ», 2002. – 424 с.
6. Когденко В.Г. Методология и методика экономического анализа в системе управления коммерческой организацией: монография. — М.: ЮНИТИ-ДАТА, 2008. 543 стр. Стр. 20-22.
7. Любушин Н.П. Экономический анализ: учебное пособие для студентов ВУЗов. – М.: ЮНИТИ-ДАТА, 2007. 423с. Стр. 66-83
8. Савицкая Г. В. Анализ хозяйственной деятельности предприятия. – Минск: ООО «Новое знание», 2000. – 688 с. стр.
9. Журнал «Экономический анализ: теория и практика» № 13(46), июль 2005.
10. econom-analiz.ru
11. www.pavlov-iv.ru
[1] Ковалев В.В., Волкова О.Н. Анализ хозяйственной деятельности предприятия.
[2] Давыденко И.Г. Методическое пособие по ТЭА
[3] Баканов М.И., Шеремет А.Д. Теория экономического анализа: Учебник.
[4] Савицкая Г. В. Анализ хозяйственной деятельности предприятия.
[5] Давыденко И.Г. Методическое пособие по ТЭА
[6] Бородулин А.Н., Кузнецов В.Н., Мельник М.В. Теория экономического анализа.
[7] Зенкина И.В. Теория экономического анализа
[8] Савицкая Г. В. Анализ хозяйственной деятельности предприятия.
[9] Давыденко И.Г. Методическое пособие по ТЭА, 2007.
[10] Зенкина И.В. Теория экономического анализа. 40-42
[11] Давыденко И.Г. Методическое пособие по ТЭА
[12] Савицкая Г. В. Анализ хозяйственной деятельности предприятия. Стр. 15-16
[14] Давыденко И.Г. Методическое пособие по ТЭА.
[15] Когденко В.Г. Методология и методика экономического анализа в системе управления коммерческой организацией: монография. Стр 20
[17] Савицкая Г. В. Анализ хозяйственной деятельности предприятия
[18] Любушин Н.П. Экономический анализ: учебное пособие для студентов. Стр 77-7




