Реферат: Воздух рабочей зоны
Российский Университет Дружбы Народов
Экологический факультет
Реферат по курсу «Защита природных ресурсов»
на тему
Очистка и переработка технологических газов, дымовых отходов и вентиляционных выбросов
Руководитель: Хаустов А.П .
Выполнил студент гр.
ОСМ-202 Глущенко И .А.
Москва
2000
Содержание
Очистка и переработка технологических газов, дымовых отходов и вентиляционных выбросов… 3
Механические («сухие») пылеуловители… 3
Пористые фильтры… 6
Электрофильтры… 12
Аппараты мокрого пылегазоулавливания… 14
Скрубберы (газопромыватели)… 14
Комбинированные методы и аппаратура очистки газов… 20
Литература … 23
Очистка и переработка технологических газов, дымовых отходов и вентиляционных выбросов
Защита окружающей среды от загрязнений включает, с одной стороны, специальные методы и оборудование для очистки газовых и жидких сред, переработки отходов и шламов, вторичного использования теплоты и максимального снижения теплового загрязнения. С другой стороны, для этого разрабатывают технологические процессы и оборудование, отвечающие требованиям промышленной экологии, причем технику защиты окружающей среды применяют практически на всех этапах технологий. Предлагаемые к рассмотрению в лекциях 5, 6 и 7 методы и устройства защиты окружающей среды сгруппированы по типу очищаемой среды (газовая, жидкая, твердая, комбинированная) или вторично используемого отхода в зависимости от его характеристик.
Газообразные промышленные отходы включают в себя не вступившие в реакции газы (компоненты) исходного сырья; газообразные продукты; отработанный воздух окислительных процессов; сжатый (компрессорный) воздух для транспортировки порошковых материалов, для сушки, нагрева, охлаждения и регенерации катализаторов; для продувки осадков на фильтровальных тканях и других элементах; индивидуальные газы (аммиак, водород, диоксид серы и др.); смеси нескольких компонентов (азотоводородная смесь, аммиачно-воздушная смесь, смесь диоксида серы и фосгена);
газопылевые потоки различных технологий; отходящие дымовые газы термических реакторов, топок и др., а также отходы газов, образующиеся при вентиляции рабочих мест и помещений. Кроме этого, все порошковые технологии сопровождаются интенсивным выделением газопылевых отходов. Пылеобразование происходит в процессах измельчения, классификации, смешения, сушки и транспортирования порошковых и гранулированных сыпучих материалов [1, 2].
Для очистки газообразных и газопылевых выбросов с целью их обезвреживания или извлечения из них дорогих и дефицитных компонентов применяют различное очистное оборудование и соответствующие технологические приемы.
В настоящее время методы очистки запыленных газов классифицируют на следующие группы:
I. «Сухие» механические пылеуловители.
II. Пористые фильтры.
III. Электрофильтры.
IV. «Мокрые» пылеулавливающие аппараты.
Механические («сухие») пылеуловители
Такие пылеуловители условно делятся на три группы:
-пылеосадительные камеры, принцип работы которых основан на действии силы тяжести (гравитационной силы);
-инерционные пылеуловители, принцип работы которых основан на действии силы инерции;
-циклоны, батарейные циклоны, вращающиеся пылеуловители, принцип работы которых основан на действии центробежной силы.
Пылеуловительная камера представляет собой пустотелый или с горизонтальными полками во внутренней полости прямоугольный короб, в нижней части которого имеется отверстие или бункер для сбора пыли (рис. 1.).

Рис. 1. Пылеосадительные камеры:
а — полая: б — с горизонтальными полками; в, г — с вертикальными перегородками: / — запыленный газ; // — очищенный газ; /// — пыль; 1 — корпус; 2 — бункер; 3 — штуцер для удаления;
4 - полки; 5 — перегородки.
Скорость газа в камерах составляет 0,2-1,5 м/с, гидравлическое сопротивление 50-150 Па. Пылеосадительные камеры пригодны для улавливания крупных частиц размером не менее 50 мкм. Степень очистки газа в камерах не превышает 40-50%. Продолжительность прохождения т(с) газами осадительной камеры при равномерном распределении газового потока по ее сечению составляет:

гдеVk, - объем камеры, м3 ;Vг- объемный расход газов, м3/с;L - длина камеры, м; В- ширина камеры, м; Н- высота камеры, м.
В инерционных пылеуловителях для изменения направления движения газов устанавливают перегородки (рис. 2). При этом наряду с силой тяжести действуют и силы инерции. Пылевые частицы, стремясь сохранить направление движения после изменения направления движения потока газов, осаждаются в бункере. Газ в инерционном аппарате поступает со скоростью 5-15 м/с. Эти аппараты отличаются от обычных пылеосадительных камер большим сопротивлением и высокой степенью очистки газа [З].

Рис. 2. Инерционные пылеуловители с различными способами подачи и распределения газового потока:
а — камера с перегородкой; б — камера с расширяющимся конусом; в — камера с заглубленным бункером .
Большое внимание при проектировании пневмотранспортных и других устройств пылеочистки необходимо уделять узлам отделения материала от транспортирующего воздуха — разгрузочным и пылеулавливающим устройствам (циклонам, фильтрам и т.п.). В зависимости от способа отделения материала в системах пневмотранспорта используют объемные разгрузочные устройства и центробежные циклоны. Выбор того или иного типа устройства зависит от конкретных условий работы установок и требований, предъявляемых к его работе: наибольшее значение коэффициента осаждения материала, минимальное сопротивление разгрузочного устройства, надежность в эксплуатации.
Предпочтение отдается центробежным циклонам, выполняющим одновременно и роль пылеулавливающего аппарата. Эффективность улавливания пыли в циклонах повышается с уменьшением диаметра корпуса, но при этом снижается их пропускная способность. Для обеспечения соответствующей производительности пневмотранспортной установки небольшие циклоны группируют в батарею. Коэффициент пылеулавливания батареи циклонов составляет 0,76-0,85 и несколько повышается с увеличением входной скорости (с 11 до 23 м/с). Использование вместо циклонов вихревых пылеуловителей обеспечивает улавливание частиц пыли размером 5-7 мкм.
Воздух после разгрузочных устройств или циклонов, насыщенный субмикронными частицами, должен направляться на доочистку в пылеуловители. При выборе типа пылеуловителя в условиях работы таких установок учитывают следующие показатели:
— степень пылеулавливания, равную отношению количества пыли, задержанной пылеуловителем, к количеству пыли, содержащейся в воздухе при его поступлении в пылеуловитель;
— сопротивление пылеуловителя, от которого зависит экономичность процесса пылеулавливания;
— габаритные размеры и масса пылеуловителя, надежность и простота его обслуживания.
Циклоны рекомендуется использовать для предварительной очистки газов и устанавливать перед высокоэффективными аппаратами (например, фильтрами или электрофильтрами) очистки.
Основными элементами циклонов являются корпус, выхлопная труба и бункер. Газ поступает в верхнюю часть корпуса через входной патрубок, приваренный к корпусу тангенциально. Улавливание пыли происходит под действием центробежной силы, возникающей при движении газа между корпусом и выхлопной трубой. Уловленная пыль ссыпается в бункер, а очищенный газ выбрасывается через выхлопную трубу (рис. 3).
В зависимости от производительности циклоны можно устанавливать по одному (одиночные циклоны) или объединять в группы из двух, четырех, шести или восьми циклонов (групповые циклоны).
Существуют батарейные циклоны. Конструктивной особенностью последних является то, что закручивание газового потока и улавливание пыли в них обеспечивается размещенными в корпусе аппарата циклонными элементами [4].
Ниже приведенатехническая характеристика наиболее распространенного на производстве циклона ЦН-15:
— допустимая запыленность газа, г/м3 :
для слабослипающихся пылей — не более 1000;
для среднесливающихся пылей — 250;
— температура очищаемого газа, °С — не более 400;
— давление (разрежение), кПа (кг/см2 ) — не более 5 (500);
— коэффициент гидравлического сопротивления:
для одиночных циклонов — 147;
для групповых циклонов — 175-182;
— эффективность очистки (от пыли dm = 20 мкм, при скорости газопылевого потока 3,5 м/с и диаметре циклона 100 мм), % — 78.

Рис. 3. Циклон типа ЦН-15П:
1 - коническая часть циклона; 2 — цилиндрическая часть циклона; 3 — винтообразная крышка; 4 — камера очищенного газа; 5 — патрубок входа запыленного газа; 6 — выхлопная труба; 7 -бункер; 8 — люк; 9 — опорный пояс; 10 — пылевыпускное отверстие.
Для расчетов режимов и выбора марки (конструкции) циклона необходимы следующие исходные данные: количество очищаемого газа при рабочих условиях Vг, мЭ/с; плотность газа при рабочих условиях р, кг/м3; динамическая вязкость газа при рабочей температуре m; дисперсный состав пыли, задаваемый двумя параметрами dm и lg sr; запыленность газа Сeх, г/м3; плотность частиц рч, кг/м3; требуемая эффективность очистки газа h.
Конструкцию и режимные параметры циклона рассчитывают методом последовательных приближений по методикам [3-5] или используя более современный математический аппарат [б].
Пористые фильтры
Для очистки запыленных газов все большее распространение получает на последних ступенях сухая очистка рукавными фильтрами. Степень очистки газов в них при соблюдении правил технической эксплуатации достигает 99,9%.
Классификация рукавных фильтров возможна по следующим признакам:
— форме фильтровальных элементов (рукавные, плоские, клиновые и др.) и наличию в них опорных устройств (каркасные, рамные);
— месту расположения вентилятора относительно фильтра (всасывающие, работающие под разрежением, и нагнетательные, работающие под давлением);
— способу регенерации ткани (встряхиваемые, с обратной продувкой, с импульсной продувкой и др.);
— наличию и форме корпуса для размещения ткани — прямоугольные, цилиндрические, открытые (бескамерные);
— числу секций в установке (однокамерные и многокамерные);
— виду используемой ткани (например, стеклотканевые).
В качестве фильтровальных материалов применяют ткани из природных волокон (хлопчатобумажные и шерстяные), ткани из синтетических волокон (нитроновые, лавсановые, полипропиленовые и др.), а также стеклоткани. Наиболее распространены лавсан, терилен, дакрон, нитрон, орлон, оксалон, сульфон. Последние два материала представляют полиамидную группу волокон, обладающих термостойкостью при температуре 250-280 °С. Для фильтровальных тканей наиболее характерно саржевое переплетение. Применяют также нетканые материалы — фетры, изготовленные свойлачиванием шерсти и синтетических волокон.
Рассмотрим подробнее группу материалов из нетканых иглопробивных фильтровальных полотен, наиболее перспективных в производстве порошковых материалов. Таллинской фирмой «Мистра» предлагаются полотна марок «Фильтра-220», «Фильтра-330», «Фильтра-550» для использования их в аспирационных или вакуумных рукавах и карманных (мешочных) фильтрах очистки газов, пылеулавливания технологических продуктов, а также в системах вентиляции.
Нетканые иглопробивные полотна характеризуются следующими показателями (табл. 1):
Таблица 1 Технические показатели фильтровальных полотен
| Наименование | «Фильтра-550» | «Фильтра-330» |
| Поверхностная плотность, г/м2 | 550±28 | 330±17 |
| Ширина, см | 150±3 | 145±3 |
| Толщина, мм | 2±0,3 | 1,3±0,2 |
| Наименование | «Фильтра-550» | «Фильтра-330» |
| Воздухопроницаемость, дм3/м2 с), при перепаде давления 50 Па | 150±50 | 250±50 |
| Разрывная нагрузка, Н, не менее по длине по ширине | 1000 | 400 |
| Удлинение при разрыве, % по длине по ширине | 80 90 | 80 90 |
| Нормированная влажность, % | 1 | 1 |
Промышленные испытания материала «Фильтра-550» в производстве сепарированного мела показали степень очистки 99,9% при улавливании пыли, 75% которой составляет фракция с диаметром частиц 1-5 мкм.
Срок службы фильтровального материала не менее одного года. Верхний предел рабочих температур составляет 140-150 °С.
В «Мистре» создано и более термостойкое полотно, используемое при температуре до 210-220 °С. В зависимости от вида ткани допустимая удельная газовая нагрузка составляет 0,6-1,2 м3 /(м2 *мин) для хлопчатобумажной или шерстяной; 0,5-1 -для синтетической; 0,3-0,9 м3 /(м2 *мин) — для стеклоткани.
Нагнетательный рукавный фильтр работает следующим образом. Воздух под давлением поступает в верхнюю распределительную коробку и затем в матерчатые вертикальные рукава. Пройдя через рукава и оставив на их внутренней поверхности пыль, очищенный воздух выходит в атмосферу (помещение). Подвижная рама с проволочной сеткой при подъеме и опускании сжимает рукава в поперечном сечении, благодаря чему пыль сбрасывается в пылесборник и удаляется винтовым конвейером. Недостатком таких фильтров является неудовлетворительная очистка фильтрующей ткани, в результате чего значительно возрастает сопротивление фильтра и снижается его КПД.
Наибольшее распространение получил всасывающий рукавный фильтр, который состоит из ряда рукавов, заключенных в герметически закрытый корпус. Подлежащий очистке воздух подается через нижнюю приемную коробку в рукава, заглушенные сверху, проникает сквозь ткань рукавов и удаляется из корпуса через канал. Рукава фильтра очищаются от пыли с помощью специального встряхивающего механизма. Недостатком всасывающих фильтров является значительный подсос воздуха через неплотности (10-15% от объема поступающего на очистку воздуха).
Разработка и промышленное изготовление дешевых фильтровальных тканей, обладающих высокой эффективностью при достаточной механической прочности и стойкости в кислых и щелочных средах, например, при химическом полировании хрусталя, открывают пути для более широкого их применения. Так, фильтрующий материал «Бекинокс» (Великобритания) изготавливают как в виде штапеля, так и в виде длинных нитей различного диаметра из нержавеющей стали. Этот материал при скорости фильтрации 180 м3 /(м2 *ч) имеет сопротивление 1200 Па и ту же эффективность, что и текстильные ткани. Он обладает высокой абразивной устойчивостью, температуростойкостью (до 500 °С), регенерируется любым известным способом и хорошо зарекомендовал себя при фильтрации газов, содержащих SO2 .
Во Франции при очистке отходящих газов с температурой 400-500С применяют рукавные фильтры из металлического фетра, основа которого представляет собой металлическую сетку, нарощенную слоем тонкой металлической нити определенной толщины и плотности. По скорости фильтрации, аэродинамическому сопротивлению, количеству потребляемой энергии фильтр идентичен рукавному фильтру из полиэфирного волокна.
Для случая, когда высокая фильтрующая способность должна сочетаться с высокой теплостойкостью и стойкостью к агрессивной химической среде, фирма «Дюпон» (США) предлагает три вида материалов (войлок и ткани) для фильтрации сухих частиц: номекс (арамидное волокно), тефлон (фторуглерод) и тефэр-войлок, выполненный из смеси тефлона (85%) со стекловолокном (15%). Эти материалы выдерживают рабочую температуру 100-250 °С.
Небольшое количество тонких стеклянных волокон в тефлоне уменьшает его пористость и повышает улавливающую способность. Тефлоновые волокна, стойкие к истиранию, в свою очередь защищают стекловолокно от механических повреждений. Высокие эксплуатационные характеристики материала тефэр объясняются противоположными трибоэлектрическими свойствами обоих волокон смеси, которые создают электростатические заряды в ходе работы. Это способствует высокой эффективности улавливания войлоком субмикронных частиц. Однако, по данным фирмы, если фтористоводородная кислота, например, при химическом полировании хрусталя полностью не нейтрализуется, то в дымовых газах рекомендуется пользоваться 100%-ным тефлоном.
Отечественной промышленностью в настоящее время разработаны следующие тканевые фильтры [4]:
а) с импульсной продувкой каждого каркасного рукава (ФРКИ и др.). Регенерация осуществляется под действием импульсов сжатого воздуха и без отключения секций;
б) с комбинированным устройством регенерации - механическим встряхиванием и обратной посекционной продувкой (ФРУ и др.)
в) с обратной посекционной продувкой (ФР и др.)
г) с регенерацией механическим встряхиванием (ФР-6П и др.). Регенерация рукавов осуществляется вручную или с помощью электромеханического устройства.
В справочнике [7] подробно рассмотрены фильтры общепромышленного назначения, серийно выпускаемые специализированным заводами. Преимущественное развитие получили фильтры ФРКИ и ФРИ (рис. 4). Скорость фильтрования в этих аппаратах на 20-30% выше, чем в фильтрах с механической регенерацией и обратной продувкой. При эффективной регенерации (короткими импульсами длительностью 0,1-0,2 с) общий срок службы рукавов в этих фильтрах более высокий, рукава меньше изнашиваются. Гидравлическое сопротивление обычно поддерживается на уровне 1000-1500 Па. Условное обозначение типоразмера фильтра: Ф -фильтр; Р - рукавный; К - каркасный; И - с импульсной продувкой; цифра после буквенных обозначений — активная поверхность фильтрации.

Рис. 4. Фильтр ФРКИ (ФРИ):
1 - бункер; 2 — корпус; 3 — диффу-эорсопло; 4 — крышка: 5 — труба раздающая; 6 — секция клапанов: 7 — коллектор сжатого воздуха; 8 — секция рукавов.
В процессе фильтрации запыленный газ проходит через ткань закрытых снизу рукавов внутрь, выходит через верхний коллектор и удаляется из аппарата. Каждый рукав в фильтре натянут на жесткий каркас и закреплен на верхней решетке. В качестве фильтрующего материала используют лавсан и фетр. В табл. 2 приведены основные технические характеристики фильтров рукавных каркасных с импульсной продувкой (ФРКИ).
Таблица 2 Технические характеристики рукавных фильтров
| Показатели | ФРКИ-30 | ФРКИ-60 | ФРКИ-90 | ФРКИ-180 | ФРКИ-360 |
| Поверхность фильтрации, м2 | 30 | 60 | 90 | 180 | 360 |
| Показатели | ФРКИ-30 | ФРКИ-60 | ФРКИ-90 | ФРКИ-180 | ФРКИ-360 |
| Число рукавов | 36 | 72 | 108 | 144 | 288 |
| Высота рукава, м | 2 | 2 | 2 | 3 | 2 |
| Число электромагнитных клапанов | 6 | 12 | 18 | 24 | 48 |
| Число секций | 1 | 2 | 3 | 4 | 8 |
| Наибольший расход сжатого воздуха, м3/ч | 10 | 20 | 30 | 60 | 120 |
| Габаритные размеры, мм | 1458х2060х х3620 | 2820х2060х х3620 | 4140х2060х х3620 | 5480х2060х х4620 | 5850х4370х х4880 |
| Масса, кг | 1300 | 2500 | 2500 | 5500 | 10500 |
Примечание. Диаметр рукава 130 мм, гидравлическое сопротивление 1.2 Па давление продувочного воздуха 0,3-0,6 МПа, рабочее давление (разрежение) в аппарате до 5 кПа.
Расчет рукавных тканевых фильтров сводится к определению общей поверхности фильтрации F и числа фильтров или секций. Нормальная нагрузка на 1 м фильтрующей поверхности для рукавных фильтров составляет 150-200 м /ч. Сопротивление фильтров определяют по формуле:
![]()
где В — коэффициент, равный 0,13-0,15 (большее значение принимается для более дисперсной пыли); Qв — расход воздуха на 1 м2 ткани рукавов, м3/ч; n- принимается равным 1,2-1,3 (меньшее значение принимается для более дисперсной пыли).
При работе в нормальном режиме сопротивление нагнетательных фильтров составляет до 2 кПа, всасывающих — до 6 кПа. Общую поверхность фильтрации (м2 ) определяют по формуле:

гдеFpaб - поверхность фильтрации в одновременно работающих секциях, м; F рег ~ поверхность фильтрации в регенерируемой секции, м2; V - объемный расход очищаемых газов (воздуха) с учетом подсоса воздуха в фильтр, м3 /мин;Vnp - объемный расход продувочного воздуха, м3 /мин;qф - удельная газовая нагрузка, м3 /(м2 *хмин).
Число необходимых фильтров или секций
![]()
гдеF1 - поверхность фильтрации всех рукавов, установленных в одном фильтре или секции, м2 .
Гидравлическое сопротивление тканевого фильтра DР, Па (уточненное значение), в любой момент времени (t, с) от включения фильтра в работу определяют по формуле:

где mr- динамический коэффициент вязкости газа, Па*c; en — пористость слоя пыли;dm - средний размер частиц пыли, м; eт — — пористость ткани; Сeх — начальная запыленность газа, кг/м3; rп - плотность пыли, кг/м3 .
Периоды работы фильтра между регенерацией, встряхиванием или продувкой ориентировочно определяют в зависимости от входной запыленности газов:
Входная запыленность, г/м3 Периоды между регенерацией, мин | 5 10-12 | 10 8-9 | 20 4-7 |
Пылеулавливание в цехах подготовки и переработки порошковых материалов является технической проблемой. Например, все звенья погрузочно-разгрузочных работ — потенциальные источники пыления, интенсивность которых зависит от технического уровня используемого оборудования и технологии перегрузки сыпучих и кусковых материалов. Наиболее полно задачи борьбы с образованием пыли и ее улавливанием решены для конвейерных линий и некоторых видов перерабатывающего оборудования [1].
В настоящее время для очистки таких отходящих газов от пыли применяют одноступенчатую очистку в циклонах ЦН-15, ЦН-11 или двухступенчатую с использованием дополнительного циклона-промывателя типа СИОТ или ЛИОТ. Однако они не обеспечивают требуемой степени очистки газов, что связано с зарастанием воздухопроводов в местах отделения сухого газа от пыли и газа от капель воды. Поэтому дополнительно используют пылеулавливающие установки, включающие сухие инерционные пылеуловители (циклоны групповые и батарейные), пористые фильтры (ленточные, рамные, рукавные со струйной импульсной и обратной продувкой, зернистые и др.).
Конструкция зернистого фильтра, представлена на рис. 5.
Фильтр имеет корпус 1, фильтрующие элементы 4, бункер 5, систему импульсной регенерации 3. Фильтрующий элемент содержит четыре пары вертикально размещенных фильтрующих ячеек 2. Ячейка содержит наклонные непроницаемые перегородки, верхние и нижние сетки. Между сетками засыпаются частицы слоем 150 мм размером 3-5 мм дробленого материала из магнезита, доломита, гравия и т.д. Перегородки и сетки образуют каналы треугольного сечения, по которым очищенные газы через отверстия в боковине проходят в короб. В каналах для прохода очищенного газа устанавливают перфорированные трубки, служащие для циклической подачи сжатого воздуха из коллектора. Фильтрующие ячейки разделены перегородками на три равные части. При импульсной продувке нижние ячейки работают в режиме фильтрации, а верхние — в режиме регенерации.

Рис. 5. Зернистый фильтр
Наряду с очисткой пылвгаэовых потоков важной задачей является также очистка и обезвреживание дымовых газов от продуктов сгорания топлива и других газообразных альтерогенов.
С этой целью часто применяют метод адсорбции. В сухом способе очистки дымовых газов фильтрация очищаемых выбросов происходит через неподвижный (адсорберы периодического действия) или движущийся слой твердого поглотителя — адсорбента (адсорберы непрерывного действия). Наиболее распространены адсорберы периодического действия, в которых период контактирования очищаемого газа с адсорбентом чередуется с периодом его регенерации.
Конструктивно адсорберы (рис. 6) выполняются в виде вертикальных, горизонтальных либо кольцевых емкостей, заполненных пористым адсорбентом. Выбор конструкции определяется скоростью газовой смеси, размером частиц адсорбента, требуемой степенью очистки и рядом других факторов. Вертикальные адсорберы применяют при небольших объемах очищаемого газа, а горизонтальные и кольцевые при производительности до десятков и сотен м3/ч.

Рис. 6. Конструктивные схемы адсорберов:
а — вертикальный; б — горизонтальный; в — кольцевой; 1 — адсорбер: 2 — слой активированного угля; 3 — центральная труба для подачи паровоздушной смеси при адсорбции; 4 — барботер для подачи острого пара при десорбции; 5 — труба для выхода инертных по отношению к поглотителю газов при адсорбции; б — труба для выхода пара при десорбции.
При проектировании или выборе конструкции адсорбера используют следующие исходные данные: объемный расход очищаемого газа (м/с), концентрацию удаляемой примеси (мг/м3 ) и давление отходящих газов (Па). В результате расчета определяют необходимую массу адсорбента, конструктивные размеры, гидравлическое сопротивление аппарата и время защитного действия адсорбера [8].
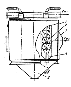
Электрофильтры
Метод электроосаждения (улавливания пыли в электрическом поле) заключается в следующем. Частицы пыли (или капельки влаги) сначала получают заряд от ионов газа, которые образуются в электрическом поле высокого напряжения, а затем движутся к заземленному осадительному электрозаряду. Лопав на заземленный уловитель, частицы прилипают и разряжаются. Когда осадительный электрод обрастает слоем частиц, они стряхиваются под воздействием вибрации и собираются в бункере. Схема электрического осаждения пыли представлена на рис. 7. [2].

Рис. 7. Схема электрического осаждения пыли:
1 - источник электропитания; 2 — коронирующий электрод; 3 — осадительный электрод; 4 -ион газа; 5- частица пыли.
Электрофильтры применяются там, где необходимо очищать очень большие объемы газа и отсутствует опасность взрыва. Эти установки (рис. 8) используются для улавливания летучей золы на современных электростанциях, для улавливания пыли в цементной промышленности, а также в металлургии в мощных системах улавливания дыма, для пылеулавливания в системах кондиционирования воздуха и других смежных отраслях [4,9].

Рис. 8. Двухступенчатый электрофильтр горизонтального потока:
1 - комплект стряхиватвлей для высоковольтных и собирательных электродов; 2 — отдельная сблокированная дверца смотрового люка; 3 — быстрооткрывающиеся панели для извлечения проволочных электродов без отключения установки; 4 — распорные стержни между осадительными электродами; 5 — дырчатый распределительный экран; б — станина, устанавливаемая непосредственно на опорных колоннах: 7 — сблокированное высоковольтное оборудование для каждой электрической секции: в — площадка для размещения изоляторов и газонепроницаемых уплотнителей; 9 — скатная крыша; 10 — клиновидные опоры для проволочных электродов; 11 — упруго закрепленные собирательные электроды; 12— пластинчатые и щитковые электроды; 13- упруго закрепленная высоковольтная рама: 14 — люк смотрового прохода между ступенями.
Аппараты мокрого пылегазоулавливания
При очистке газов от частиц пыли и для переработки газообразных отходов с целью извлечения из них полезных компонентов или их обезвреживания успешно применяются методы и оборудование, основанные на принципах мокрого пылеулавливания.
Целесообразно сочетание сухой и последующей мокрой очистки, которая в свою очередь может сочетаться с адсорбционной доочисткой.Развитая поверхность контакта фаз способствует увеличению эффективности пылеулавливания. В промышленности используют мокрые пылеуловители (промыватели) капельного, пленочного и барботажного типов. Конструктивно аппараты могут быть полыми, тарельчатыми, механического и ударно-инерционного действия (ротоклоны), а также скоростного типа (трубы Вентури и другие инжекторы).
Необходимо стремиться к созданию мокрых промывателей с минимальным гидравлическим сопротивлением, работоспособных при низких расходах воды. Эффективность очистки пыли зависит от размеров улавливаемых частиц и от других свойств пыли. Необходимость концентрирования системы жидкость — твердое тело с возвратом очищенной воды на пылеулавливание, накопление в орошаемой жидкости растворимых компонентов пыли усложняет систему мокрого пылеулавливания.В общем виде процесс улавливания пыли мокрым методом представляется как перенос твердой фазы из газовой среды в жидкую и удаление последней из аппарата вместе с твердой фазой [2,3]. В зависимости от формы контактирования фаз способы мокрой пылеочистки можно разделить на: 1 — улавливание в объеме (слое) жидкости; 2 — улавливание пленками жидкости; 3 — улавливание распыленной жидкостью в объеме газа (рис. 9).

Р и с. 9. Схемы основных способов мокрого пылеулавливания:
а — в объеме жидкости; б — пленками жидкости; е — распыленной жидкостью; 1 — пузырьки газа; 2 — капли жидкости; 3 — твердые частицы.
Скрубберы (газопромыватели).
При объемно-жидкостном способе поток запыленного газа пропускают через определенный объем жидкости. Для этой цели используют пенные пылеуловители с провальными тарелками или тарельчатые скрубберы, эффективность которых может достигать 90-95%. На рис. 10 представлен тарельчатый скруббер.


Рис. 10. Тарельчатый скруббер: 1 - каплеуловитель; 2 — тарелка. | Рис. 11. Пылеуловитель ПВМ: 1 - корпус; 2,4- перегородки; 3 — водоотбойник; 5 — каплеуловитель; б — вентиляционный агрегат; 7 — устройство для регулирования уровня воды |
Улавливание пыли пленками жидкости характеризуется тем, что контакт газа и жидкости происходит на границе двух сред без перемешивания. Захват (собственно улавливание) твердых частиц тонкими пленками жидкости происходит на поверхностях конструктивных элементов. К этой группе устройств относятся скрубберы с насадкой, мокрые циклоны, ротоклоны и т.п. На рис. 11 показана схема пылеуловителя вентиляционного мокрого (ПВМ).
Улавливание пыли распыленной жидкостью заключается в том, что орошающая жидкость вводится в запыленный объем (поток) газа в распыленном или дисперсном виде. Распыление орошающей жидкости производится с помощью форсунок под давлением или за счет энергии самого потока газа. Первый способ распыления используется в полых скрубберах (рис. 12), второй — в турбулентных промывателях и скрубберах Вентури (рис. 13).


| Рис. 12. Полый форсуночный скруббер | Рис. 13. Скруббер Вентури 1 - каплеуловитель; 2 — диффузор; 3 — горловина; 4 — конфузор; 5 — устройство для подачи воды |
Скрубберы Вентури (сочетание трубы с каплеуловителем центробежного типа) обеспечивают очистку газов от частиц пыли практически любого дисперсного состава. В зависимости от физико-химических свойств улавливаемой пыли, состава и температуры газа выбирают режим работы скруббера Вентури. Скорость газа в горловине может быть 30-200 м/с, а удельное орошение 0,1-6 м3/м3. Эффективность очистки от пыли зависит от гидравлического сопротивления. Скрубберы Вентури эффективно работают при допустимой запыленности очищаемых газов 30 г/м3, предельной температуре очищаемого газа 400 °С, удельном орошении 0,5-2,5 м3/м3 и гидравлическом сопротивлении 6-12 кПа.
Характеристика труб типа ГВПВ (газопромыватель Вентури прямоточный высоконапорный) приведена в табл. 3. Конструкция часто дополняется каплеуловителем циклонного типа (КЦ7), который обеспечивает улавливание капель при содержании жидкости не более 1 м3/м3, температуре не выше 80°С, концентрации капельной влаги после сепарации 70 мг/м3. Гидравлическое сопротивление 350 Па и производительность КЦТ 1700-82500 м3/ч.
Таблица 3. Технические характеристики скруббера Вентури
| Типоразмер | Объем газов на выходе,m'/m | Диаметр горловины, MM | Расход орошаемой жидкости, м3/ч | Давление жидкости перед форсункой, кПа |
| ГВПВ-0,006 | 1700-3500 | 85 | 1,18-3,2 | 180-370 |
| ГВПВ-0,03 | 9320-18900 | 200 | 6,5-13 | 60-250 |
| ГВПВ-0,08 | 23460-47600 | 320 | 16,8-45 | 80-570 |
| ГВПВ-0,140 | 41400-84000 | 420 | 28,8-46 | 130-320 |
Скрубберы Вентури типа СВ-Кк (комплект скруббер-сепаратор, один или два) имеют следующие характеристики:
Объем очищаемых газов, м3/ч Расход орошаемой жидкости, м3/ч Температура очищаемых газов, °С Концентрация взвешенных частиц, мг/м3 Удельное орошение, м3/м3 Гидравлическое сопротивление, кПа | 50000-500000 65-400 до 120 до 10000 0,5-3,5 4-12 |
Созданы скрубберы центробежные, вертикальные, батарейные СЦВБ-20, обеспечивающие производительность по газу 9000-20000 м3/ч при температуре не выше 60 °С, запыленности не более 10 г/м3 и гидравлическом сопротивлении скрубберов 1,7 кПа.
Мокрую очистку газов с частицами 2-3 мкм можно проводить в скрубберах центробежного типа СЦВП, в которых жидкость дробится непосредственно запыленным газом. Шлам, оседающий в нижней части скруббера, выводится эрлифтом в контейнер, а осветленная жидкость вновь возвращается в скруббер. Производительность таких аппаратов 5000-20000 м /ч, допустимая запыленность 2 г/м3, температура газов 80 «С, гидравлическое сопротивление 2,4 кПа, расход воды на очистку 0,05 м3/м3 .
Разработаны скрубберы ударно-инерционного типа с пылеуловителями вентиляционными мокрыми. Производительность таких скрубберов 3000-40000 м3/ч. Запыленность газов 10 г/м, гидравлическое сопротивление аппарата 0,8-2 кПа, расход воды 10-40 г на 1 м3 очищаемого воздуха.
Для химической очистки газов от соединений фтора с содержанием до 1 г/м3 можно рекомендовать скрубберы с шаровой подвижной насадкой и полые. Очистку производят растворами гидроксида или карбоната натрия.
Эффективность очистки газов от пыли зависит от дисперсности, плотности, склонности к слипанию, сыпучести, абразивности, смачиваемости, гигроскопичности, растворимости и др. Однако основным параметром при выборе пылеуловителя является размер частиц. Необходимо знать дисперсный состав пыли, задаваемый в виде таблиц или интегральных кривых. Гранулометрический состав большинства видов пыли подчиняется нормально логарифмическому закону распределения частиц по размерам. Степень очистки газов определяют по формуле:

где х -диаметр частиц пыли, мкм;dso - диаметр частиц пыли, улавливаемых в аппарате на 50%; lg sr - стандартное отклонение в функции распределения частиц по размерам; lg sт — стандартное отклонение в функции распределения фракционных коэффициентов очистки.
Интеграл Ф(х) табулирован. В.Н. Ужовым и др. составлена таблица для определения значений Ф(х), соответствующих разным значениям х [10].
С достаточной точностью дисперсию (геометрическое стандартное отклонение) можно рассчитать по формуле:
![]()
гдеd16 , d64 — диаметры частиц с содержанием фракций меньше 16 и 84%.
Для нахождения значений lg sh необходимо иметь опытные данные по очистке в пылеуловителях определенной конструкции двух видов различной пыли

Рис. 14. Номограмма для определения эффективности улавливания пыли в аппаратах мокрой очистки газов
По номограмме (рис. 14) определяют эффективность улавливания пыли в аппаратах мокрой очистки.
Номограмма построена для значений dm и d50 пыли стандартной плотности rг = 1000 кг/м3. Пересчет значений dm и d50 от реальной плотности rг к стандартной производят по формуле:
![]()
Установлена зависимость степени пылегазоочистки от энергозатрат [10]:
где Кг- удельная энергия соприкосновения, кДж/1000 м3 газов; b и к - константы, определяемые из дисперсного состава пыли, позволяет рассчитать эффективность улавливания пыли. Вероятностно-энергетический метод расчета мокрых пылеуловителей основан на обобщенной зависимости:
![]()
полученной для стандартной плотности пыли рг = 1000 кг/м3 и вязкости газов mr =18*10-6 Пас.
Эта зависимость может быть использована для выбора способов очистки и принципиальной конструкции скрубберов.
Для очистки или обезвреживания газообразных отходов или технологических газов с целью извлечения из них сопутствующих (полезных) газообразных компонентов широко используют метод абсорбции. Абсорбция основана на непосредственном взаимодействии газов с жидкостями. Различают физическую абсорбцию, основанную на растворении газа в жидкости, и хемосорбцию, в основе которой лежит химическая реакция между газом и жидким поглотителем.
Абсорбционной очистке подвергают газообразные отходы, содержащие один или несколько извлекаемых компонентов. В зависимости от используемого абсорбента (табл. 4) и его селективности можно выделить либо один компонент, либо последовательно несколько. В результате абсорбции получают очищенный газ и насыщенный раствор, который должен быть легко регенерируемым с целью извлечения из него полезных газов и возвращения его на стадию абсорбции [2].
Таблица 4. Абсорбенты, применяемые для очистки отходящих газов
| Поглощаемые компоненты | Абсорбенты |
Оксиды азота N2 Оз, NO5 | Вода,, водные растворы и суспензии: NaOH, Na2 C03, NaHCO3, КОН, К2 СОз, КНСОз, Са(ОН)2, СаСОз, Мg(ОН)2, МgСОз, Ва(ОН)2, ВаСОз, NН4 HСОз |
| Оксид азота NO | Растворы FeCl2, FeSO4, Na2 S2 03, NaHCO3 ,Na2 S0з, NaHS03 |
| Диоксид серы SO2 | Вода, водные растворы: Na2 SO3 (18-25%-ные), NH40H (5-15%-ные), Са(ОН)2 Na2 C03 (15-20%-ные), NaOH (15-25%-ные), КОН, (NH4 )2 SO3 (20-25%-ные), ZnS03, К2 СОз: суспензии СаО, МgО, СаСО3, ZnO, золы; ксилидин — вода в соотношении 1:1, диметиланилинС6Нз(СНз)2 NН2 |
| Сероводород H2 S | Водный растворNa2 СОз+Nа3 АsО4 (Nа2 НАsОз); водный раствор Аs2 О3 (8-10 г/л)+NНз (1,2-1,5 г/л)+(NН4)3АsОз (3,5-6 г/л); моноэтаноламин (10-15%-ный раствор); растворы К3 РО4 (40-50%-ный раствор); растворы К3 Р04 (40-50%-ные), NH4 OH, К2 СОз, CaCN2, натриевая соль антрахинондисульфокислоты |
| Оксид углерода СО | Жидкий азот; медно-аммиачные растворы [Сu(NНз)]nх хСОСН |
| Диоксид углерода С02 | Водные растворы Na2 C03, К2 СОз, NaOH, КОН, Ca(OH)2, NH4OH, этаноламины RNH2, R2 NH4 |
| Хлор Cl2 | Растворы NaOH, КОН, Са(ОН)2, Na2 C03, К2 СОз, МgСОз, СаСОз, Na2 S2 03; тетрахлоридметан CCI4 |
| Хлористый водород НСl | Вода, растворы NaOH, КОН, Ca(OH)2, Na2 C03, К2СОз |
| Соединения фтора HF, SiF4 | Na2 C03, NaOH, Са(ОН)2 |
Требования, которым должна удовлетворять абсорбционная аппаратура, вытекают из физического представления явлений массопереноса в системах газ — жидкость. Так как процесс массопереноса протекает на поверхности раздела фаз, то в конструкциях аппаратов необходимо ее максимально развивать.
Для поверхностных абсорберов характерным является конструктивно образованная поверхность, по которой в пленочном режиме стекает абсорбент (жидкость). Наиболее распространенной конструкцией таких противоточных абсорберов являются хорошо известные насадочные. В качестве насадки применяют кольца Рашига, кольца Палля, седла Берля и другую насадку. Насадочные аппараты сложны, так как необходимо создать опорную решетку, оросители, обеспечить эффективное улавливание капель абсорбента.
В распиливающих абсорберах межфазная поверхность образуется мелкими каплями путем дробления, распыления жидкости. В объеме аппарата с помощью форсунок создаются капли, контактирующие с газовым потоком.
В механических абсорберах жидкость распыляется в результате подвода извне механической энергии, например, вращения валков или специальных распылителей. Эти конструкции достаточно сложны.
В поверхностных и распыливающих абсорберах сплошной фазой является газ, а распределенной — жидкость. В барботажных абсорберах в сплошном потоке жидкости распределяется газ, что достигается на так называемых тарелках. Режим, в котором работают такие абсорберы, называют барботажным.
При создании промышленных систем очистки газов абсорбционными методами необходимо различать схемы с одно- и многократным использованием абсорбента. В последней схеме абсорбция сочетается с десорбционными процессами. Однократное использование абсорбента характерно для процессов с низкой стоимостью поглотителя или когда после поглощения образуется готовый (целевой) продукт. Так как в очищаемом газе содержится незначительное количество улавливаемого компонента, то осуществляется циркуляция абсорбента, но без его регенерации.
Расчет процессов абсорбции основывается на материальном балансе, из которого определяют расходные параметры по абсорбенту и размеры аппаратов. Объем очищаемого газа Gi известен, известна также и начальная концентрация поглощаемого компонента в газовом потоке yi и в абсорбенте, подаваемом на очистку, x1. Необходимо знать конечную концентрацию x2 абсорбента, то есть степень насыщения потока абсорбента L поглощаемым компонентом. Тогда количество поглощаемого компонента Gk определяют по формуле:
![]()
где у2 — концентрация компонента в отходящем газовом потоке. Общее уравнение материального баланса имеет вид:
Конечное содержание поглощаемого компонента у2 в газовом потоке должно быть согласовано с равновесной концентрацией его в жидкости, которую определяют по формуле:
где Хг* - равновесная концентрация компонента в жидкости, отвечающая его содержанию в газовой фазе у2; т - константа фазового равновесия (константа Генри).
Определение эффективности реальных аппаратов должно быть основано на кинетических закономерностях процессов массопередачи, что можно записать через скорость растворения газа в жидкости за время через поверхность контакта фаз F, м2 :
Каждая из независимых переменных (К - коэффициент массопередачи и А - движущая сила процесса) зависит от многих параметров (технологических режимов, конструкций аппаратов) и может измеряться в различных единицах. Широко применяют выражение для коэффициента массопередачи Ks как отношение его к площади поверхности контакта фаз или к площади насадки, тарелки. Если при этом движущая сила выражена через дельта, кг/м3, то единица измерения Ks — м/с.
Коэффициент массопередачи относят также к объему аппарата, получая объемный коэффициент массопередачи Кv, с-1 или ч-1 :
![]()
где а — удельная поверхность контакта фаз.
Так как интенсивность переноса массы в газовой фазе (частный коэффициент массоотдачи вг) и в жидкой (частный коэффициент массоотдачи рж) различна, то значение bг и bж определяют по разным зависимостям, и их соотношение для различных процессов также различно. Тогда выражение общего коэффициента массопередачи через частные имеет вид:
![]()
Соотношение между 1/bг и 1/mbж позволяет определить долю сопротивления в газовой и жидкой фазе в зависимости от т, зависящей от абсорбента, степени его насыщения, температуры и др.
Значения bг и bж находят по экспериментальным зависимостям, рекомендуемым для определенных конструкций массообменных аппаратов.
В случае прямолинейной равновесной зависимости и постоянства рг и pж по высоте абсорбера количество переданной массы
или
Последнее выражение называют числом единиц переноса. По аналогии с записью коэффициентов массопередачи можно записать
где Nг и Nж — число единиц переноса в газовой и жидкой фазах соответственно.
Число единиц переноса через объемные коэффициенты массопередачи:
гдеVan - объем аппарата; S — площадь поперечного сечения; Н - высота аппарата.
Тогда высота аппарата
![]()
причем G/(Kv) отвечает высоте аппарата, для которого число единиц переноса равно единице и называется высотой единицы переноса.
Число единиц переноса N можно определить графически. Площадь, ограниченная кривой на таком графике, соответствует общему числу единиц переноса, а угол ее наклона позволяет определить константы b и к.
Существенным недостатком сорбционных методов очистки (абсорбционных и адсорбционных) выбросных газов является необходимость многократной регенерации поглощающих растворов или частичной замены твердого сорбента, что значительно усложняет технологическую схему, увеличивает капитальные вложения и затраты на эксплуатацию.
Комбинированные методы и аппаратура очистки газов
Комбинированные методы и аппаратура очистки газов являются весьма экономичными и наиболее высокоэффективными. Рассмотрим конструкции аппаратов и технологическую схему очистки на примере очистки запыленного воздуха и газов стекольного производства.
Для обеспыливания процессов сушки, измельчения, просеивания, смешивания и транспортирования сырьевых материалов разработан гидродинамический пылеуловитель ГДП-М (рис. 15) производительностью по очищаемому воздуху от 3000 до 40000 м3/ч. Принцип работы аппарата основан на барботаже запыленного воздуха (газа) через слой пены, образующейся на газораспределительной решетке. Решетка при этом погружена в пылесмачивающую жидкость. Запыленный газ поступает в подрешеточное пространство и, вытеснив на решетку часть воды, образует на ней слой высокотурбулентной пены. Пройдя через отверстия, газ очищается от пыли в момент контакта с пылесмачивающей жидкостью. Очищенный газовый поток поступает в центробежный каплеотделитель, а затем выбрасывается в атмосферу. Пылеуловитель имеет следующие характеристики:
Производительность, м3/ч Удельная нагрузка по газу, м3/(м2ч) Гидравлическое сопротивление. Па Температура очищаемых газов, °С Расход воды на очистку 1000 м3 газа, л Установочный объем, м3 Масса, кг | 3000-40000 6500 1400-1900 до 300 15-50 2,5 120 |
Аппарат ГДП-М максимальной эффективностью обладает на второй ступени очистки (после циклонов) газов от мелкодисперсной пыли.

Рис. 15. Гидродинамический пылеуловитель ГДП-М:
1 - входной патрубок; 2 — газораспределительная решетка; 3 — корпус; 4 -каплеотделитель; 5 — выходной патрубок; 6 — регулятор подачи воды; 7 — разгрузочное устройство.

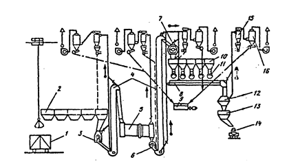
Рис. 16 . Схема очистки технологических выбросов:
1 - железнодорожный вагон; 2 — приемный бункер; 3 — щековая дробилка; 4 — элеватор;
5 - сушильный барабан; б — дробилка; 7 — ситобурат; 8 — ленточный конвейер; 9 — отстойник;
10 - бункер сырья; 11 — весы: 12 — смеситель шихты; 13 — бункер шихты; 14 — дю бель; 75 — циклон ЦН-15; 76- пылеуловитель ГДП-М .
На рис. 16 показан один из вариантов принципиальной схемы комплексной очистки технологических выбросов составных цехов (дозировочно-смесительных отделений). Уловленная циклоном пыль возвращается в расходный бункер соответствующего сырьевого материала. Шлам, образующийся при работе мокрого пылеуловителя, отстаивается и высушивается, после чего может использоваться как добавка к шихте после соответствующей корректировки ее состава. Осветленная вода из отстойника возвращается для повторного использования в пылеуловитель.
Показатели, характеризующие эффективность схемы очистки (содержание пыли в очищаемых газах снижается до нормируемых пределов), приведены в табл. 5.
Таблица 5. Эффективность комбинированной схемы очистки
| Материал | Технологический процесс | Количество очищаемого воздуха, м3 /ч | Запыленность г/м3 | Степень очистки, % | |||
| на входе | после циклонов ЦН-15 | на выходе | циклоном ЦН-15 | пылеуловителем ГДП-М | |||
| Песок | Сушка | 7000 | 30 | 6,5 | 0,036 | 78,3 | 99,38 |
| Просеивание | 2900 | 21,4 | 5,1 | 0,016 | 76,1 | 99,68 | |
| Дробление и сушка | 11200 | 18,3 | 5,8 | 0,042 | 68,3 | 99,2 | |
| Доломит | Просеивание | 3600 | 21,9 | 4,8 | 0,018 | 78 | 99,6 |
| Мел | Сушка | 29530 | 14,9 | 3,9 | 0,066 | 73,8 | 98,3 |
| Карбонат натрия | Пневмотранспортирование | 1900 | 5,6 | 2,5 | 0,023 | 55,4 | 99,08 |
| Содосульфатная смесь | Сушка | 4000 | 21,8 | 6,1 | 0,023 | 71,9 | 99,62 |
| Просеивание | 2800 | 22,8 | 4,3 | 0,014 | 81 | 99,67 | |
Сырьевые компо ненты | Транспортирование и смешивание | 2500 | 30 | 3,6 | 0,012 | 88 | 99,66 |
Литература
1. Калыгин В.Г., Попов Ю.П. Порошковые технологии: экологическая безопасность и ресурсосбережение. М.: Изд-во МГАХМ, 1996. 212 с.
2. Бондарева Т.И. Экология химических производств. М.: Изд-во МИХМ, 1986.92 с.
3. Оборудование, сооружения, основы проектирования химико-технологических процессов защиты биосферы от промышленных выбросов/АИ. Родионов, Ю.П. Кузнецов, В.В. Зенков, Г.С. Соловьев. М.: Химия, 1985. 352 с.
4. Газоочистные аппараты сухого и мокрого типов. Каталог. М.: ЦИНТИХИМНЕФ-ТЕМАШ,1984.92с.
5. Руководящие указания по проектированию, изготовлению, монтажу и эксплуатации циклонов НИИОГАЗ. Ярославль, 1971.
6. Степанов Г.Ю. Зицер И.М. Инерционные воздухоочистители. М.: Машиностроение, 1986. 184с.
7. Алиев Г.М.-А. Техника пылеулавливания и очистки промышленных газов. М.:
8. Металлургия, 1986. 544 с.
9. Охрана окружающей среды/C.D. Белоd, Ф.А. Барбинов, А.Ф. Козьяков и др. М.:
10. Высшая школа, 1991. 319 с.
11. Страус В. Промышленная очистка газов. М.: Химия, 1981. 616 с.
12. Ужов В.Н., Вальдберг А.Ю., Мягков Б.И. и др. Очистка промышленных газов от пыли. М.: Химия, 1981. 392 с.