Реферат: Взаимоотношение различных элементов экосистемы
Министерство образования и науки Российской Федерации
Калмыцкий Государственный Университет
Институт Экономики и Права
Кафедра Зоологии
КОНТРОЛЬНАЯ РАБОТА
по дисциплине: Экология
на темы:
Общие экологические законы, принципы и правила экологии
Общие принципы рационального природопользования
Планирование и прогнозирование использования
природных ресурсов
Выполнил: студент 4 курса,
з/о спец. «Экономика и
управление на предприятии»
Барлыков Б.Б.
Элиста 2007г.
Содержание
Введение
1. Общие экологические законы, принципы и правила экологии
2. Общие принципы рационального природопользования
3. Планирование и прогнозирование использования природных ресурсов
Список использованной литературы
Введение
Как и всякая отрасль науки экология имеет свои законы, которые характеризуют взаимоотношение, различных элементов экосистемы и, в конечном итоге, все процессы в биосфере. К сожалению, по сей день не стало доминирующим и безусловным положение о том, что всё в Природе подчиняется единым законам. Поэтому ряд даже крупных учёных и специалистов противопоставляют законы экологии и законы других отраслей науки (физики, экономической науки и т.д.). Но ведь из такого постулата следует вывод: или данный закон действует вне законов Природы, а значит, и вне Природы, или Природа существует без этих выводов, громко названных законом. И вновь приходится возвращаться к важнейшему базису науки: самый гениальный учёный ничего не придумывает сам, но силой своего гения открывает для всех и обобщает то, что есть в Природе. С другой стороны, недопустимо смешивать всё в одну кучу. Необходимо понять и признать, что Природа и Жизнь чрезвычайно разнообразны и включают в себя отдельные направления знаний, каждое из которых есть часть единого и описывает законы тех или иных явлений и процессов, но не оторванных и изолированных от целого — Природы, а принадлежит ей.
1. Общие экологические законы, принципы и правила экологии
Закон сохранения вещества (массы) и Закон сохранения энергии:
На основе первого из них мы должны сделать принципиальный вывод: любые физические, химические или иные изменения не приводят к исчезновению вещества или получению его из ничего. Любая преобразовательная деятельность человека не в состоянии ни создать, ни уничтожить ни единого атома вещества, а лишь позволяет перевести из одного состояния в другое, но ничто не исчезает бесследно. С точки зрения природопользования необходимо усвоить, что любой процесс будет создавать отходы, которые также являются частью преобразовательного природного вещества.
Второй из этих законов устанавливает, что любые превращения энергии не позволяют получить её больше, чем было затрачено изначально, то есть любой материальный объект на Земле при любых физических, химических или иных изменениях может лишь превратить энергию из одного вида в другой, но не добиваться её возникновения или исчезновения.
Закон сохранения энергии формулируется также как первый закон (начало, принцип) термодинамики:
Необходимо совершенно чётко представлять, что закон сохранения энергии имеет всеобщей характер и распространяется на все процессы на Земле, включая общественные и иные отношения человечества. Так, он безусловно действует в экономике; закон стоимости, например, является его прямым следствием. Энергетическое выражение любого количества всегда достовернее и справедливее, чем иное, тем более относительное – денежное, например.
Второй закон (начало, принцип) термодинамики :
Который определяет, что при любом энергетическом процессе, текущем самопроизвольно, происходит переход энергии из концентрированной формы в рассеянную, то есть всегда есть потери энергии ( в виде недоступного для использования тепла), а стопроцентный переход из одного вида энергии в другой невозможен. Характерно действие этого закона при переходе из одной формы в другую в живых системах: солнечная энергия химическая при фотосинтезе и далее в пище консументов превращение в движение мышц, работу мозга и другие проявления жизни – сопровождается на каждом этапе и в конечном итоге деградацией высококачественной энергии, лишь небольшая часть которой переходит с одного уровня на другой, основная часть превращается в низкокачественное тепло и рассеивается в окружающей среде. В открытых системах энтропия, то есть мера неупорядоченности системы, в определённом смысле – свойство энергии переходить не в полезную работу, а в тепло и рассеиваться в пространстве, может, как увеличиваться, так и снижаться, до определённой минимальной величины, но всегда большей нуля. Для экологических биолого-эволюционных, а также общественных процессов важное значение имеет принцип (закон) диссинации (рассеивания) Л. Онсагера, или принцип экономии энергии (экономии энтропии), который определяет, что при возможности развития процесса в некотором множестве направлении (каждое из которых допускается началами термодинамики) будет реализовано то, которое обеспечивает минимум диссинации энергии (то есть минимум роста энтропии).
Закон биогенной миграции атомов (или закон Вернадского):
Миграция химических элементов на земной поверхности и в биосфере в целом осуществляется под превосходящим влиянием живого вещества, организмов. Так происходило и в геологическом прошлом, миллионы лет назад, так происходит и в современных условиях. Живое вещество или принимает участие в биохимических процессах непосредственно, или создает соответствующую, обогащенную кислородом, углекислым газом, водородом, азотом, фосфором и другими веществами, среду. Этот закон имеет важное практическое и теоретическое значение. Понимание всех химических процессов, которые происходят в геосферах, невозможно без учета действия биогенных факторов, в частности — эволюционных. В наше время люди влияют на состояние биосферы, изменяя ее физический и химический состав, условия сбалансированной веками биогенной миграции атомов. В будущем это послужит причиной очень отрицательных изменений, которые приобретают способность саморозвиваться и становятся глобальными, неуправляемыми (опустынивание, деградация грунта, вымирание тысяч видов организмов). С помощью этого закона можно сознательно и активно предотвращать развитие таких отрицательных явлений, руководить биогеохимическими процессами, используя «мягкие» экологические методы.
Закон внутреннего динамического равновесия:
Н. Ф. Реймерс описал этот закон; устанавливающий, что энергия, вещество, информация и динамическое качество отдельных природных систем, включая экосистемы и биосферу в целом и их иерархии, взаимосвязаны и любое изменение одного из этих показателей вызывает сопутствующие функционально структурные количественные и качественные перемены всех других показателей, сохраняя общую сумму качеств систем.
Вещество, энергия, информация и динамические качества отдельных естественных систем и их иерархии очень тесно связанные между собою, так что любое изменение одного из показателей неминуемое приводит к функционально-структурным изменениям других, но при этом сохраняются общие качества системы — энергетические, информационные и динамические. Следствия действия этого закона обнаруживаются в том, что после любых изменений элементов естественной среды (вещественного состава, энергии, информации, скорости естественных процессов и т.п.) обязательно развиваются цепные реакции, которые стараются нейтрализовать эти изменения. Следует отметить, что незначительное изменение одного показателя может послужить причиной сильных отклонений в других и в всей экосистеме.
Изменения в больших экосистемах могут иметь необратимый характер, а любые локальные преобразования природы вызовут в биосфере планеты (то есть в глобальном масштабе) и в ее наибольших подразделах реакции ответа, которые предопределяют относительную неизменность эколого-экономического потенциала. Искусственное возрастание эколого-экономического потенциала ограниченное термодинамической стойкостью естественных систем.
Закон внутреннего динамического равновесия :
— один из главнейших в природопользовании. Он помогает понять, что в случае незначительных вмешательств в естественную среду ее экосистемы способны саморегулироваться и восстанавливаться, но если эти вмешательства превышают определенные границы (которые человеку следует хорошо знать) и уже не могут «угаснуть» в цепи иерархии экосистем (охватывают целые речные системы, ландшафты), они приводят к значительным нарушениям энерго- и биобаланса на значительных территориях и в всей биосфере.
Закон генетического разнообразия :
Все живое генетическое разное и имеет тенденцию к увеличению биологической разнородности.
Закон имеет важное значение в природопользовании, в особенности в сфере биотехнологии (генная инженерия, биопрепараты), если не всегда можно предусмотреть результат нововведений во время выращивания новых микрокультур через возникающие мутации или распространение действия новых биопрепаратов не на те виды организмов, на которые они рассчитывались.
Закон исторической необратимости: развитие биосферы и человечества как целого не может происходить от более поздний фаз к начальным, общий процесс развития однонаправленный. Повторяются лишь отдельные элементы социальных отношений (рабство) или типы хозяйничанья.
Закон константности (сформулированный В. Вернадским):
Количество живого вещества биосферы (за определенное геологическое время) есть величина постоянная. Этот закон тесно связан с законом внутреннего динамического равновесия. По закону константности любое изменение количества живого вещества в одном из регионов биосферы неминуемое приводит к такой же по объему изменения вещества в другом регионе, только с обратным знаком.
Следствием этого закона есть правило обязательного заполнения экологических ниш.
Закон корреляции (сформулированный Ж. Кювье): в организме как целостной системе все его части отвечают одна другой как за строением, так и за функциями. Изменение одной части неминуемо вызовет изменения в других.
Закон максимизации энергии (сформулированный Г. и Ю. Одумами и дополненный М. Рэймерсом):
В конкуренции с другими системами сохраняется та из них, которая наибольшее оказывает содействие поступлению энергии и информации и использует максимальную их количество наиэффективнее. Для этого такая система, большей частью, образовывает накопители (хранилища) высококачественной энергии, часть которой тратит на обеспечение поступления новой энергии, обеспечивает нормальный кругооборот веществ и создает механизмы регулирования, поддержки, стойкости системы, ее способности приспосабливаться к изменениям, налаживает обмен с другими системами. Максимизация — это повышение шансов на выживание.
Закон максимума биогенной энергии (закон В.И. Вернадского— Э.С. Бауэра):
Любая биологическая и «бионесовершенная» система с биотой, которая находится в состоянии «стойкого неравновесия» (динамично подвижного равновесия с окружающей средой), увеличивает, развиваясь, свое влияние на среду.
В процессе эволюции видов, твердит Вернадский, выживают те, которые увеличивают биогенную геохимическую энергию. По мнению Бауера, живые системы никогда не находятся в состоянии равновесия и выполняют за счет своей свободной энергии полезную работу против равновесия, которого требуют законы физики и хими за существующих внешних условий.
Вместе с другими фундаментальными положениями закон максимума биогенной энергии служит основой разработки стратегии природопользования.
Закон минимума (сформулированный Ю. Либихом):
Стойкость организма определяется самым слабым звеном в цепи ее экологических потребностей. Если количество и качество экологических факторов близкие к необходимому организму минимума, он выживает, если меньшие за этот минимум, организм гибнет, экосистема разрушается.
Поэтому во время прогнозирования экологических условий или выполнение экспертиз очень важно определить слабое звено в жизни организмов.
Закон ограниченности естественных ресурсов:
Все естественные ресурсы в условиях Земли исчерпаемые. Планета есть естественно ограниченным телом, и на ней не могут существовать бесконечные составные части.
Закон однонаправленности потока энергии:
Энергия, которую получает экосистема и которая усваивается продуцентами, рассеивается или вместе с их биомассой необратимо передается консументам первого, второго, третьего и других порядков, а потом редуцентам, что сопровождается потерей определенного количества энергии на каждом трофическом уровне в результате процессов, которые сопровождают дыхание. Поскольку в обратный поток (от редуцентов к продуцентам) попадает очень мало начальной энергии (не большее 0,25%), термин «кругооборот энергии» есть довольно условным
Закон оптимальности:
Никакая система не может суживаться или расширяться к бесконечности. Никакой целостный организм не может превысить определенные критические размеры, которые обеспечивают поддержку его энергетики. Эти размеры зависят от условий питания и факторов существования.
В природопользовании закон оптимальности помогает найти оптимальные с точки зрения производительности размеры для участков полей, выращиваемых животных, растений. Игнорирование закона — создание огромных площадей монокультур, выравнивание ландшафта массовыми застройками и т.п. — привело к неприродной однообразности на больших территориях и вызвало нарушение в функционировании экосистем, экологические кризы.
Закон пирамиды энергий (сформулированный Р. Линдеманом):
С одного трофического уровня экологической пирамиды на другого переходит в среднем не более 10 % энергии.
По этому закону можно выполнять расчеты земельных площадей, лесных угодий с целью обеспечения население продовольствием и другими ресурсами.
Закон равнозначности условий жизни:
Все естественные условия среды, необходимые для жизни, играют равнозначные роли. Из него вытекает другой закон-совокупного действия экологических факторов. Этот закон часто игнорируется, хотя имеет большое значение.
Закон развития окружающей среды:
Любая естественная система развивается лишь за счет использования материально-энергетических и информационных возможностей окружающей среды. Абсолютно изолированное саморазвитие невозможно — это вывод из законов термодинамики.
Очень важными являются следствия закона.
1. Абсолютно безотходное производство невозможное.
2. Любая более высокоорганизованная биотическая система в своем развитии есть потенциальной угрозой для менее организованных систем. Поэтому в биосфере Земли невозможно повторное зарождение жизни — оно будет уничтожено уже существующими организмами
3. Биосфера Земли, как система, развивается за счет внутренних и космических ресурсов.
Закон уменьшения энергоотдачи в природопользовании: в процессе получения из естественных систем полезной продукции с течением времени (в историческом аспекте) на ее изготовление в среднем расходуется все больше энергии (возрастают энергетические затраты на одного человека). Так, ныне затраты энергии на одного человека за сутки почти в 60 раз большие, чем во времена наших далеких предков (несколько тысяч лет тому). Увеличение энергетических затрат не может происходить бесконечно, его можно и следует рассчитывать, планируя свои отношения с природой с целью их гармонизации.
Закон совокупного действия естественных факторов (закон Митчерлиха — Тинемана — Бауле):
Объем урожая зависит не от отдельного, пусть даже лимитирующего фактора, а от всей совокупности экологических факторов одновременно. Частицу каждого фактора в совокупном действии ныне можно подсчитать. Закон имеет силу при определенных условиях — если влияние монотонное и максимально обнаруживается каждый фактор при неизменности других в той совокупности, которая рассматривается.
Закон толерантности (закон Шелфорда):
Лимитирующим фактором процветания организма может быть как минимум, так и максимум экологического влияния, диапазон между которыми определяет степень выносливости (толерантности) организма к данному фактору. Соответственно закону любой излишек вещества или энергии в экосистеме становится его врагом, загрязнителем.
Закон грунтоистощения (уменьшение плодородия):
Постепенное снижение естественного плодородия почв происходит из-за продолжительного их использования и нарушения естественных процессов почвообразования, а также вследствие продолжительного выращивания монокультур (в результате накопления токсичных веществ, которые выделяются растениями, остатков пестицидов и минеральных удобрений).
Закон физико-химического единства живого вещества (сформулированный В. Вернадским):
Все живое вещество Земли имеет единую физико-химическую природу. Из этого явствует, что вредное для одной части живого вещества вредит и другой его части, только, конечно, разной мерой. Разность состоит лишь в стойкости видов к действию того ли другого агента. Кроме того, через наличие в любой популяции более или менее стойких к физико-химическому влиянию видов скорость отбора за выносливостью популяций к вредному агенту прямо пропорциональная скорости размножения организмов и дежурство поколений. Через это продолжительное употребление пестицидов экологически недопустимое, так как вредители, которые размножаются значительно более быстро, более быстро приспосабливаются и выживают, а объемы химических загрязнений приходится все более увеличивать.
Закон экологической корреляции:
В экосистеме, как и в любой другой системе, все виды живого вещества и абиотические экологические компоненты функционально отвечают один другому. Выпадание одной части системы (вида) неминуемо приводит к выключению связанных с ею других частей экосистемы и функциональных изменений.
Научной общественности широко известны также четыре закона экологии американского ученого Б. Коммонера:
1) все связанное со всем;
2) все должно куда-то деваться;
3) природа «знает» лучше;
4) ничто не приходится напрасно (за все надо платить).
Как отмечает М. Реймерс, первый закон Б. Коммонера близкий по смыслу к закону внутреннего динамического равновесия, второй — к этому же закону и закону развития естественной системы за счет окружающей среды, третий — предостерегает нас от самоуверенности, четвертый — снова затрагивает проблемы, которые обобщают закон внутреннего динамического равновесия, законы константности и развития естественной системы. По четвертому закону Б. Коммонера мы должны возвращать природе то, что берем у нее, иначе катастрофа с течением времени неминуемая.
Следует вспомнить также важные экологические законы, сформулированные в работах известного американского эколога Д. Чираса в 1991—1993 гг. Он подчеркивает, что Природа существует вечно (с точки зрения человека) и сопротивляется деградации благодаря действию четырех экологических законов: 1) рецикличности или повторного многоразового использования важнейших веществ; 2) постоянного восстановления ресурсов; 3) консервативного потребления (если живые существа потребляют лишь то (и в таком количестве), что им необходимо, не больше и не меньше); 4) популяционного контроля (природа не допускает «взрывного» роста популяций, регулируя количественный состав того ли другого вида путем создания соответствующих условий для его существования и размножения). Важнейшей задачей экологии Д. Чирас считает изучение структуры и функций экосистем, их уравновешенности, или неуравновешенности, то есть причин стабильности и разбалансирования экосистем.
Таким образом, круг задач современной экологии очень широкий и охватывает практически все вопросы, которые затрагивают взаимоотношения человеческого общества и естественной среды, а также проблемы гармонизации этих отношений. Из сугубо биологической науки, которой была экология всего каких-то 30 — 40 лет тому, сегодня она стала многогранной комплексной наукой, главной целью которой есть разработка научных основ спасения человечества и среды его существование — биосферы планеты, рационального природопользования и охраны природы. Ныне экологическим воспитанием охватываются все слои населения на планете. Познание законов гармонизации, красоты и рациональность природы поможет человечеству найти верные пути выхода из экологического кризиса. Изменяя и в дальнейшем естественные условия (общество не может жить иначе), люди будут вынуждены делать это обдуманно, взвешенно, предусматривая далекую перспективу и опираясь на знание основных экологических законов.
2. Общие принципы рационального природопользования
Планирование и прогнозирование использования природных ресурсов
Управление природопользованием предполагает рациональное расходование природных ресурсов и основано на планировании и прогнозировании их потребления.
В природопользовании можно рассматривать два уровня управления:
— управление природными системами;
— управление природопользователями (управление охраной окружающей природной среды и рационализацией использования природных ресурсов).
Управление природными системами может быть “жестким” и “мягким”, а управление природопользователями — командно-административным и экономическим.
Примерами “жесткого” управления может служить сплошная вырубка лесов или освоение целинных земель без соблюдения правильной агротехники, “мягкого” — выборочная вырубка и использование научно обоснованных агроприемов, способствующих самовосстановлению лесных богатств и плодородия почвы. “Жесткое” управление дает быстрый и высокий хозяйственный эффект в виде роста объема продукции или снижения затрат на ее производство. Этот эффект кратковременен, так как в результате “жесткого” управления происходят резкие необратимые изменения в природной среде, снижение ее продуктивности и загрязнение, приводит к экологическим, экономическим и социальным ущербам.
Эти уровни управления взаимосвязаны между собой. Первый уровень управления основывается на изучении и использовании естественных законов, в частности, экологических и осуществляется через второй уровень, опирающийся на юридические и экономические законы.
Природные ресурсы и ресурсный цикл
Природные ресурсы — это совокупность естественных тел и явлений природы, которые использует человек в своей деятельности, направленной на поддержание своего существования.
Одним из признаков, по которым классифицируются природные ресурсы, являются их исчерпаемость и возобновимость (рис.1).
Неисчерпаемые ресурсы — это преимущественно внешние по отношению к Земле процессы и явления, такие как солнечная энергия и ее производные: ветровая энергия, энергия движущейся воды, энергия земных недр. В этой классификации вода и воздух относятся как к неисчерпаемым, так и к исчерпаемым ресурсам, (рис. 9.) В количественном отношении эти элементы окружающей среды практически неизменны, а следовательно, и неисчерпаемы. Но для культурно-бытовых, хозяйственных и промышленных нужд требуются воздух и вода определенного качества, которые ухудшаются в результате деятельности человека. Для поддержания качества воды используются сложные технологии водоочистки и водоподготовки.

Рис.1
Для сохранения чистоты воздуха используется техника пыле- газоочистки, а также комплекс санитарно-гигиенических и архитектурно-планировочных мероприятий. Таким образом, сделать неисчерпаемыми эти природные ресурсы в силах человека.
Исчерпаемые ресурсы делятся на:
— возобновимые, способные к самовоспроизводству: растительный и животный мир, мир микроорганизмов;
— невозобновимые, образовавшиеся в недрах Земли в весьма отдаленные от нас периоды в течение многих миллионов лет: рудные и нерудные полезные ископаемые;
— относительно возобновимые, способные к воспроизводству в темпах, отстающих от темпов потребления. Например, процесс образования черноземного слоя почвы толщиной 1 см длится столетия, а разрушается гораздо быстрее. Для возобновления запасов древесины также требуется не одно десятилетие.
Для получения энергии, создания необходимой продукции человек находит, добывает и перемещает к местам переработки необходимые природные ресурсы, вовлекая их в ресурсный цикл. Ресурсный цикл — это совокупность превращений и пространственных перемещений определенного вещества или группы веществ, происходящих на всех этапах использования его человеком. В природопользовании можно выделить несколько ресурсных циклов, которые, несмотря на относительную самостоятельность, тесно связаны друг с другом. К таким ресурсным циклам относятся: цикл почвенно-климатических ресурсов и сельскохозяйственного сырья, цикл сырьевых ресурсов, цикл энергетических ресурсов, цикл ресурсов живой природы.
Цикл сырьевых ресурсов тесно связан с производством энергии, т. е. с циклом энергетических ресурсов.
Слово “цикл” подразумевает замкнутость процесса. В природе все вещества находятся в замкнутых биохимических циклах. Наличие таких циклов не позволяет веществам переходить в иное состояние, исключающее их дальнейшие превращения.
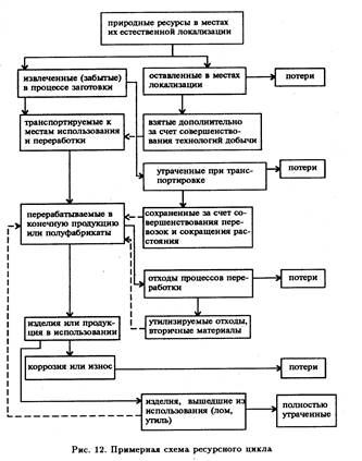
Незамкнутость ресурсного цикла
Ресурсный цикл, иногда называемый антропогенным круговоротом вещества, фактически не замкнут, что видно из рис. 2. На каждом его этапе неизбежны потери, являющиеся следствием особенностей технологий, либо каких-нибудь объективных или субъективных причин.
Считается, что на всех этапах ресурсного цикла в окружающей среде рассеивается около 98% добываемого минерального сырья.
Предметы массового потребления в результате износа, коррозии или утраты в них надобности так или иначе оказываются в окружающей среде, загрязняя ее. Многие отходы преобразуются в воде, почве и атмосфере, превращаясь в еще более опасные для здоровья человека вещества, которые представляют собой вторичные загрязнения.
Особый случай представляют собой культурные экосистемы, т. е. обрабатываемые сельскохозяйственные земли, не способные к самовосстановлению из-за истощения почвы вследствие сбора урожая, в котором сконцентрировано органическое и минеральное вещество. В результате организмы-деструкторы или почвообразователи не получают материала для разложения и минерализации и обеспечения собственных потребностей в веществе и энергии. Поэтому человек вынужден полностью брать на себя восстановление плодородия, затрачивая для этого специально произведенные им вещества, например, удобрения и энергию.
Так, в процессе сбора урожая сельскохозяйственных культур из почвы ежегодно выносится 5-7 млн. тонн азота, 3-5 млн. тонн фосфора, до 10 млн. тонн калия. Вынесенные элементы возмещаются со значительным дефицитом за счет внесения сотен миллионов тонн навоза, тысяч тонн минеральных удобрений, а также биологической фиксацией азота клубеньковыми бактериями бобовых растений.

Рис.2.
Таким образом, человек как бы замыкает значительную долю естественного круговорота, в рамках которого осуществляется ресурсный цикл. Количества вещества, вовлекаемого в антропогенный круговорот, уже соизмеримы с количествами вещества в естественных биохимических циклах.
По мере прохождения через ресурсный цикл вещества, ранее сконцентрированные в том или ином месте локализации, рассеиваются. Рассеиваются не исходные, а трансформированные или утраченные в процессе ресурсного цикла вещества, которые загрязняют природную среду. Таким образом, главной объективной причиной загрязнения среды является незамкнутость ресурсного цикла.
К загрязняющим веществам окружающей среды относятся не только токсичные и вредные отходы производств, но и практически безвредные вещества, образующиеся в качестве попутных продуктов, таких как: массы навоза в сельском хозяйстве, углекислый газ, утонувшая древесина. Борьба с подобными загрязнениями среды является также актуальной.
Важным моментом в деле рационального природопользования является планирование и прогнозирование использования природных ресурсов. Это особенно касается использования таких возобновимых и относительно возобновимых ресурсов, как животный и растительный мир, а также плодородие почв. Планирование использования земельных ресурсов предусматривает разработку и реализацию рациональных севооборотов, планирование использования лесных ресурсов, составление планов вырубки с учётом восстановления лесных массивов. При планировании следует учитывать всё возрастающие темпы использования природных ресурсов и производить перспективный расчёт их потребления на базе математических методов прогнозирования. При этом для реализации сложного комплекса природоохранных работ разрабатывается оперативный план. Теоретической базой такой разработки могут быть сетевые методы управления. К ним относятся: методы сетевого планирования, методы математического программирования, экспертные методы прогнозирования, методы математико-статистического прогнозирования.
3. Рациональное и комплексное использование полезных ископаемых и энергетических ресурсов
Состояние ипользования природных ресурсов
Бурное развитие научно-технического прогресса сопровождается интенсивным использованием невозобновимых ресурсов, к которым относятся большинство полезных ископаемых:
— топливно-энергетические — нефть, газ, уголь, горючие сланцы, торф, урановые руды;
— рудные ресурсы — железная и марганцевая руда, бокситы, хромиты, медные, свинцово-цинковые, никелевые, вольфрамовые, молибденовые, оловянные руды, руды благородных металлов;
— природные строительные материалы и нерудные полезные ископаемые — известняк, доломит, глины, песок, мрамор, гранит, яшма, агат, алмазы;
— горно-химическое сырьё — апатиты, фосфориты, поваренная, калийная соль, сера, барит, бром и йодосодержащие растворы;
— гидроминеральные ресурсы — подземные пресные и минерализованные воды;
— минеральные ресурсы, расположенные в недрах под морями и океанами.
По оценкам некоторых авторов разведанных запасов нефти в России хватит на 35 лет. Разведка и освоение новых месторождений практически прекращена.
С 1992 г. прирост разведанных запасов полезных ископаемых не покрывает их добычи. Ресурсонасыщенность России, измеряемая количеством потребляемых ресурсов на душу населения, в 1,5-3 раза ниже, чем в других промышленных странах. Ожидается, что к 2000 г. будет исчерпана сырьевая база на 40% добывающих предприятий, и Россия из экспортёра минерального сырья может превратиться в его импортёра.
Аналогичное положение складывается и в ряде других стран, а во многих странах и вообще отсутствуют наиболее необходимые для жизнедеятельности полезные ископаемые. Первоочередными задачами становятся: охрана и рациональное использование природных ресурсов, широкое вовлечение в ресурсный цикл возобновляемых источников энергии (энергии воды, ветра и солнечной энергии), комплексное использование природных ресурсов.
Основные положения рационального природопользования
Совершенствование ресурсных циклов базируется на ряде общих принципов, на основе которых строится природопользование в любой отрасли производства.
К ним относится принцип системного подхода который предусматривает комплексную всестороннюю оценку воздействия производства на среду и её ответных реакций.
С позиции системного подхода ни один природный ресурс не может использоваться или охраняться независимо друг от друга. Так например, повышение плодородия почв за счёт орошения с помощью оросительных систем может привести к истощению водных ресурсов, которое необходимо предвидеть и предупредить.
Сбросы отходов в реку должны оцениваться не только по воздействию их на рыбу, но и на биохимию данного водного объекта и на всю систему водообеспечения района, где протекает эта река, включая тот водоём или водоток, куда эта река впадает.
Принцип оптимизации природопользования заключается в принятии наиболее целесообразных решений в использовании природных ресурсов и природных систем на основе одновременного экологического и экономического подхода, прогноза развития различных отраслей и географических регионов. В соответствии с этим принципом целесообразным является перемещение некоторых лесоперерабатывающих предприятий в восточные районы страны, ближе к запасам сырья, что снижает нагрузку на истощённые запасы древесины в европейской части РФ. Открытые карьерные способы разработки полезных ископаемых имеют ряд преимуществ перед шахтной добычей по степени максимального использования сырья, но приводят к утрате плодородных почв. Оптимальным при этом является сочетание открытых разработок с рекультивацией земель и восстановлением их плодородия.
Принцип опережения темпов заготовки и добычи сырья темпами выхода полезной продукции основан на снижении количества образующихся отходов в процессе производства, т. е. на более полном использовании одного и того же количества исходного сырья. Он предполагает прирост продукции не за счёт вовлечения в использование новых масс природных ресурсов, а за счёт более полного их использования путём ресурсосбережения и совершенствования технологических процессов.
Принцип гармонизации отношений природы и производства решается на создании и эксплуатации природно-технических, геотехнических или эколого-экономических систем, представляющих собой совокупность какого-либо производства и взаимодействующих с ним элементов природной среды, и обеспечивающих, с одной стороны, высокие производственные показатели, а с другой — поддержание в зоне своего влияния благоприятной экологической обстановки, максимально возможное сохранение и воспроизводство естественных ресурсов. В таких системах предусматривается прогнозирование нежелательных и опасных ситуаций, а также реализация мер по их предотвращению. Система имеет службу управления, задачей которой является своевременное выявление возможных вредных воздействий и внесение необходимых коррективов в тот или иной компонент системы (производство или окружающую среду). Если обнаружено ухудшение состояния окружающей предприятие природной среды, служба управления принимает решение о необходимости остановить производственный процесс, уменьшив при этом объёмы выбросов и сбросов.
Своевременное и точное обнаружение опасных ситуаций достигается непрерывным сбором информации о состоянии окружающей среды с помощью наблюдений за ее изменениями, вызванными антропогенными причинами, что позволяет прогнозировать их развитие. Такие системы носят название мониторинга (от греческого “монитор” — вперёдсмотрящий). Самые простые функции этих систем заключаются в контроле загрязнения воздуха, воды, почвы, в наблюдениях за состоянием живых организмов, а непосредственно на предприятии — в контроле стоков и пылегазовых выбросов. Получаемая информация анализируется руководством предприятия, принимающим необходимые технические решения.
Принцип комплексного использования природных ресурсов и концентрации производства заключается в том, что на базе имеющихся в данном экономическом районе сырьевых и энергетических ресурсов создаются территориально-производственные комплексы, которые позволяют более полно использовать указанные ресурсы и тем самым снизить вредную нагрузку на окружающую среду. Такие территориально-производственные комплексы имеют специализацию, сконцентрированы на определённой территории, обладают единой производственной и социальной инфраструктурой (коммуникациями, потоками вещества и энергии, системой здравоохранения, сферой культуры) и совместными усилиями обеспечивают охрану окружающей среды. Примером может служить Канско-Ачинский теплоэнергетический комплекс (КАТЭК), базирующийся на крупных залежах углей. Такие территориально-производственные комплексы создают предпосылки для развития комплексных энерго- и ресурсосберегающих производств, для максимально возможной утилизации отходов и использования вторичных продуктов. Естественно, комплексы также оказывают вредное влияние на окружающую среду, но за счёт комплексного использования её ресурсов на основе концентрации производства, оптимизации природопользования, а также гармонизации взаимодействия техники с окружающей средой это воздействие существенно снижается. При этом увеличиваются вложения в компенсационные мероприятия с целью обеспечения качества окружающей среды и снижения ущерба, наносимого природе.
Список использованной литературы
1. Резчиков Е.А. Экология: Учебное пособие. 2-е изд. испр. и доп. – М.:
МГИУ, 2000 – 96с.
2. Библиотека интернета: /nauch.htm
3. Сайт Экологии: www.anriintern.com/ecology/spisok.htm
4. Электронный журнал «Экология и жизнь».: www.ecolife.ru/index.shtml
5. «Биосфера. Экология. Охрана природы»: справочное пособие
Под редакцией акад. К.М. СЫТНИКА \\ Киев, Наукова Думка, 1987
6. «Окружающая среда и человек»
Д.П. Никитин, Ю.В. Новиков \\ М., Высшая Школа, 1980
7. «Экология, природопользование, охрана окружающей среды»
Т.А. Дёмина \\ М., Аспект Пресс, 1996
8. «Экологический словарь»
Б.А. Быков \\ Алм а-Ата, Наука, 1988
9. «Природа и мы»
М.Я. Лемешев \\ М., Советская Россия, 1989
10. Экологическое право: Учебное пособие / С.А. Балашенко, Д.М. Демичев. — 2-е изд. — Мн.: Ураджай, 2000.
11. Экология для технических вузов / В.М. Гарин, И.А. Кленова, В.И. Колесников. — Ростов н/Д.: Феникс, 2001.
12. Экономические основы экологии: учебное пособие / В. В. Глухов, Т.П. Некрасова. — 3-е изд. — СПб.: Питер, 2003.
13. Экологическая безопасность. Защита территории и населения при чрезвычайных ситуациях: Учебное пособие / А.С. Гринин, В.Н. Новиков. — М.: ФАИР-ПРЕСС, 2000.
14. Основы экологии: учебное пособие / В.Н. Киселев. — 2-е изд., перераб. и доп. — Мн.: Універсітэцкае, 2000.
15. Экология: конспект лекций / В.И. Коробкин, Л.В. Передельский. — Ростов н/Д.: Феникс, 2004.
16. Основы общей экологии: учебное пособие / В.В. Маврищев. — Мн.: Вышэйшая школа, 2000.
17. Курс инженерной экологии: учебник для вузов / И.И. Мазур, О.И. Молдаванов. — М.: Высшая школа, 1999.
18. Основы экологии: Учебное пособие / В.К. Карпук, Е.Н. Мешечко; под ред. Е.Н. Мешечко. — Мн.: Экоперспектива, 2002.
19. Основы экологии и рационального природопользования / А.Ф. Савенок, Е.И. Савенок. — Мн.: Сэр-Вит, 2004.
20. Экология: Учебное пособие / О.В. Чистик. — Мн.: Новое знание, 2000.
21. Основы экологии и экономика природопользования: учебник для студ. экономич. спец. вузов / О.С. Шимова, Н.К. Соколовский. — 2-е изд., перераб. и доп. — Мн.: БГЭУ, 2002.