Реферат: Компьютерное моделирование в экологии
Городской методический центр информационных технологий
г. Мурманска
Компьютерное моделирование в экологии
Реферат
Выполнил: Паялов Е.В.
(ученик 11 класса школы № 49)
Проверил: Пустоваченко Н.Н.
(директор ГМЦИТ г. Мурманска)
Мурманск, 2005
Содержание
Введение………………………………………………………………………….3
1. Компьютерное моделирование в экологии………………………………….5
Заключение……………………………………………………………………….23
Список литературы………………………………………………………………24
Введение
Экология – одно из слов, появившихся сравнительно недавно у всех на устах и на страницах газет и журналов. Ещё в 60-х годах XX века никто, кроме узких специалистов, его не знал, да и большинство из тех, кто знал, использовал в таком смысле, который вряд ли способен заинтересовать широкую общественность. А между тем, термину более 120 лет.
Математическое моделирование в экологии используется практически с момента возникновения этой науки. И, хотя поведение организмов в живой природе гораздо труднее адекватно описать средствами математики, чем самые сложные физические процессы, модели помогают установить некоторые закономерности и общие тенденции развития отдельных популяций, а также сообществ. Кажется удивительным, что люди, занимающиеся живой природой воссоздают её в искусственной математической форме, но есть веские причины, которые стимулируют эти занятия. Вот некоторые цели создания математических моделей в экологии:
· Модели помогают выделить суть или объединить и выразить с помощью нескольких параметров важные разрозненные свойства большого числа уникальных наблюдений, что облегчает экологу анализ рассматриваемого процесса или проблемы.
· Модели выступают в качестве «общего языка», с помощью которого может быть описано каждое уникальное явление, и относительные свойства таких явлений становятся более понятными.
· Модель может служить образцом «идеального объекта» или идеализированного поведения, при сравнении с которым можно оценивать и измерять реальные объекты и процессы.
· Модели действительно могут пролить свет на реальный мир, несовершенными имитациями которого они являются.
Цель данной работы – познакомиться с некоторыми методами компьютерного моделирования в экологии и доказать важность компьютеров в моделировании экологических процессов.
Однако математическое (компьютерное) моделирование в экологии – достаточно обширная область исследования и по выбору объектов моделирования, и по набору методов, и по спектру решаемых задач. Поэтому довольно трудно охватить сразу все аспекты моделирования. Внимание в данной работе обращено на два класса методов: моделирование с помощью дифференциальных уравнений и методы, основывающиеся на экстремальных принципах биологии. Если примеры вариационных моделей относятся к довольно широкому кругу растительных и животных сообществ, то для подходов, основанных на дифференциальных уравнениях, в виду обширности материала внимание сконцентрировано на моделировании сообществ микроорганизмов.
Модели каждого из методов, безусловно, обладают своими достоинствами и недостатками. Так, дифференциальные или разностные уравнения позволяют описывать динамику процессов в режиме реального времени, тогда как вариационные методы, как правило, предсказывают лишь конечное стационарное состояние сообщества. Но на пути имитаций с помощью уравнений возникают трудности как принципиального, так и технического характера. Принципиальная трудность состоит в том, что не существует систематических правил вывода самих уравнений. Процедуры их составления основываются на полуэмпирических закономерностях, правдоподобных рассуждениях, аналогиях и искусстве модельера. Технические трудности связаны с высокой размерностью задач по моделированию сообществ. Для существенно многовидовых сообществ, потребляющих многочисленные ресурсы, требуется подбор сотен коэффициентов и анализ систем из десятков уравнений.
1. Компьютерное моделирование в экологии
1. Примеры уравнений. В разделе о моделировании с помощью дифференциальных уравнений в первую очередь рассматриваются модели фитопланктонных и микробиологических сообществ.
2. Моделирование сообществ фитопланктона. Традиционный путь изучения сообществ микроорганизмов заключается в моделировании непрерывных культур. Общее уравнение, описывающее кинетику концентрации клеток в таком процессе, имеет вид
![]()
где x – концентрация клеток в культиваторе,
– функция, описывающая размножение популяции, d – скорость вымывания. Скорость размножения может зависеть от концентрации клеток, концентрации субстрата s, температуры, pH среды и прочих факторов.
В микробиологических системах, как правило, скорость роста лимитируется концентрацией субстрата, что отражается зависимостью, предложенной Ж.Моно (Monod, 1942):
![]()
где
– максимальная скорость роста организмов при данных условиях,
– видоспецифическая константа, численно равная концентрации субстрата, при которой скорость роста культуры равна половине максимальной (константа полунасыщения).
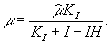
При моделировании динамики фитопланктона важную роль играет учет влияния уровня освещенности на скорость роста. В книге С.Йоргенсена (1985) описаны некоторые виды уравнений, применяемых в моделях. Зависимость между скоростью роста (скоростью первичного продуцирования) и освещенностью может быть описана уравнением Михаэлиса-Ментен
![]()
здесь I – освещенность, KI – константа полунасыщения по освещенности.
При освещенности выше пороговой (IH ), начиная с которой происходит угнетение фотосинтеза, можно записать следующую зависимость:
![]()
Значения всех констант (
) зависят от адаптации к освещенности и температуры. Зависимость KI от температуры, как правило, линейна:
; am, KI0 – константы, KI0 – константа полунасыщения по освещенности в нулевой точке температурной шкалы. Зависимость IH от температуры так же может быть выражена линейной функцией:
; IH0 – пороговая освещенность в нулевой точке температурной шкалы, aH – константа.
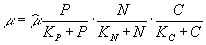
Как уже было сказано, скорость роста зависит от концентрации биогенных веществ. Для фитопланктона элементами, способными лимитировать рост, могут являться, например, азот, фосфор и углерод. Возможные способы отражения этого факта в работе С.Йоргенсена описаны следующим образом
,
где P, N, C – концентрация растворенного фосфора, азота и углерода; KP, KN, KС – соответствующие константы полунасыщения. Возможно также использование средней величины лимитирующих факторов:
.
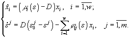
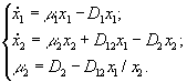
В работах Н.С.Абросова с коллегами была предложена следующая модель динамики экосистемы. Рассматривают организмы одного трофического уровня, которые существуют за счет совместного потребления ресурсов питания. Пусть ij (s1 ,...,sm ) – скорость потребления единицей биомассы (особью) вида i ресурсаj; i = i (s1 ,...,sm ) – удельная скорость прироста биомассы (плотности) i -го вида; s = (s1 ,...,sm ) – вектор концентрации ресурсов в среде; di – удельная скорость элиминации организмов i -го вида; Аj – скорость поступления j -го субстрата извне на единицу объема экосистемы; Di – удельная скорость удаления ресурса в открытой системе. Тогда динамика системы описывается уравнениями
(1)
Модель, описывающая культивируемое в хемостате сообщество, является частным случаем модели (3.1) при условиях di = Dj = D,
= Aj /D, где D – скорость разведения культуры,
– концентрация j -го субстрата в поступающей в реактор питательной среде, и задается системой уравнений
![]()

(Хемостат – непрерывный культиватор, в котором за счет саморегулирующх механизмов популяции поддерживается постоянная плотность популяции.)
В случае взаимозаменяемых ресурсов зависимость i (s ) описывается выражением

или его линейной аппроксимацией
,
где ij – элементы матрицы приспособленности:
, здесь ij = cij Yij, где cij – удельная скорость потребления j -го субстрата i -м видом организма, а Yij – экономический коэффициент использования j -го вещества i -м видом.
Если ресурсы взаимонезаменяемы, то
![]()
или
.
В приведенных выше формулах символ
обозначает максимально возможную удельную скорость роста организмов i -го вида; Kij – константа полунасыщения роста i -го вида на j -м субстрате.
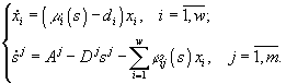
В моделях, использующих дифференциальные уравнения, возможен учет лимитирования роста световой энергией. В этом случае предлагается использовать следующую зависимость:
![]()
здесь xi – концентрация клеток i -го вида; μi – удельная скорость роста i -го вида;
– максимально возможная удельная скорость роста организмов i -го вида;
– процентное содержание хлорофилла в биомассе; li – коэффициент поглощения света i -м видом;
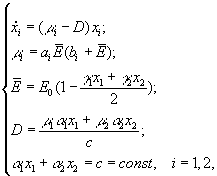
– КПД фотосинтеза i -го вида клеток; Yi – величина, обратная калорийности биомассы i -го вида клеток;E – мощность ФАР (фотосинтетически активной радиации), падающей на поверхность культуры; d – толщина слоя культуры в кювете культиватора (приведено выражение для удельной скорости μi в случае лимитирования совместного роста двух видов только энергией света) (Абросов, Ковров, 1977).
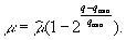
А.Я.Болсуновским (1999) была предложена следующая математическая модель динамики компонентов сообщества из двух видов (спирулина и хлорелла), рост которых лимитируется интенсивностью света всей области ФАР

где xi – концентрация клеточного хлорофилла; μi – удельные скорости роста; ai, bi – константы уравнения Михаэлиса-Ментен;
– средняя освещенность для всего сообщества; E0 – поверхностная освещенность; D – скорость протока.
Кроме того, в моделях возможно отразить эффекты метаболического воздействия, как, например, это было сделано Ю.А.Домбровским с соавторами (1990). Скорость роста фитопланктона i -го вида описывалась выражением
,
где x1, x2, s – концентрации двух видов фитопланктона и минерального вещества, выраженные в единицах лимитирующего биогенного вещества;
– коэффициенты метаболизма; Mi – максимальная скорость фотосинтеза; Hi – параметр насыщения;
– эмпирический коэффициент ингибирования i -го вида j -м.
Как уже указывалось выше, при моделировании динамики биомассы фитопланктона, чаще всего используют уравнение Моно, описывающее зависимость удельной скорости роста популяции μ от концентрации s лимитирующего рост субстрата
, (2)
где
– максимальная скорость роста; Ks – константа полунасыщения при лимитировании данным субстратом. (В общем случае
и Ks зависят от вида фитопланктона.) Теоретическое объяснение указанной зависимости обычно основывается на представлениях биохимической кинетики, связанных с концепцией “узкого места” метаболизма (Алексеев и др., 1992). Живая клетка представляет собой строго сбалансированную систему ферментативных реакций, при этом общая скорость прироста биомассы
предполагается пропорциональной скорости реакции, которая ограничена недостатком субстрата в среде. В простейшем случае зависимость скорости ферментативной реакции от концентрации субстрата описывается формулой Михаэлиса-Ментен. Поскольку в формуле Михаэлиса-Ментен константы
и Ks есть функции от скоростей прямой и обратной ферментативной реакции, то постоянство
и Ks предполагает постоянство этих скоростей. Таким образом, в основе использования зависимости Моно лежит неявное предположение об инвариантности во времени соотношения элементов в клетке (так как только при постоянстве состава клетки могут оставаться постоянными скорости ферментативных реакций). Кроме того, при подходе, основанном на зависимости Моно, процессы поглощения питательных веществ и роста фитопланктона не различаются.
. (3)
Формула (3.3) упрощается в связи с предположением, подтвержденным экспериментально, что константа полунасыщения и минимальное клеточное содержание соответствующего биогена равны, и принимает вид
.
Дж.Фухсом в эксперименте на двух видах диатомовых продемонстрирована связь скорости роста водорослей с клеточной концентрацией фосфора в виде
(Обозначения те же, что и в формулах (2), (3).)
В.Бьерман (Bierman, 1976) в модели внутригодовой сукцессии фитопланктона (четыре группы водорослей, три биогенных элемента – азот, фосфор, кремний) выражал зависимость роста от клеточного фосфора формулой
, от клеточного азота – формулой Друпа (3), а от клеточного кремния – формулой Моно (2).
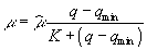
Кроме минимального содержания элемента qmin в клетке, важной характеристикой вида является величина qmax – максимальное значение элемента питания, которое может накопиться в клетке. Можно привести несколько примеров использования величины qmax в формулах для скорости роста клеток в модели весеннего цветения диатомовых на Балтике применял зависимость
![]()
А.Дота в модели поликультуры пресноводных водорослей использовал выражение
![]()
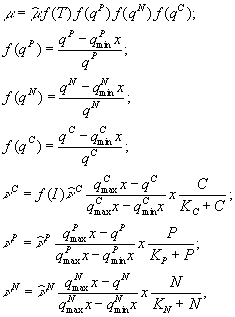
На непостоянство стехиометрических соотношений углерода, азота и фосфора в составе фитопланктона указывал С.Йоргенсен (1985). Он отмечал, что, как показали лабораторные опыты, развитие фитопланктона происходит в два этапа: на первом идет поглощение биогенных веществ, а на втором – клеточное деление, регулируемое внутриклеточной концентрацией ресурсов. С.Йоргенсен (Jørgensen, 1976) использует следующую систему уравнений

где
– внутриклеточные концентрации биогенных элементов (соответственно, фосфора, азота и углерода), выраженные в мг на 1 л воды;
– минимальные и максимальные значения содержания трех биогенных веществ в составе фитопланктона; x – концентрация фитопланктона;
– скорости поглощения углерода, фосфора, азота;
– соответствующие максимальные скорости поглощения; C, P, N – концентрации биогенных элементов в окружающей среде;
– функции, характеризующие зависимости интенсивности фотосинтеза от освещенности и температуры.
Существуют некоторые данные, которые позволяют сравнить результаты моделирования с использованием концепции клеточной квоты и без ее использования. Л.А.Кучай (Кучай, 1985) специально сравнивала модели, описывающие кругооборот биогенных ресурсов (азота или азота и фосфора) в замкнутой системе, включающей одну группу фитопланктона, питательные элементы и детрит. При использовании клеточной квоты удельная скорость роста задавалась формулой Друпа, при этом в случае двух ресурсов использовался принцип минимума Либиха. Оказалось, что модели с использованием клеточной квоты дают большее число возможных сценариев развития фитопланктона и позволяют описывать ситуации, реально встречающиеся в природе, например, ситуацию нарастания биомассы фитопланктона в условиях почти нулевой концентрации биогенного элемента в среде или ситуацию резкого скачка отношения N:P в среде в момент кульминации цветения.
В настоящее время среди исследователей установилось мнение, что модель Моно адекватна при описании устойчивого роста водорослей в стационарных условиях, подобных хемостату, а для описания процесса роста при изменяющихся внешних условиях, например, при моделировании внутригодовой сукцессии фитопланктона, необходима более сложная модель, выбранная в соответствии с предположением зависимости скорости роста от клеточных концентраций ресурсов. Одной из ситуаций, где при моделировании необходимо привлечение концепции клеточной квоты, является накопительное культивирование.[1]
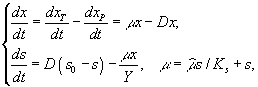
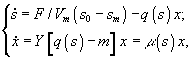
Дифференциальные уравнения в микробиологии. Дифференциальные уравнения, описывающие и концентрации микробной биомассы (x ) и концентрации лимитирующего субстрата (s ) в условиях хемостатного культивирования, которые были выведены Ж.Моно исходя из условий материального баланса, составили первую модель роста микробных популяций.

где xP – концентрация микроорганизмов в приемнике, куда сливается нарастающая бактериальная суспензия; xT – суммарная концентрация микроорганизмов (xT = x + xP ); μ – удельная скорость роста,
– максимальная скорость роста; s – концентрация лимитирующего ресурса в среде;Ks – константа полунасыщения при лимитировании данным субстратом; s0 – величина концентрации лимитирующего субстрата на входе в культиватор; D – скорость разбавления, равная отношению скорости поступления питательной среды к объему культуры; Y – экономический коэффициент (выход биомассы на единицу потребленного субстрата).
Принципиальной особенностью данной открытой системы является возможность установления динамического равновесия. В установившемся состоянии μ = D, а
(
– постоянные значения стационарного состояния).[2]
Необходимо также отметить, что при превышении скорости разбавления D критического значения
наступает режим вымывания, т.е. скорость потока настолько велика, что прирост биомассы не может компенсировать ее отток. Нулевое значение концентрации биомассы и равенство концентрации лимитирующего ресурса в среде значению последней на входе в культиватор является неустойчивым положением равновесия при скорости разбавления ниже критической и устойчивым при больших скоростях
.
Для различных методов проточного культивирования динамика концентрации биомассы микроорганизмов описывается соответствующими дифференциальными уравнениями (Паников, 1991).
1) Турбидостат 
– оптическая плотность.
2) pH -стат 
3) Хемостат с возвратом 
4) Батарея хемостатов 
Наряду с различными способами гомогенного непрерывного культивирования для лабораторных исследований применяют и другие методы:
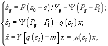
1) Непрерывное культивирование без выноса микробных клеток:
а) периодический диализ 
б) непрерывный диализ 
в) периодическая культура с подпиткой (ПКП)

г) периодическая культура с газовым питанием

– величины концентрации лимитирующего субстрата в диализном сосуде, в газовой и жидкой фазах; Pg и Pl – парциальные давления; Ψ – коэффициент массопереноса;
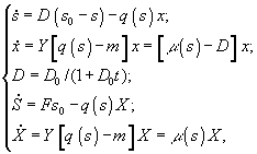
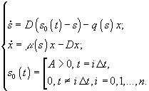
– объемы диализного сосуда, воздушной фазы ферментера,; S, X – количество субстрата и биомассы в расчете на всю культуру (s, x – в расчете на единицу объема); F – поток лимитирующего субстрата; s0 – исходная концентрация лимитирующего субстрата; q(s) — скорость потребления лимитирующего субстрата.[3]
2) Непрерывная гомогенная культура с “залповой” подачей лимитирующего субстрата, при которой в обычную хемостатную культуру непрерывно поступает питательная среда, но без одного из существенных компонентов, который вносится в виде малой порции концентрированного раствора A через регулярные достаточно большие промежутки времени
. В этом случае динамика лимитирующего субстрата s и микробной биомассы x описывается системой

Применяют также обычное гомогенное периодическое культивирование и воспроизведение пространственно-неоднородного роста микроорганизмов:
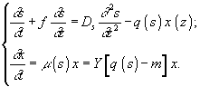
а) культура полного вытеснения
f – скорость перемещения малого элемента культуральной жидкости по пространственной координате z; Ds и Dx – коэффициенты диффузии для субстрата и клеток;
б) проточный реактор с иммобилизованными клетками

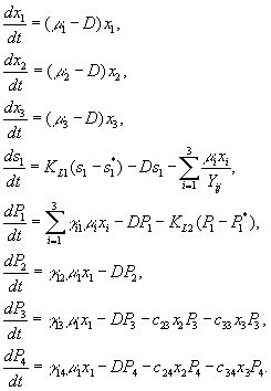
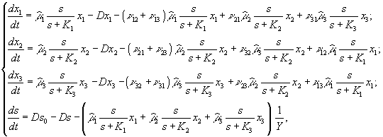
Одной из областей применения дифференциальных уравнений в моделировании микробиологических сообществ является анализ возможных стационарных состояний смешанной культуры. Примером такого исследования может служить работа И.Р.Спивака и Дж.С.Рокема, в которой изучалось взаимодействие двух видов гетеротрофных бактерий, конкурирующих за промежуточные внеклеточные метаболиты, выделяемые бактериями-метилотрофами. Эти метаболиты, в свою очередь, являются ингибиторами для метилотрофных бактерий. Система уравнений, описывающих такое сообщество, включает в себя выражения для динамики бактериальных биомасс, а также динамики концентрации кислорода, метанола, этанола, ацетата в ферментационной жидкой среде

Удельная скорость роста видов задается формулами

Скорость потребления субстрата cij может быть представлена как
В вышеприведенных уравнениях использованы обозначения: xi (i = 1,2,3) – бактериальная биомасса метилотрофа и двух видов гетеротрофов;
– удельная и максимальная удельная скорости роста i -го вида; D – скорость вымывания; s1, Pj (j = 1…4) – концентрации кислорода, СО2, метанола, этанола и ацетата в среде соответственно (верхний индекс * обозначает концентрацию вещества в стацонарном состоянии); KLi (i =1,2) – коэффициент переноса массы для кислорода и СО2 соответственно; Yij (i = 1,2,3; j = 1,3,4) – выход бактерий вида i на j -м субстрате;
(i = 1,2,3; j = 1,3,4) – коэффициент подобия бактерий вида i субстрату j;
(i = 1,2,3; j = 1,…,4) – коэффициент чувствительности бактерий вида i к метабоиту n;
– удельная скорость выделения внеклеточного метаболита j бактериями вида i.
В работе подробно изучены 6 различных способов лимитирования: метилотрофные бактерии во всех случаях лимитируются конценрацией растворенного кислорода, два вида гетеротрофов лимитируются либо оба промежуточными внеклеточными метаболитами, либо оба максимальной удельной скоростью роста, либо оба конценрацией растворенного кислорода, либо сочетнием двух разных лимитирующх факторов. Среди полученных результатов необходимо отметить возможность существования устойчивой культуры, состоящей из трех бактериальных видов, конкурирующих за кислород.
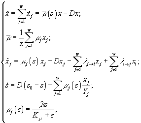
Важным направлением микробиологических исследований является изучение генетической неоднородности клеток в непрерывной культуре. Хемостатная модель, описывающая ситуацию, когда исходная форма дает целый веер мутаций с реверсиями, записывается следующим образом

здесь xi – концентрация i -го варианта; x – суммарная концентрация клеток в хемостатной культуре;
– матрица всех возможных переходов между вариантами xi .
Попытка провести количественную оценку возможного вклада процесса диссоциации – расщепления однородной популяции бактерий на варианты, различающиеся генетическими, физиолого-биологическими и морфологическими свойствами – в формирование гетерогенной биологической популяции была предпринята в работах Е.С.Милько с соавторами. Математическая модель для таких процессов выражается системой уравнений
где
– биомассы R-, S-, и M- диссоциантов соответственно; s – концентрация субстрата в среде; Ki – константа полунасыщения вида i субстратом s ;D – скорость протока; s0 – начальная концентрация субстрата; Y – экономический коэффициент, принятый в модели одинаковым для всех диссоциантов;
– частота диссоциативных переходов.
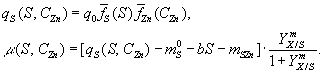
Важным фактором баланса роста клеток являются затраты энергии на их поддержание. Эти затраты складываются из расходов на повторный синтез нестабильных макромолекул и клеточных структур, на поддержание градиентов веществ между клеткой и окружающей средой, а также между компартментами клетки, на подвижность клеток (если они ею обладают), процесс сброса избыточной энергии, поступающей в клетки (Минкевич и др., 1998). Удельная скорость затрат энергии на поддержание
зависит от вида микроорганизмов, субстрата, температуры, возможно, и от других факторов. Влияние концентраций ингибирующих субстратов этанола и цинка на величину
клеток этанолассимилирующих дрожжей Candida valida изучалось в работе И.Г.Минкевича с соавторами. В результате исследования были получены формулы для скорости потребления энергетического субстрата qS и удельной скорости роста
, которые отражают качественные особенности влияния данных субстратов на рост культуры – лимитирования, существования наклонного плато и субстратного ингибирования:

Член
, описывающий влияние этанола, имеет вид
![]()
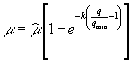
член
, описывающий влияние цинка на скорость потребления энергетического субстрата qS, записывают как
![]()
Влияние концентрации цинка в окружении клеток на удельную скорость затрат энергии на
описывают выражениями

В приведенных формулах CZn обозначает внешнюю концентрацию цинка, CZn1 и CZn2 – внутреннюю концентрацию цинка, S – концентрацию этанола;
– максимальный выход роста; b – константа; ![]()
– физиологические параметры культуры Candida valida.
Предлагаемая модель обеспечивает высокую степень соответствия экспериментальным данным и объясняет многие особенности поведения культуры. По мнению авторов, описанные зависимости могут применяться ко многим органическим и минеральным субстратам, в том числе обладающим токсическим действием на микроорганизмы.[4]
Заключение
Таким образом, ситуация сосуществования видов возможна только, когда точка (
) лежит в секторе II. На плоскости
область значений L1 и L2, при которых виды могут сосуществовать, задается сектором с вершиной в точке (
) и сторонами, параллельными сторонам сектора II (рис. ).
Рис.
В области x1, x2 сосуществуют два вида. L1, L2 – общие запасы питательных веществ
В итоге, можно выделить 12 различных способов заполнения плоскости биогенов (три варианта принадлежности точки (
) одному из секторов, каждый из которых делится на четыре по положению значений
на оси L1 и
на оси L2 ). Причем, кроме случаев, когда области доминирования прилегают друг к другу, существуют варианты наложений различных исходов (в этой ситуации результат зависит от начального значения биомасс), а также разрывы, внутри которых происходят колебания.
Безусловно, можно сказать, что привлечение компьютеров существенно раздвинуло границы моделирования экологических процессов. С одной стороны, появилась возможность всесторонней реализации сложных математических моделей, не допускающих аналитического исследования, с другой – возникли принципиально новые направления, и, прежде всего, – имитационное моделирование.
Список литературы:
1. Бигон М., Харпер Дж., Таусенд К. Экология: В 2 т. М.: Мир, 1989.
2. Бродский А.К. Краткий курс общей экологии. СПб.: Изд-во СПбГУ, 1992.
3. В.П.Зайцева, А.В.Паялов. В помощь учителю. Мурманск, 1999
4. Хованов Н.В. Биометрия. СПб., 1994.
5. Гублер Е.В. Вычислительные методы анализа и распознавания патологических процессов. М.: Медицина, 1978.
6. Акоев И.Г., Максимов Г.К., Малышев В.М. Лучевое поражение млекопитающих и статистическое моделирование. М., 1972.
[1] Хованов Н.В. Биометрия. СПб., 1994, 54 с.; Бигон М., Харпер Дж., Таусенд К. Экология: В 2 т. М.: Мир, 1989, 2 т. 87 с.
[2] Бродский А.К. Краткий курс общей экологии. СПб.: Изд-во СПбГУ, 1992., 96 с.
1. Бигон М., Харпер Дж., Таусенд К. Экология: В 2 т. М.: Мир, 1989, 1 т. 76 с.
[3] Бродский А.К. Краткий курс общей экологии. СПб.: Изд-во СПбГУ, 1992., с 23
[4] Бродский А.К. Краткий курс общей экологии. СПб.: Изд-во СпбГУ, 1992, с 103