Реферат: Оптические методы анализа и их современное аппаратурное оформление: обзор WEB–сайтов фирм – продавцов химико-аналитического оборудования
«Оптические методы анализа и их современное аппаратурное оформление: обзор WEB – сайтов фирм – продавцов химико-аналитического оборудования»
Содержание
Введение
Глава 1. Основы оптических методов анализа
Глава 2. Современное аппаратурное оформление
Глава 3. Обзор WEB- сайтов фирм – продавцов химико-аналитического оборудования
Литература
ВВЕДЕНИЕ
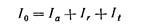
В аналитической химии часто приходится сталкиваться с определением малых количеств (следов) веществ. Например, содержание примесей в чистых металлах исчисляется тысячными долями процента. Содержание такого количества вещества невозможно определить химическими методами, в таких случаях приходится использовать оптические методы анализа. Наибольшее распространение имеет абсорбционный анализ, который может выполняться спектрофотомерией, фотоколориметрией и колориметрией.
К оптическим методам относятся турбодиметрия и нефелометрия — анализ основан на поглощении и рассеянии лучистой энергии взвешенными частицами определяемого вещества, а также флуорометрия — основан на измерении вторичного излучения, возникающего при взаимодействии лучистой энергии с анализируемым соединением, и др.
ГЛАВА 1. ОСНОВЫ ОПТИЧЕСКИХ МЕТОДОВ АНАЛИЗА
Спектрофотомерия основана на измерении поглощения моно хроматического света однородной, нерассеивающей системой в видимой, ультрафиолетовой и инфракрасной областях. Фотоколориметрия — это анализ по поглощению полихроматического излучения анализируемым веществом.
Колориметрия является частным случаем применения немонохроматического излучения, она основана на поглощении света окрашенными растворами. При поглощении системой некоторого количества лучистой энергии атомы будут возбуждаться и переходить на более высокий энергетический уровень. При однородной системе, которую мы имеем в случае спектрофотомерии и фотоколориметрии, количество энергии поглощения находится в прямой зависимости от концентрации вещества в растворе.

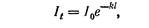
Законы поглощения света (законы колориметрии). Когда поток света (с интенсивностью I падает на кювету с раствором, то часть его (с интенсивностью I,) отражается от поверхности кюветы, часть (с интенсивностью 1
будет поглощаться раствором и часть пройдет через него (рис.1).
Поэтому между этими величинами будет следующая зависимость:
![]()
П. Бугером и И. Ламбертом была установлена зависимость между толщиной слоя раствора и поглощением светового потока: слои вещества одинаковой толщины всегда поглощают одну и ту же часть падающего на них светового потока (закон Бугера — Ламберта):
![]()

Коэффициент поглощения 1г» зависит только от природы рас творенного вещества и длины волны света. Численно он равен обрат ной величине толщины слоя раствора, ослабляющего интенсивность светового потока в 10 раз:
![]()
Фотоколориметрия
Интенсивность прошедшего через раствор света меняется не толь ко от концентрации и высоты слоя раствора, но и от изменения интенсивности входящего светового потока. При фотоколориметрических определениях об интенсивности прошедшего через раствор света можно судить по силе фототока. Определения проводят в фотоэлектроколориметрах (ФЭК). В последние годы наиболее распространенными фотоэлектроколориметрами являются «двуплечие» колориметры — с двумя фотоэлементами, каждый из которых снабжен диафрагмой. Оба фотоэлемента включены в общую схему так, чтобы даваемые ими фототоки имели противоположное направление.
При одинаковой освещенности обоих фотоэлементов (одинаковая окраска стандартного и испытуемого растворов) токи от них в цепи гальванометра взаимно компенсированы и стрелка гальванометра стоит на нуле, что является признаком одинаковой интенсивности свет прошедшего через оба раствора. Небольшая разница в интенсивности окраски вызовет изменение фототока, которое можно заметить по отклонению стрелки гальванометра. В лабораториях часто применяются фотоэлектриметрические колориметры ФЭК-56, ФЭК-56М и др.
ФЭК-56 предназначается для измерения оптической плотности или светопропускания жидких растворов. Приемниками световой энергии служат два фотоэлемента; в качестве нуль прибора используется индикаторная лампа. Источником света в приборе служит лампа накаливания и ртутно-кварцевая лампа сверхвысокого давления. С этими лампами возможна работа в диапазоне длин волн от 315 до 630 ммк. При измерении в ультрафиолетовой области спектра используют ртутно-кварцевую лампу (рис. 4). Световой поток от источника света через светофильтр попадает на призму, делящую пучок на левый и правый. Источник света помещен в фокусе линз, и световые пучки, отражаясь от зеркала, выходят параллельными. далее световые потоки проходят через кюветы и попадают на линзы. В фокусе линз помещены матовые стекла, за которыми расположены фотоэлементы. В правый световой пучок могут последовательно включаться кюветы с раствором и растворителем. Раздвижная диафрагма при вращении связанного с ней барабана меняет свою площадь, вследствие чего меняет интенсивность светового потока, падающего на правый фотоэлемент.[1-4]
ФОТОЭЛЕКТРОКОЛОРИМЕТРЫ.
Фотоэлектроколориметр – это оптический прибор, в котором монохроматизация потока излучения осуществляется с помощью светофильтров.
Колориметр фотоэлектрический концентрационный КФК-2
Назначение и технические данные. Однолучевой фотоколориметр КФК-2 предназначен для измерения пропускания, оптической плотности и концентрации окрашенных растворов, рассеивающих взвесей, эмульсий и коллоидных растворов в области спектра 315–980 нм. Весь спектральный диапазон разбит на спектральные интервалы, выделяемые с помощью светофильтров. Пределы измерения пропускания от 100 до 5% (оптической плотности от 0 до 1,3). Основная абсолютная погрешность измерения пропускания не более 1%.
Светофильтры. Для того чтобы из всей видимой области спектра выделить лучи определенных длин волн в фотоколориметрах на пути световых потоков перед поглощающими растворами устанавливают избирательные поглотители света – светофильтры. Светофильтры пропускают лучи лишь в определенном интервале длин волн с полушириной пропускания λ1/2макс–λ’1/2макс и практически полностью поглощают лучи других длин волн (см. таблицу). Чем уже область максимального пропускания лучей (размытость максимума пропускания) светофильтра, тем выше его избирательность к лучам этого интервала длин волн.

Порядок работы
1. Включите колориметр в сеть за 15 минут до начала измерений. Во время прогрева кюветное отделение должно быть открыто (при этом шторка перед фотоприемником перекрывает световой пучок).
2. Введите рабочий светофильтр.
3. Установите минимальную чувствительность колориметра. Для этого ручку «ЧУВСТВИТЕЛЬНОСТЬ» установите в положение «1», ручку «УСТАНОВКА 100 ГРУБО» – в крайнее левое положение.
4. Стрелку колориметра вывести на нуль с помощью потенциометра «НУЛЬ».
5. В световой пучок поместите кювету с контрольным раствором.
6. Закройте крышку кюветного отделения
7. Ручками «ЧУВСТВИТЕЛЬНОСТЬ» и «УСТАНОВКА 100 ГРУБО» и «ТОЧНО» установите стрелку микроамперметра на деление «100» шкалы пропускания.
8. Поворотом рукоятки кюветной камеры поместите в световой поток кювету с исследуемым раствором.
9. Снимите показания по шкале колориметра в соответствующих единицах (Т% или Д).
10. После окончания работы отключите колориметр от сети, очистите и протрите насухо кюветную камеру.
Определение концентрации вещества в растворе с помощью КФК-2.
При определении концентрации вещества в растворе с помощью калибровочного графика следует соблюдать следующую последовательность:
• выбрать светофильтр;
• выбрать кювету;
• построить градуировочную кривую;
• измерить оптическую плотность исследуемого раствора и определить его концентрацию, используя градуировочную кривую.
Выбор светофильтра. Наличие в колориметре узла светофильтров и набора кювет позволяет подобрать такое их сочетание, при котором погрешность в определении концентрации будет минимальной.
Если спектральные характеристики окрашенного вещества неизвестны, светофильтр для работы можно выбрать самостоятельно. В видимой части спектра воспринимаемый цвет есть результат избирательного поглощения определенного участка спектра белого света. Цвет раствора является дополнительным к цвету поглощения излучения. Поэтому измерение поглощения следует проводить в дополнительной для цветной реакции области спектра. Так, если раствор окрашен в сине-зеленый цвет, то нужно измерять поглощение этим раствором красного цвета.

Более точный выбор светофильтра осуществляется следующим образом.
Налейте окрашенный раствор в кювету и определите оптическую плотность для всех светофильтров.
По полученным данным постройте кривую, откладывая по горизонтальной оси длины волн, соответствующие максимуму коэффициента пропускания светофильтров (см. таблицу), а по вертикальной оси – соответствующие значения оптической плотности раствора. Отметьте тот участок кривой, для которого выполняются следующие условия:
• оптическая плотность имеет максимальную величину;
• ход кривой примерно параллелен горизонтальной оси, т.е. оптическая плотность мало зависит от длины волн.
Светофильтр для работы выбирается так, чтобы длина волны, соответствующая максимуму коэффициента пропускания светофильтра, приходилась на отмеченный выше участок спектральной кривой испытуемого раствора. Если эти условия выполняются для нескольких светофильтров, то выберите тот из них, для которого чувствительность колориметра выше.
Выбор кюветы. Предварительный выбор кювет проводится визуально, исходя из интенсивности окраски раствора. Если раствор интенсивно окрашен (темный), следует пользоваться кюветами с малой длиной оптического пути (1–5 мм). В случае слабоокрашенных растворов измерения проводят в кюветах с большой длиной оптического пути (20–50 мм).[1, 4-8]
Спектрофотомерия
В спектрофотометре применяется монохроматическое излучение как в видимом, так и в примыкающих к нему ультрафиолетовом и инфракрасном участках спектра. В связи с использованием монохроматического излучения спектрофотометр обладает большими возможностями в связи с широким диапазоном длин волн, кроме того, этот метод более точен.
Зависимость светопоглощения и молярные коэффициенты поглощения от длины волны излучения выражаются кривой (спектром) поглощения света данным веществом. На оси абсцисс откладывают величину длины волн, па оси ординат — величину оптической плотности В или молярные коэффициенты погашения а. Спектр поглощения характеризуется определенными полосами, а для каждой полосы характерна максимальная длина волны. Спектр поглощения является индивидуальной характеристикой данного вещества.
Во всех случаях измерение оптической плотности раствора не обходимо производить при максимальной длине волны макс, которая соответствует максимальному поглощению света исследуемым раствором. При этом достигается наибольшая точность определения.
При проведении количественно го анализа методом спектрофотомерии необходимо концентрацию анализируемого вещества подбирать с таким расчетом, чтобы вел и- чина оптической плотности находилась в пределах 0,2—0,8, так как при В -с 0,2 и В — 0,8 резко возрастает.
Спектрофотометр СФ-4 предназначается для измерения пропускания (оптической плотности) жидких и твердых прозрачных веществ в области спектра от 220 до 1100 ммк. На приборе измеряется оптическая плотность исследуемого раствора относительно воды или раствора сравнения (рис. 2).
Поток света от источника, в качестве которого служит или лампа накаливания, или водородная лампа, попадает на зеркальный конденсор, конденсор собирает его и направляет на плоское зеркало, которое отклоняет пучок лучей на 900 и направляет его на линзу и щель. Свет, прошедший через цель, попадает на зеркальный объект и направляется далее параллельным пучком на диспергирующую линзу, которая разлагает его в спектр. Пройдя призму под углом, диспергированный пучок направляется обратно на объектив и фокусируется им на выходной щели, которая располагается под вход ной щелью. Вращая призму, можно получить на выходе монохрома тора свет различных длин волн. Монохроматический свет, пройдя из щели кварцевую линзу, фильтр (поглощающий рассеянный свет), кювету с эталоном или исследуемым раствором и защитную пластинку, попадает на фотоэлемент сурьмяно-цезиевый (для работы в области 220—650 ммк) или кислородно-цезиевый (для работы в области 650—1100 ммк.
Источником сплошного излучения служат лампы накаливания при работе в области спектра 320—1100 ммк или водородная лампа при работе в области спектра 220—350 ммк.
Устройство прибора. К. корпусу прибора примыкают отделение для кювет, закрыв крышкой, и камера для фотоэлементов. Сзади корпуса крепится осветитель (рис.3). Длину волн устанавливают, вращая рукоятку, и контролируют по шкале. Ширину щели монохроматора изменяют вращением рукоятки, величина раскрытия отсчитывается в миллиамперах по шкале. Кюветная камера предназначена для установки образцов. Держатель с кюветами устанавливается в каретку, которая перемещается с помощью рукоятки. Между корпусом прибора и кюветной камерой помещен блок. В нижней части блока на пути луча, выходящего из монохроматора, установлен движок с фильтрами, поглощающими рассеянное излучение. Смену светофильтров производят рукояткой. Включение фотоэлементов производится с помощью рукоятки. Если рукоятка не выдвинута в схему включен сурьмяно-цезиевый фотоэлемент, при выдвинутой рукоятке в схему включается кислородно-цезиевый фотоэлемент. В камере помещен патрон с осушителем. Справа на основании прибора укреплена панель, на которой рас положены рукоятка потенциометра плавного изменения чувствительности, рукоятка переключателя изменения чувствительности ступенями, рукоятка переключения пределов измерения и рукоятка переключателя грубой компенсации тока. В приборе используются три источника света. Лампа накаливания и водородная лампа установлены в общем осветителе, но каждая в своем держателе. Ртутная лампа предназначается для градуировки прибора, устанавливается вместо водородной.
Ход анализа. Перед включением прибора источник излучения устанавливают в рабочее положение, закрывают щель, поставив рукоятку в положение закр.». Включают прибор, соблюдая порядок, указанный в инструкции, и прогревают его в течение 10 мин. Ставят потенциометр чувствительности в среднее положение, а рукоятку в одно из положений:
«1 2», «3», 4Х4>. до окончания измерения изменять положение рукоятки переключателя нельзя. Рукояткой устанавливают требуемую длину волны, в зависимости от используемой области спектра помещают в световой пучок соответствующий светофильтр (при работе в области спектра 300—380 ммк — из стекла УФС-2, а в области 590—700 ммк — из стекла ОС-14).
Рукояткой устанавливают на пути светового луча стандартный раствор, ставят переключатель в положение вык. и компенсируют темновой ток фотоэлемента грубой и плавной регулировками темнового тока. Открывают фотоэлемент, поставив рукоятку шторки переключателя в положение <откр.». Вращением рукоятки устанавливают стрелку миллиамперметра на условный нуль, стрелку подводят плавно рукояткой и снова компенсируют темновой ток. Перемещая каретку рукояткой, устанавливают на пути пучка исследуемый раствор и рукоятку ставят в положение «хI». Рукояткой, которая поворачивает движок отсчетного потенциометра, устанавливают стрелку миллиамперметра на условный нуль и снимают отчет по шкале пропускания (плотности). Снова вводят эталон в пучок света, установив рукоятку в положение выкл.», при этом стрелка миллиамперметра должна остаться на условном нуле. При работе необходимо строго соблюдать порядок включения прибора, аккуратно обращаться с кварцевыми кюветами, вклады- щами и шлифовальным и пластинкам и. Он а дороже платиновых изделий той же массы. Переключение фотоэлементов делают осторожно. Открывать кюветную камеру надо при закрытой шторке.

Рис. 1. Оптическая схема монохроматора:
1 — источник света; 2 — зеркальный конденсор; 3 — плоское зеркало; 4 — линза б — щель; б — зеркальный объектив; 7 — диспергирующая линза; 8 — выходная щель; 9 — кварцевая линза; 10 — фильтр; 11 эталон; 12 — защитная пластинка; 13 — фотоэлемент.

Рис. 2. Спектрофотометр СФ-4:
1 — корпус; 2 шкала; 3 — маховик; 4 — рукоятка; 5 индикаторный миллиамперметр; б переключатель; 7 — регулятор чувствительности; а — регулятор щели; 9 — блок сменных электрофильтров; 10 — осветитель; 11 — отделения для кювет; 12 рукоятка для смены кювет; 13 — переключатель фотоэлементов; 14 — камера для фотоэлементов; ‘5 — патрон; 16 — панель; 17 — шкала.
Спектрофометр СФ-26
Назначение и технические данные. Спектрофотометр СФ-26 предназначен для измерения пропускания и оптической плотности жидких и твердых веществ в области 186–1100 нм. Пределы измерения коэффициента пропускания 3–100% (оптической плотности 0–2,0). Основная абсолютная погрешность измерения по шкале коэффициентов пропускания в области спектра 190–1100 нм не более 1%.

Рис.4 Внешний вид спектрофотометра СФ-26.
1 — монохроматор; 2 — шкала длин волн; 3 — измерительный прибор; 4 — осветитель с источником излучения и стабилизатором; 5 — кюветное отделение; 6 — рукоятка перемещения каретки с кюветами; 7 — камера с фотоприемниками и усилителем; 8 -рукоятка переключения фотоэлементов; 9 — рукоятка установки чувствительности; 10 — рукоятка установки на «0»; 11 — рукоятка шторки; 12 — рукоятка регулировки ширины щели; 13 — рукоятка «Отсчет»; 14 — рукоятка компенсации; 15 – рукоятка шкалы длин волн.
Порядок работы.
1. В соответствии с выбранным спектральным диапазоном измерений установите в рабочие положения фотоэлемент и источник излучения.
При работе в области спектра 186–340 нм установите переключатель ламп на кожухе осветителя в положение «Д» (после минутного прогрева дейтериевая лампа загорается, одновременно загорается и соответствующая индикаторная лампочка на передней панели), при работе в области спектра 340–1100 нм – в положение «Н» (лампа накаливания и индикаторная лампочка загораются сразу). Переключение фотоэлемента производится с помощью рукоятки 8. Если рукоятка находится в положении «Ф», в схему включен сурьмяно-цезиевый фотоэлемент для измерений в области спектра от 186 до 620 нм. Если рукоятка установлена в положение «К», в схему включен кислородно-цезиевый фотоэлемент – для измерений в области спектра от 620 до 1100 нм.
2. Установите рукоятку «КОМПЕНСАЦИЯ» в положение «0».
3. Установите рукоятку «ЧУВСТВИТЕЛЬНОСТЬ» в положение «1».
4. Установите рукоятку 13 в положение «×1».
5. Закройте фотоэлемент, поставив рукоятку 11 шторки в положение ЗАКР.
6. Установите требуемую длину волны, вращая рукоятку 15 в сторону увеличения длин волн. Если при этом шкала повернется на большую величину, то возвратите ее назад на 5–10 нм и снова подведите к требуемому делению.
7. Включите тумблер «СЕТЬ», после чего должны загореться сигнальная лампа «СЕТЬ» и сигнальная лампа «Д» или «Н» в соответствии с выбранным источником излучения. Стабильная работа спектрофотометра обеспечивается через 30 минут после его включения.
8. Установите рукояткой 10 «НУЛЬ» стрелку измерительного прибора на деление «2,0» шкалы оптической плотности «D».
9. Установите на пути потока излучения контрольный образец, перемещая рукояткой 6 каретку. При отсутствии контрольного образца измерение будет проводиться относительно воздуха.
10. Откройте фотоэлемент, установив рукоятку 11 шторки в положение «ОТКР».
11. Установите стрелку измерительного прибора на деление «0» шкалы «D», вращая рукоятку 12 механизма изменения ширины щели.
12. Установите на пути потока излучения опытный образец, перемещая рукояткой 6 каретку. Снимите показания прибора по шкале оптической плотности «D».
13. Выключите спектрофотометр тумблером «СЕТЬ».
14. Протрите кюветное отделение и сделайте запись в журнале «Учет наработки спектрофотометра СФ-26».
Эмиссионный спектральный анализ
Этот вид анализа предполагает сжигание некоторого количества пробы в газовом пламени или в электрической дуге. При этом вещество испаряется, молекулярные соединения обычно диссоциируют на атомы, которые возбуждаются и дают свечение, Количество лучистой энергии, излучаемое атомами за 1 сек (интенсивность излучения), определяется числом излучающих атомов в 1 см и вероятностью спонтанного излучения. Для того чтобы атомы могли излучать эту энергию, их необходимо перевести из нормального (с наименьшей энергией) состояния в верхнее возбужденное состояние. Это достигается одним из указанных выше методов.
Для спектральных серий, связанных с самыми нижними состояниями атомов, первые линии являются самыми яркими в спектре излучения. Однако вероятность излучения этих линий для различных атомов значительно отличается по величине. Наибольшая вероятность их излучения наблюдается у атомов щелочных и щелочноземельных металлов.
Различают следующие виды эмиссионного спектрального анализа:
Визуальный анализ. Оценка качественного и количественного содержания компонентов в этом случае производится при наблюдении спектра глазом в видимой области или при помощи различных преобразователей невидимого излучения в видимое. Непосредственные визуальные наблюдения спектра широко применяются на практике для полуколичественного анализа и сортировки сплавов и для точного количественного анализа.
Фотографический анализ. Спектр фотографируется на пластинку или пленку, которая затем для качественного определения состава рассматривается при помощи спектропроектора. Для количественного анализа спектр фотометрируется при помощи микрофотометров и полученные данные обрабатываются приемами фотографического фотометрирования. Связь с концентрациями устанавливается градуировкой при помощи специальной системы эталонов. При фотоэлектрическом анализе определение содержания про- наводится сравнением фототоков от двух приемников, освещаемых отдельными спектральными линиями пары. По ним сразу получается результат анализа в виде указания на шкале из мерительного прибора или в виде цифровой записи на ленте пишущего или печатающего устройства. Пламенная фотометрия основана на излучении (эмиссионный метод) световой энергии элементов в пламени.
При фотометрии пламени анализируемый раствор сжатым воздухом или кислородом в виде аэрозоля вводят в пламя газовой горелки. При наличии в растворе ионов легковозбуждаемых элементов пламя окрашивается вследствие характерных излучений, которые фиксируются фотоэлементом. Возникающий фототок измеряется чувствительным гальванометром.
В большинстве случаев изменение величины фототока при определенных условиях происходит пропорционально концентрации определяемого элемента. Но такая зависимость интенсивности излучения (1) от концентрации элемента (с) соблюдается только в определенном интервале концентраций, за пределами которого она часто нарушается. Величина фототока зависит ве только от концентрации свободных атомов в пламени, но и от состава пламени, температур, степени диссоциации соединений на атомы и от степени ионизации атомов в пламени. Фотометрия пламени широко используется в цветной металлургии при анализе различных руд. В настоящее время этим методом определяют около 50 элементов. Особую ценность метод фотометрии пламени приобретает при анализе смесей, содержащих незначительные количества щелочных и щелочноземельных элементов.
Пламенный фотометр используется для определения интенсивности излучения элементов, которые могут возбуждаться пламенем горелки (рис. 4). Исследуемый раствор при помощи сжатого воздуха подают в распылитель, откуда он в виде аэрозоля попадает в пламя горелки. Излучение пламени собирается вогнутым зеркалом и направляется линзой на светофильтр, а далее к фотоэлементу. Возникающий здесь фототок усиливается усилителем и измеряется чувствительным гальванометром.
Ход работы
Прибор включают в сеть, затем открывают вентиль редуктора баллона с горючим газом или кран газопровода. Зажигают горелку, включают компрессор. Вентилем добиваются однородного пламени горелки. При помощи манометра следят за избыточным давлением, которое не должно превышать 0,5—0,6 атм.

Рис. 4. Схема эмиссионного пламенного фотометра:
1 — компрессор; 2 — стакан с анализируемым раствором; З — распылитель; 4 — вентиль, регулирующий подачу газа; 5 — манометр; б — промывалка; 7 — горелка; 8— вогнутое зеркало; 9 линза; 10 — светофильтр (монохрома тор); 11—фотоэлемент (фотоумножитель); 12 — усилитель; 13 — стрелочный гальванометр.
ТЕОРИЯ НЕФЕЛОМЕТРИЧЕСКОГО И ТУРБИДИМЕТРИЧЕСКОГО МЕТОДОВ
В нефелометрическом и турбидиметрическом методах анализа использованы явления рассеяния или поглощения света твердыми или коллоидными частицами, находящимися в жидкой фазе во взвешенном состоянии.
Нефелометрическим методом анализа (нефелометрией) называют метод, основанный на измерении интенсивности светового потока, рассеянного твердыми частицами, находящимися в растворе во взвешенном состоянии.
Турбидиметрическим методом анализа (турбидиметрией) называют метод, основанный на измерении интенсивности потока, прошедшего через раствор, содержащий взвешенные частицы. Интенсивность уменьшается вследствие поглощения и рассеяния светового потока.
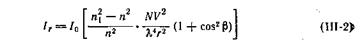
Рассеяние и поглощение света растворами, содержащими взвешенные частицы. Как указывалось в при рассмотрении фотометрического метода анализа, свет, проходя через раствор, отражается от достаточно крупных частиц, находящихся в растворе. Поэтому приведенное уравнение (П-1) принимает вид:
![]()
Значения обоих членов уравнения зависят от концентрации взвешенных частиц в растворе. Интенсивность рассеянного света Ir измеряется в нефелометрии, а ослабленного проходящего света It в турбидиметрии.
Интенсивность потока, рассеиваемого небольшими частицами, подчиняется уравнению Рэлея:
![]()

При нефелометрических исследованиях величины n, n1, r, b
остаются постоянными, и поэтому уравнение Рэлея может быть
написано в упрощенном виде:

Из уравнения (Ш-3) следует, что интенсивность рассеянного светового потока пропорциональна числу дисперсных частиц, т. е. концентрации определяемого вещества. На интенсивность рассеянного светового потока влияют не только количество, но и размеры частиц — обстоятельство, значительно усложняющее практическое выполнение нефелометрического анализа. Наконец, множитель 1/l4 показывает, что интенсивность рассеянного света быстро возрастает с уменьшением длины волны. Если анализируемую суспензию освещают белым светом, то в результате значительно большего рассеяния коротких волн рассеянный свет кажется голубым, в то время как проходящий свет имеет красноватый оттенок.

При турбидиметрических измерениях интенсивность прошедшего светового потока It может быть определена по уравнению
Условия работы. При нефелометрическом и турбидиметрическом анализе необходимо соблюдать ряд условий, определяющих успешность работы.
1. Вследствие того что при работе этими методами обычно применяют сильноразбавленные растворы, получаемые осадки, вернее взвеси, должны иметь ничтожную растворимость.
2. Как видно из приведенных уравнений, значения рассеянного и поглощенного света зависят от размеров частиц, находящихся в растворе. Следовательно, получение правильных результатов при анализе суспензий зависит от методики получения суспензий и от воспроизводимости их оптических свойств. На размеры частиц и оптические свойства суспензии влияют следующие факторы:
1) концентрация ионов, образующих осадок;
2) отношение между концентрациями смешиваемых растворов;
3) порядок смешивания растворов;
4) скорость смешивания;
5) время, требуемое для получения максимальной мутности;
6) стабильность дисперсии;
7) присутствие посторонних электролитов;
8) присутствие неэлектролитов;
9) температура;
10)наличие защитных коллоидов.
Таким образом, изучение всех этих факторов и стандартизация условий подготовки вещества к нефелометрическому определению необходимы для правильной работы.
3. Взвеси должны быть стойкими во времени, т. е. не оседать в течение достаточно длительного времени. Для увеличения стойкости взвесей часто применяют защитные коллоиды.
Все эти ограничения приводят к тому, что нефелометрические и турбидиметрические методы оказываются менее точными, чем описанные выше фотометрические. В практике аналитической химии они используются только в тех случаях, когда определяемые ионы или вещества нельзя определить фотометрическими методами, например сульфаты и хлориды, которые не дают устойчивых окрашенных соединений.
В некоторых случаях турбидиметрические определения проводятся методом стандартных серий, описанным в лекции по фотометрическим методам анализа. Однако необходимость создания постоянных условий определения делают этот метод очень неточным, полуколичественным. Наиболее точные результаты и в турбидиметрии, и в нефелометрии дают фотометрические методы измерения интенсивности света в различных вариантах.
Довольно широко применяется метод турбидиметрического титрования. При этом могут быть использованы только такие реакции, которые протекают быстро, например реакции образования хлорида серебра или сульфата бария, и не могут быть использованы реакции, проведение которых требует сложных операций.
АППАРАТУРА
Для полуколичественного турбидиметрического метода с применением стандартных серий можно использовать колориметрические пробирки, описанные в гл. II. Наблюдение мутности исследуемого и стандартного растворов ведут вдоль оси пробирки.
Для точных нефелометрических и турбидиметрических исследований применяют нефелометры или турбидиметры, построенные по принципу визуальных или фотоэлектрических колориметров.
ГОСТ 4389-72 Вода питьевая.
Методы определения содержания сульфатов.
ТУРБИДИМЕТРИЧЕСКИЙ МЕТОД
Сущность метода
Метод основан на определении сульфат-иона в виде сульфата бария солянокислой среде с помощью гликолевого реагента. Гликоль введенный в реакционную смесь при осаждении сульфата бария стабилизует образующуюся суспензию BaSO4 и делает возможным турбидиметрическое микроопределение сульфатов. Чувствительность метода 2 мг/л SO42-
Аппаратура, материалы и реактивы
1. КФК-2
2. Этиленгликоль
Подготовка к анализу
Гликолевый реагент—раствор хлористого бария в смеси гликоля и этанола. Для приготовления этого раствора смешивают один объем 5%-вого раствора хлористого бария с тремя объемами гликоля и тремя объемами 96%-ного этанола. Величину рН раствора регулируют соляной кислотой (1:1) в пределах 2? 5—2,8 и оставляют на на 1—2 суток. Раствор устойчив в течение 3—6 месяцев.
Проведение анализа
К 5 мл исследуемой пробы или концентрата воды, отобраннойв мерный цилиндр вместимостью 10 мл, прибавляют 1—2 мл соляной кислоты (1:1) и 5 мл гликолевого реагента, тщательно перемешивают. После 30 мин экспозиции измеряют оптическую плотность раствора фотоэлектроколориметром, в кюветах l=20мм и светофильтром с длиной волны 364 нм. Исследуемая проба воды с добавлением гликолевого реагента, приготовленного без хлорида бария, является раствором сравнения. Содержание сульфатов находят по калибровочной кривой.
Для построения калибровочной кривой в ряд мерных колб. вместимостью 50 мл вносят 0,0; 0,1; 0,2; 0,4; 0,6; 0,8; 1,0; 1,2; 1,4; 1,6; 1,8; 2,0 мл основного стандартного раствора сульфата калия (0,5 мг SO42- в 1 мл) и доводят объем до метки дистиллированной водой, Приготовленные растворы содержат; 0,0; 1,0; 2,0; 4,0; 6,0; 8,0; 10; 12; И; 16; 18; 20 мг/л S042-. Отмеривают по 5 мл из каждого раствора в мерные цилиндры вместимостью 10 мл (или в мерные колориметрические пробирки с отметкой 10 мл).
В каждый цилиндр с образцовым раствором прибавляют 1—2 капли НС1 (1:1) и 5 мл гликолевого реагента, тщательно перемешивают, через 30 мин измеряют оптическую плотность. Затем строят калибровочный график.
Другим примером является турбодиметрическое определение мутности по ГОСТ 3351-74, где основной стандартный раствор суспензии готовят из каолина или из трепела. Измерение проводят при длине волны 530нм. Стандартные растворы содержат от 0,1 до 5,0 мг/л. Анализ пробы осуществляют не позднее чем через 24ч. После отбора пробы. Проба консервируется добавлением 2-4 мл хлороформа на 1 л воды. Мутность не должна превышать 1,5 мг/л ( в паводковый период 2 мг/л). [8-13]
ГЛАВА 2. СОВРЕМЕННОЕ АППАРАТУРНОЕ ОФОРМЛЕНИЕ
Спектрофлуориметр “Флюорат-02-Панорама”
Назначение:
Анализатор жидкости ФЛЮОРАТ®-02-ПАНОРАМА применяется для аналитического контроля объектов окружающей среды, санитарного контроля и контроля технологических процессов. Принцип метода: Люминесценция, в том числе фосфоресценция, хеми(био)люминесценция; фотометрия. Измерение спектров люминесценции и/или оптического пропускания образцов. Измерение времени затухания люминесценции. Спектральная селекция осуществляется встроенными монохроматорами.
Экологические исследования.
Анализ спектральных характеристик, растворенных/ диспергированных в водных средах нефтепродуктов, идентификация источников загрязнения нефтепродуктами акваторий портов, рек и водоемов. Исследования процессов биодеградации нефтепродуктов в природных водоемах вод воздействием внешних факторов. Исследования биопродуктивности водоемов по флуоресценции хлорофилла-А.
Научные исследования.
Измерение спектральных характеристик свечения (спектры возбуждения, фотолюминесценции, синхронные спектры), определение времени затухания фосфоресценции. Исследования органических и неорганических люминесцирующих веществ, люминесцентных меток, внедрённых в биологические объекты.
Медицинские исследования.
Исследования свечения биопрепаратов, бактерий, вирусов, в т.ч. с возможностью использования ПЦР-технологии (с приставкой МИКРОСКАН).
Технология.
Контроль спектральных характеристик бумаги, в т.ч. используемой для печатания банкнот и ценных бумаг. Анализ спектральной чистоты люминофоров, иных люминесцирующих порошков.
Геология.
Исследования гидрогеологических процессов методом «флуоресцирующей метки».
Судебная экспертиза.
Анализ спектральных характеристик чернил, бумаги и т.п. объектов).
Достоинства прибора:
— наличие монохроматоров в каналах возбуждения и регистрации люминесценции
— Многофункциональность прибора
— широкий выбор дополнительных приставок для измерений вне кюветного отделения
— Программное обеспечение поставляется без дополнительной оплаты.
— Реализованы режимы хроматографических и спектральных измерений, измерений кинетики затухания люминесценции.
— Использование в качестве спектрофлюориметрического детектора для микроколоночной ВЭЖХ с программируемой перестройкой длины волны во время процесса хроматографического разделения.
— Возможность сканирования по каждому из монохроматоров как независимо, так и в режимах синхронного, асинхронного и двумерного спектрального сканирования.
— Измерение кинетики фосфоресценции с шагом 0,05 мкс до 7000 мкс.
Распространенные приложения спектрофлуориметра Флюорат® -02-Панорама:
— Спектрофлуориметрическое детектирование в HPLC: ПАУ, микотоксины, нитрозамины, аминокислоты, витамины, гормоны
— Спектрально-кинетические исследования материалов и процессов
— Спектрофлуориметрическое детектирование в иммуноанализе и ПЦР (с микропланшетной приставкой)
— Трехмерное и четырехмерное распознавание образов (идентификация подлинности)
Комплект поставки: В условия обязательной поставки входят наборы для анализа на каждый показатель. Состав набора: текст методики, светофильтры, кварцевая кювета, стандарт, спецреактивы (если необходимо). Может комплектоваться дополнительно: Приставка Крио-1, приставка «Лягушка» стандартная для регистрации обычных сигналов, приставка «Лягушка» эксклюзив для регистрации очень слабых сигналов, автоматическая планшетная приставка «Микроскан», приставка «Хобби» для фотометрических измерений вне кюветного отделения «Панорамы», ручная планшетная приставка «Микроскан», приставка ВЭЖХ-3 (в настоящее время отдельно не поставляется
Обучение: Пройти обучение работе с прибором Вы можете бесплатно, в Санкт-Петербурге
Технические характеристики:
Отношение сигнал/шум для комбинационного рассеяния воды на длине волны возбуждения 350 нм (регистрация 400 нм) при постоянной времени 2с., для приборов с разрешением 8 нм не менее | 100 | ||||||
| Погрешность установки монохроматоров, не более | 3 нм | ||||||
| Предел допускаемого значения абсолютной погрешности при измерении коэффициента пропускания образцов в диапазоне 10 — 90 % | 2 % | ||||||
| Предел допускаемого значения абсолютной погрешности при измерении массовой концентрации фенола в воде в диапазоне 0,01-25 мг/дм3 вычисляется по формуле: (С-концентрация) | 0,004+0,10*С мг/дм3 | ||||||
| Разрядность применяемого АЦП | 16 | ||||||
| Спектральное разрешение монохроматоров для спектральных применений | 8 нм | ||||||
| Спектральное разрешение монохроматоров для хроматографических применений | 15 нм | ||||||
| Спектральный диапазон в каналах возбуждения люминесценции и фотометрии | 210 — 840 нм | ||||||
| Спектральный диапазон в каналах возбуждения люминесценции и фотометрии (по специальному заказу) | 210 — 840 нм | ||||||
| Спектральный диапазон в канале люминесценции | 210 — 690 нм | ||||||
| Спектральный диапазон в канале люминесценции (по специальному заказу) | 210 — 840 нм | ||||||
| Спектральный диапазон в канале пропускания | 210 — 840 нм | ||||||
| Масса | 13 кг | ||||||
| Питание | 110 — 220 В | ||||||
| Потребляемая мощность | не более — 40 Вт |
ИК-Фурье спектрометр «ИнфраЛЮМ-ФТ-02»
Назначение:
Инфракрасный Фурье-спектрометр ИнфраЛЮМ® ФТ- 02 применяется для решения различных аналитических задач, по методу спектроскопии поглощения в средней инфракрасной области.
ИнфраЛЮМ® ФТ- 02 находит применение в:
Нефтехимия:
• Идентификация неизвестного вещества: Программа СпектраЛЮМ® указывает вещество, спектр которого наиболее близок спектру пробы. Библиотека спектров включается в комплект поставки или составляется пользователем.
• Определение чистоты сырья: Программа СпектраЛЮМ® выявляет отличие спектра пробы от эталонного спектра и оценивает степень чистоты пробы или выявляет фальсификацию.
• Определение фракционного состава: Программа СпектраЛЮМ® сравнивает спектр нефтепродукта и библиотечные спектры фракций. Восстанавливается кривая Энглера.
• Групповой и структурно-групповой состав: Программа СпектраЛЮМ® выявляет соотношение СН2 и СН3 групп. Определяются количественные характеристики структурных фрагментов алифатической и циклической частей «средней молекулы».
• Определение ароматических углеводородов в электроизоляционных маслах: Определение выполняется по ГОСТ 28640-90
• Определение бензола в бензине: Определение выполняется в соответствии с ASTM 4053-95
• Определение масла в жидком аммиаке: Определение выполняется по ГОСТ 28326.2-89
Экологический и санитарный контроль:
• Идентификация источника загрязнения водного объекта нефтепродуктами. Анализ выполняется по Инструкции Минприроды (приказ № 241 от 02.08.94 г.). Определение содержания нефтепродуктов в воде. Анализ выполняется согласно DIN 438409H18 и аттестованной методике М01-39-2000
• Определение присутствия озоноразрушающих веществ в газообразных пробах (аэрозолях, дезодорантах и т.д.) Методика разработана Госудрственной академией нефти и газа им. И.М.Губкина. Позволяет определить наличие озоноразрушающих веществ в газообразных пробах.
Фармацевтика и парфюмерная промышленность:
• определение подлинности лекарственных препаратов по ИК-стандартам
• контроль качества лекарственных препаратов по ИК-стандартам
• контроль органического сырья
Газовый анализ:
• экологический контроль атмосферного воздуха
• контроль воздуха рабочей зоны и выбросов промышленных предприятий
• определение состава природного газа и продукции газовой промышленности
• определение состава газов в химической и нефтехимической промышленности
• контроль токсичных газов в полупроводниковом производстве
• контроль следов примесей в газах медицинского назначения.
Криминалистика:
• Идентификация примесей и следовых количеств веществ
•Определение подлинности веществ
ИК Фурье-спектрометр ИнфраЛЮМ® ФТ- 02 имеет оригинальную конструкцию интерферометра. Он выполнен не на плоских зеркалах, как во всех других фурье-спектрометрах, а на сферических зеркалах, что на несколько порядков снижает требования к точности положения оптических элементов. На практике это приводит к тому, что заводская юстировка прибора сохраняется многие годы, и пропадает необходимость в обслуживании прибора высококвалифицированным специалистом-оптиком.
Достоинства прибора:
— Надежность работы за счет оригинальной конструкции интерферометра, снижающей требования к точности положения оптических элементов.
— Возможность реализации традиционных и стандартизованных методов спектрального анализа.
— Сравнение результатов со спектрами известных соединений при помощи библиотеки спектров, поставляемых в комплекте с программным обеспечением.
— Простота эксплуатации и широкие возможности для обработки спектров. Прибор легко управляется программой СпектраЛюм®, делая доступным работу с прибором даже неподготовленному персоналу. Программа автоматизирует процесс измерения, позволяя оператору в удобной форме получать информацию об образце, и имеет развитую систему просмотра и обработки полученных данных, анализа и отображения спектров.
Подготовка пробы:
• Для газового анализа: Проба воздуха отбирается в герметичный пакет и переносится в многоходовую газовую кювету. Программа СпектраЛЮМ® анализирует спектр и вычисляет концентрации компонент пробы. Продолжительность анализа пробы — 1 минута.
• Для фармацевтики и парфюмерной промышленности: Жидкие пробы измеряют в жидкостной кювете. Твердые пробы измельчают, смешивают с KBr и с помощью пресса формуют из полученного порошка таблетку, которую измеряют в специальном держателе таблеток.
Преимущества при работе на ИнфраЛЮМ® ФТ- 02
• возможность экспресс-определения качества продукции
• значительная часть образцов может анализироваться без предварительной подготовки
• универсальность и селективность. Благодаря универсальности ИК спектров веществ и использования широкого спектрального диапазона можно проводить идентификацию и измерение концентраций большого количества различных газообразных веществ, например, окислы углерода, азота, серы, аммиак, метан, сероводород, пары органических растворителей, CДЯВ.
• высокая чувствительность. Применение многопроходной газовой кюветы в сочетании с высоким отношением сигнал/шум фурье-спектрометра позволяет регистрировать примеси на уровне 0.1-1 ppm.
• большой динамический диапазон. Варьируя длину оптического пути газовой кюветы можно регистрировать компоненты газовой смеси в диапазоне концентраций 10-4 до 100%.
• автоматизация измерений. Высокое быстродействие фурье-спектрометра позволяет получать данные о составе газа с периодичностью 30-60 с. Благодаря наличию компьютера измерения проводятся автоматически, а полученные данные могут непрерывно передаваться а АСУ для управления технологическим процессом.
• возможность быстрой идентификации продукции
Рекомендуемый комплект поставки:
— ИК Фурье-спектрометр ИнфраЛЮМ® ФТ- 02
— программный комплекс СпектраЛЮМ®
— расширитель параллельного порта
— набор необходимых кювет (по перечню Заказчика; возможно использование стандартных кювет и приставок)
— PCI-карта расширителя параллельного порта
Дополнительно заказываются: разборные и неразборные жидкостные кюветы, газовые кюветы, пресс и пресс-формы для изготовления таблеток КВr, держатели для тонких пленок, приставки МНПВО. Также могут использоваться аксессуары других производителей, в частности PIKE.
Технические характеристики:
| Отклонение линии 100% пропускания от номинального значения на частоте 1000 см-1 (среднее по интервалу ± 50 см-1) | 0,2 % |
| Отклонение линии 100% пропускания от номинального значения на частоте 2100 см-1 (среднее по интервалу ± 50 см-1) | 0,2 % |
| Отклонение линии 100% пропускания от номинального значения на частоте 4500 см-1 (среднее по интервалу ± 50 см-1) | 0,4 % |
| Отклонение линии 100% пропускания от номинального значения на частоте 550 см-1 (среднее по интервалу ± 50 см-1) | 0,2 % |
| Предел допускаемого значения абсолютной погрешности измерений волновых чисел | 0,02 см-1 |
| Разрешение | 0,5 — 1; 2; 4; 8; 16 см-1 |
| Спектральный диапазон | 400 — 7500 см-1 |
| Стандартное время измерения спектра | 60 с |
| Уровень положительного и отрицательного псевдорассеянного света, вызванный нелинейностью фотоприемной системы | 0,25 % |
| Уровень шумов линии 100% пропускания на частоте 1000 см-1, определяемый в интервале ± 50 см-1 | 0,05 % |
| Уровень шумов линии 100% пропускания на частоте 2100 см-1, определяемый в интервале ± 50 см-1 | 0,07 % |
| Уровень шумов линии 100% пропускания на частоте 4500 см-1, определяемый в интервале ± 50 см-1 | 0,3 % |
| Уровень шумов линии 100% пропускания на частоте 550 см-1, определяемый в интервале ± 50 см-1 | 0,3 % |
| Габариты | 580*515*295 мм |
| Масса | 37 кг |
| Питание | 220 В |
| Потребляемая мощность | 80 Вт |
| Частота тока | 50 Гц |
МИКРОПЛАНШЕТНЫЙ ФОТОМЕТР-ФЛУОРИМЕТР ФФМ-01
Предназначен для клинических и исследовательских лабораторий, использующих современные методы анализа биологических молекул – белков и нуклеиновых кислот.
Основные приложения прибора – детектирование продуктов полимеразной цепной реакции (ПЦР), иммуноферментный анализ (ИФА), флуоресцентный биохимический анализ.
Двухлучевая оптическая схема
Источник излучения – вольфрамовая галогенная лампа
Для работы в УФ области возможна комплектация прибора дополнительным источником излучения – малогабаритной дейтериевой лампой.
Режимы измерений – флуоресценция, абсорбция
Возможность работы с 96, 192 и 384 луночными планшетами, настройка прибора под конфигурацию планшета осуществляется компьютером
При измерении флуоресценции
Интерференционные светофильтры | Возбуждение, нм | Регистрация, нм | Красители |
| 485 | 538 | FITC, 5-FAM | |
| 546*) | 607*) | 5-TAMRA | |
| *) не входит в стандартный комплект поставки. |
При измерении абсорбции интерференционные светофильтры на длины волн – 260 нм*), 405 нм, 450 нм, 492 нм, 630 нм ( *) не входит в стандартный комплект поставки).
Полоса пропускания светофильтров Δλ1/2 =8±2 нм.
В диапазоне от 0 до 0,5 Б
| СКО, Б, | не более | 0,002 |
| Систематическая составляющая погрешности, Б, | не более | 0,01 |
В диапазоне от 0,5 до 3 Б
| Относительное СКО, % | не более | 0,5 |
| Относительная систематическая составляющая погрешности, %, | не более | 2,5 |
Возможен двухволновой режим регистрации, при котором оптическая плотность на рабочей длине волны измеряется относительно длины волны сравнения.
ФФМ-01 представляет собой открытую систему, т.е. может быть программным путём адаптирован к различным тест-наборам. Возможна дополнительная комплектация прибора интерференционными светофильтрами на другие длины волн для режимов флуоресценции и абсорбции.
Программное обеспечение работает в операционной среде Windows 95/98/2000 и поддерживает:
o Все необходимые операции, связанные с приёмом и обработкой данных, в том числе цифровую фильтрацию данных и учёт дрейфа источника излучения;
o Полное управление прибором и подбор оптимальных условий анализа с помощью ПК;
o Настройку приборов под конфигурацию микропланшета;
o Создание и сохранение методик с последующей автоматической настройкой прибора на проведение анализа по выбранной методике;
o Получение в реальном времени информации о состоянии прибора;
o Подбор калибровочных зависимостей по методу наименьших квадратов с использованием различных алгоритмов аппроксимации, расчёт концентраций;
o Обработку и хранение результатов измерений, в том числе разбиение диапазона
o
попадающих в разные интервалы, соответствующими цветами;
o Формирования протоколов (отчётов) и вывод их на печать, экспорт результатов в Excel.
| Габаритные размеры, мм, | не более | 450 x 360 x 345 |
| Масса, кг, | не более | 30 |
| Потребляемая мощность, Вт, | не более | 90 |

Тест-системы для ФФМ
Прибор внесён в Госреестр средств измерений РФ и зарегистрирован в качестве изделия медицинской техники.
| Приборы спектрального и флуориметрического анализа | |
| Квант-2А атомно-абсорбционный спектрометр в набор входит спектральная лампа | 14 800 у.е. |
| Квант-2АГРГ атомно-абсорбционный спектрометр для количественного элементного анализа ртути и гидридообразующих элементов | 9 100у.е. |
| ГРГ-105П генератор ртутно-гидридный | 1 350 у.е. |
| БПИ-01 блок проточно-инжекционный | 1 880у.е. |
| СА-13МП атомно-абсорбционный спектрофотометр | 10 200у.е. |
| СА-10МП атомно-абсорбционный спектрофотометр с пламенным вольфрамовым спиральным атомизаторами | 12 900у.е. |
| ФСМ-1201 инфракрасный фурье-спектрометр | 14 500у.е. |
| Spectroscan-LF портативный спектрометр кристаллдифракционный сканирующий орт Ca до U | 25 000у.е. |
ГЛАВА 3. ОБЗОР WEB – САЙТОВ ФИРМ – ПРОДАВЦОВ ХИМИКО-АНАЛИТИЧЕСКОГО ОБОРУДОВАНИЯ
«AGILENT.RU»
Современное тестовое, измерительное и мониторинговое оборудование для разработки, изготовления и внедрения новых электронных приборов и технологий...
«АКАДЕМЛАЙН», ЗАО, Москва
Поставляет широкую номенклатуру измерительного химико-аналитического оборудования...
«АКТАКОМ»
Зарегистрированная торговая марка АКТАКОМ объединяет в себе широкий спектр контрольно-измерительной аппаратуры мирового класса. Все лучшее от зарубежных и отечественных производителей...
«АНАЛИТПРИБОР»
Предлагает газоанализаторы
«ВАТСОН», АО, Мытищи Московской обл.
Приборы и средства измерений;
«ДИПОЛЬ», НПФ, Санкт-Петербург
«ЕвроЛаб СПб», ООО, Санкт-Петербург
Приборы спектрального анализа, хроматографы.
«IZME.RU»
«ИНСОВТ», ЗАО
Разработка и производство газоанализаторов
«Институт информационных технологий», Минск, Беларусь
Специализируется на разработке и производстве измерительных приборов для волоконной оптики...
«КИПАРИС», ООО, Санкт-Петербург
«КОНТИНЕНТ», Гомель
«Контрольно-измерительные приборы и оборудование», Волгоград
«Контур», ИТЦ, ООО, Новосибирск
«КрайСибСтрой», ООО, Красноярск
«Крисмас+», ЗАО, Санкт-Петербург
«КУРС», ООО, Санкт-Петербург
«ЛЮМЭКС», Санкт-Петербург
«МЕТТЕК»
«МЕТТЛЕР ТОЛЕДО»
www.mt.com
«МОНИТОРИНГ», НТЦ, Санкт-Петербург
«Научные приборы», ОАО, Санкт-Петербург
«НеваЛаб», ЗАО, Санкт-Петербург
«ОВЕН», ПО, Москва
«ОКТАВА+», Москва
«ОПТЭК», ЗАО, Санкт-Петербург
Разрабатывает и производит газоанализаторы и аналитические системы различного назначения для использования в экологии, промышленности и научных исследованиях...
«ПОЛИТЕХФОРМ», Москва
«Практик-НЦ», ОАО, Москва, Зеленоград
«ПРИБОРЫ И АНАЛИТИЧЕСКАЯ ТЕХНИКА»
Приборы для химического анализа.
«Сартогосм», ЗАО, Санкт-Петербург
«Специал», ЗАО, Москва
«ТКА»
«ТСТ», ЗАО, Санкт-Петербург
«ЭКОПРИБОР», НПО, Москва
Предлагает газоанализаторы и газоаналитические системы...
«ЭКОТЕХ», МСП, Украина
«ЭКОТЕХИНВЕСТ», НПФ, Москва
«Эксис», ЗАО, Москва, Зеленоград
«ЭЛИКС»
«ЭМИ», ООО, Санкт-Петербург
Производство оптических газоанализаторов, анализаторов нефтепродуктов.
«ЭНЕРГОТЕСТ», ЗАО, Москва
www.energotest.ru, www.eneffect.ru
ХИММЕД
Аналитические приборы и хроматография
е-mail: mail@chimmed.ru
Литература
1. Булатов М.И., Калинкин И.П. Практическое руководство по фотометрическим методам анализа -5-е изд., перераб.- Л.: Химия, 1986. — 432 с.
2. Булатов М.И., Калинкин И.П. Практическое руководство по фотоколориметрическим и спектрофотометрическим методам анализа, изд. 4-е, пер. и доп., Л., «Хиимя», 1976. -376с.
3. Пилипенко А.Т., Пятницкий И.В. Аналитическая химия. В двух книгах: кн..1 – М.: Химия, 1990. -480с.
4. Пилипенко А.Т., Пятницкий И.В. Аналитическая химия. В двух книгах: кн..2 – М.: Химия, 1990. -480с.
5. Васильєв В.П. Аналитическая химия. В 2 ч. Ч. 2. Физико – химические методы анализа: Учеб. для Химко – технол. спец. вузов. – М.: Высш. шк., 1989. – 384с.
6. Топорец А.С. Монохроматоры. М.: Гостехтеориздат, 1955. — 264 с.
7. Шишловский А. А. Прикладная физическая оптика. М.: Физматгиз, 1961. — 811 с.
8. Оптические спектральные приборы. Л.: Энергия, 1975. — 136 с.
9. Толмачев Ю.А. Новые спектральные приборы. Принципы работы. Л.: ЛГУ, 1976. — 126 с.
10. Ландсберг Г.С. Оптика. М.: Наука, 1976. — 928 с.
11. Жи глинский А. Г., Куч и иски и В. В. Реальный интерферометр Фабри -Перо. Л.: Машиностроение, 1983. — 176 с.
12. Скоков И. В. Оптические спектральные приборы. М.: Машиностроение, 1984. — 239 с.
13. Скоков И.В., Журавлев Д.А., Журавлева В.П. Проектирование дифракционных спектрографов. М.: Машиностроение, 1991. – 435 с.
14. Конец формы