Реферат: Основные характеристики воды и их определение
ОСНОВНЫЕ ХАРАКТЕРИСТИКИ ВОДЫ И ИХ ОПРЕДЕЛЕНИЕ
1. Концентрация ионов водорода
Концентрацию ионов водорода (вернее, их активность) выражают величиной рН. В сточных водах рН определяют электрометрическим способом, пользуясь стеклянным электродом. Метод основан на том, что при изменении рН на единицу потенциал стеклянного электрода изменяется при 25 °С на 59,1 мВ, при 20 ºС на 58,1 мВ.
Для измерения рН выпускаются специальные приборы — рН-метры (например, ЛП-5, МТ-58, ЛПУ-01 и др.), к которым прилагаются инструкции по их применению.
Стеклянные электроды этих приборов должны быть прокалиброваны по буферным растворам, имеющим определенные значения рН. Поскольку зависимость между потенциалом электрода и значением рН раствора, в который он погружен, линейна, для калибрования достаточно было бы двух буферных растворов. Все же отклонения от линейной зависимости иногда наблюдаются, поэтому желательно проведение сравнения с буферным раствором, рН которого возможно более близок к рН анализируемой сточной воды. Поэтому ниже приводятся способы приготовления нескольких буферных растворов, имеющих различные значения рН.
Буферный раствор, рН = 1,68 при 20 «С. Растворяют 12,710 г гидрооксалата калия КНз(С204 )2 -2Н2 0 чда в свежепрокипяченной и охлажденной дистиллированной воде и доводят при 20 °С объем до 1 л.
Буферный раствор, рН = 4,00 при 20 °С (4,01 при 25 °С). Растворяют 10,211 г высушенного при 110 °С гидрофталата калия КНС8 Н4 04 чда в свежепрокипяченной и охлажденной дистиллированной воде и доводят объем при 20 °С до 1 л.
Буферный раствор, рН = 6,88 при 20 °С (6,86 при 25 °С). Растворяют 3,40 безводного дигидрофосфата калия КН2 Р04 и 3,55 г безводного гидрофосфата натрия Na2 HP04, предварительно высушенных при 110—130 °С, в свежепрокипяченной и охлажденной дистиллированной воде и доводят объем при 20 °С до 1 л.
Буферный раствор, рН = 9,23 при 20 „С (9,18 при 25 °С). Растворяют 3,814 г Na2 B4 C>7- 10Н2 О чда, сохранявшегося продолжительное время над расплывающимися кристаллами бромида натрия, в свежепрокипяченной и охлажденной дистиллированной воде и доводят объем при 20 °С до 1 л.
Буферный раствор, рН=11,0 при 20 °С. Приготовляют два раствора: 1) растворяют 12,367 г борной кислоты Н3 В03 в свежепрокипяченной и охлажденной дистиллированной воде, приливают 100 мл 1 н. раствора едкого натра н разбавляют до 1 л; 2) приготовляют точно 0,1 н. раствор едкого натра NaOH. Затем смешивают 501 мл раствора 1 с 499 мл раствора 2.
Буферные растворы хранят в склянках из полиэтилена или стекла типа “пирекс».
При использовании рН-метров для определения рН сточных вод необходимо уделять особое внимание чистоте обоих электродов, поскольку сточные воды часто содержат жиры, масла, нефтепродукты и другие вещества, покрывающие электроды пленками. Электрод следует обтирать тонкой, мягкой тканью, смоченной эфиром или раствором синтетического моющего вещества, затем промывать несколько раз дистиллированной водой, вытирая после каждого промывания таким же куском ткани для удаления моющего вещества. При необходимости электрод регенерируют, погружая его на 2 ч в 2%-ный раствор соляной кислоты, и тщательно промывают дистиллированной водой. В нерабочее время электрод следует хранить в дистиллированной воде.
2. Грубодисперсные примеси (взвешенные вещества), сухие и прокаленные
Сточные воды содержат обычно кроме истинно растворенных веществ также коллоидно-растворенные и суспендированные (взвешенные) частицы различной степени дисперсности. О степени дисперсности можно составить некоторое представление (весьма приближенное) по внешнему виду исследуемой воды, который характеризуют словами: «вода мутная», «вода опалесцирует», «вода содержит грубую взвесь». Такие качественные описания имеют некоторую ценность, поэтому их следует включать в протокол исследования сточных вод, но перечисленные термины требуют уточнения.
Опалесцирующей называют воду, прозрачную в проходящем свете, но мутную в отраженном свете; мутной называют воду, непрозрачную и в проходящем свете, отдельные взвешенные частицы в ней неразличимы невооруженным глазом, и при отстаивании в течение 5—6 ч взвешенные частицы из раствора не выделяются; грубой взвесью называют частицы, заметные невооруженным глазом, более или менее полно выделяющиеся из раствора при отстаивании его в течение 5—6 ч.
Рекомендуется название обозначения сопровождать добавлениями: «слабая», «заметная», «значительная» и т. п. Следует отметить также цвет взвешенных частиц или осадка и присутствие всплывшей на поверхность воды пленки, если такая пленка будет замечена.
Количественное определение глубокодисперсных примесей следует, по возможности, проводить сейчас же после отбора пробы, лишь в исключительных случаях применяя консервирование пробы (см. разд. 3.2). Для определения примесей их отделяют, фильтруя воду через различные пористые материалы,— мембранные фильтры, стеклянные, кварцевые или фарфоровые фильтрующие пластинки, бумажные фильтры не рекомендуются вследствие гигроскопичности фильтровальной бумаги.
Поскольку размеры пор в указанных материалах различны, определение грубодисперсных примесей в одной и той же воде (но с применением разных фильтров) может привести к различным результатам, и само понятие «количество грубодисперсных примесей» становится неопределенным. Поэтому рекомендуется всегда в записи результатов анализа указывать, через какой фильтрующий материал проводилось фильтрование.
Эти фильтры негигроскопичны (в отличие от бумажных), фильтрование через них происходит быстро. Применение мембранных фильтров особенно рекомендуется при определении небольших количеств грубодисперсных примесей.

3. Определение фильтрованием через мембранный фильтр
Приборы
Прибор для фильтрования. Для фильтрования через мембранные фильтры имеется большое число различных приборов. Очень удобен прибор Олихова, показанный на рис. 1. Этот прибор может быть легко собран в любой лаборатории.
Стеклянная трубка 1 прочно закреплена в своем гнезде (например, при помощи расплавленной серы). Отверстие в металлической части оправы 2 закрыто сверху латунной сеткой.
Кроме прибора Олихова можно применять прибор Зейтца с металлической трубкой вместо стеклянной трубки 1.
Мембранные фильтры № 6, так называемые «предварительные». Для удаления имеющегося в их порах воздуха фильтры кипятят в дистиллированной воде 5—10 мин. Кипячение проводят 2—3 раза, сливая после каждого раза воду и заменяя ее свежей, после чего фильтры подсушивают в сушильном шкафу 1 ч при 60 °С. Ход определения. Содержание грубодисперсных примесей. Подготовленный мембранный фильтр, высушенный в сушильном шкафу при 60 °С, взвешенный на аналитических весах и помеченный карандашом, помещают в прибор для фильтрования. Через фильтр пропускают 100—500 мл исследуемой воды (объем воды зависит от количества грубодисперсных примесей). Если фильтрат недостаточно прозрачен, его вторично пропускают через тот же фильтр. Необходимый вакуум в приборе достигается при помощи водоструйного или масляного насоса, можно также отсасывать воздух ртом или резиновой грушей.
Приставший к стенкам прибора осадок смывают на мембранный фильтр порцией фильтрата. Промывание осадка на фильтре дистиллированной водой не допускается. По окончании фильтрования фильтр с осадком подсушивают сначала на воздухе, а затем в сушильном шкафу при 60 °С в течение 1 ч, после чего взвешивают.
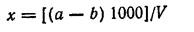
Расчет. Содержание грубодисперсных примесей (х) в мг/л вычисляют по формуле
![]()
где а — масса мембранного фильтра с осадком, мг; b — масса мембранного фильтра без осадка, мг; V — объем профильтрованной анализируемой сточной воды, мл.
Остаток после прокаливания. Для определения остатка после прокаливания грубодисперсных примесей (прокаленных грубодисперсных примесей) взвешенный мембранный фильтр берут тигельными щипцами или пинцетом и очень осторожно сжигают над фарфоровым тиглем, предварительно прокаленным и взвешенным. Золу прокаливают 5—20 мин в том же тигле.
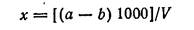
Расчет. Содержание прокаленных грубодисперсных примесей (х) в мг/л вычисляют по формуле
![]()
где с — масса фарфорового тигля с золой, мг; d — масса пустого фарфорового тигля, мг; V — объем профильтрованной анализируемой воды, мл.
При прокаливании пустого мембранного фильтра получается так мало золы, что ею при расчете можно пренебречь.
4. Определение фильтрованием через фильтрующие тигли
Для фильтрования могут быть применены стеклянные и кварцевые фильтрующие тигли № 4 и фарфоровые тигли с пористым дном.
Стеклянные фильтрующие тигли используют только тогда, когда ограничиваются определением в сточной воде содержания грубодисперсных примесей, высушивая их при 100—105 °С и взвешивая. Если же необходимо затем определить массу остатка после прокаливания этих примесей, надо применять кварцевые или фарфоровые тигли.
Перед определением фильтрующий тигель (стеклянный, кварцевый или фарфоровый) тщательно промывают дистиллированной водой, высушивают 1 ч при 100—105 °С, охлаждают в эксикаторе и взвешивают. Затем соединяют тигель при помощи пробки или резиновой муфты с колбой Бунзена, которую присоединяют к водоструйному насосу.
Ход определения. Содержание грубодисперсных примесей. Пропускают через тигель 100—500 мл (в зависимости от содержания грубодисперсных примесей) исследуемой сточной воды при небольшом вакууме. Приставшие к посуде частицы смывают порцией фильтрата и переносят в тот же тигель. После фильтрования тщательно вытирают наружные стенки тигля, высушивают его 2 ч при 100—105 °С и по охлаждении взвешивают. Высушивание повторяют несколько раз до достижения постоянной массы.
Остаток после прокаливания. Прокаливать фарфоровый или кварцевый тигель с отфильтрованными грубодисперсными примесями рекомендуется в электрической муфельной печи 10—15 мин при 600 °С.
5. Кинетика выпадения и всплывания грубодисперсных примесей
При расчете отстойных сооружений (отстойников для взвешенных веществ и смол, ловушек для масел и нефтепродуктов, шламонакопителей и т. п.) требуются данные о скорости осаждения или всплывания (о так называемой гидравлической крупности) взвешенных частиц, обеспечивающей необходимую или возможную степень очистки воды. Такую скорость определяют на основании кинетики осаждения или всплывания грубодисперсных примесей.
Кинетику осаждения или всплывания следует определять сейчас же после отбора проб сточных вод, так как только в этих случаях получаются результаты, которые могут быть использованы для расчетов аппаратуры. Объясняется это тем, что и содержание грубодисперсных примесей, и дисперсность нерастворимой в воде фазы изменяются при стоянии. Образуются смолы из веществ, растворимых в воде, могут образоваться осадки вследствие выделения водой диоксида углерода или, наоборот, вследствие поглощения ею СО2 из воздуха, может произойти агломерация частиц взвешенного осадка, что отразится на кинетике их выпадения, и т. д. Плотность одной и той же смолы при разных температурах может быть больше или меньше единицы, т. е. при одной температуре смола окажется тонущей, при другой —всплывающей.
Роль температуры воды настолько велика, что во многих случаях рекомендуется определять кинетику выпадения для двух крайних из возможных температур — максимальной и минимальной. За максимальную температуру можно принять ту, при которой сточная вода поступает в отстойник, а за минимальную условно можно принять 16—20 °С.
Измерение объема, занимаемого осевшими (или всплывшими) грубодисперсными примесями
Тщательно перемешав анализируемую сточную воду, переносят ее в цилиндр Лысенко вместимостью 500 или 1000 мл, наливая до верхней метки, еще раз перемешивают и через определенные промежутки времени (например, через 5, 10, 15, 20, 30, 45, 60, 90 и 120 мин) отмечают объем, занимаемый осевшими частицами. Через 20 мин от начала отстаивания и за 3 мин до всех последующих измерений осторожно 3 раза придают жидкости в сосуде вращательное движение. Если через 2 ч сточная вода полностью не отстоялась, продолжают наблюдения (в течение 3— 12 ч).
Результаты определения выражают в виде отношения (в процентах) объема, занимаемого выпавшим осадком, к объему взятой для определения сточной воды. Эту величину находят для каждого времени отстаивания.
Полученные результаты представляют обычно в виде кривых, откладывая по оси абсцисс время от начала опыта, в течение которого происходило отстаивание, а по оси ординат — указанное выше процентное отношение.
Происходящее с течением времени уплотнение собравшегося на дне цилиндра осадка и, следовательно, уменьшение занимаемого им объема приводит к искажению получаемых этим методом результатов оседания грубодисперсных примесей. Получаемая в таком случае кривая не может характеризовать скорость оседания грубодисперсных примесей, и потому для расчета отстойников непригодна. Но если осадок из отстойника периодически удаляется, такую кривую можно использовать для расчета объема шламонакопителя. При определении этим методом кинетики всплывания легких грубодисперсных примесей применяют цилиндр Лысенко с хорошо: притертой пробкой. Цилиндр заполняют доверху анализируемой сточной водой (последняя должна переливаться через край), закрывают цилиндр пробкой, следя за тем, чтобы в жидкости не осталось пузырьков воздуха и, перевернув его пробкой вниз, оставляют стоять. Через те же промежутки времени, что и при oпределении кинетики оседания тяжелых частиц, отмечают объем всплывших на поверхность частиц смолы или других всплывающих веществ, после чего вычерчивают кривую, аналогичную описанной выше.
6. Сухой остаток
Сухой остаток — это масса остатка, получаемого выпариванием профильтрованной пробы сточной воды и высушиванием при 103—105 °С или 178—182 °С. Величина эта должна выражать суммарное количество растворенных в пробе веществ, неорганических и органических. Получаемые результаты, однако, удовлетворяют этому требованию лишь приближенно, при какой бы из указанных двух температур ни проводилось высушивание остатка.
Если остаток высушивали при 103—105 °С, то в нем сохранится вся или почти вся кристаллизационная вода солей, образующих кристаллогидраты, а также частично и окклюдированная вода. С другой стороны, при выпаривании и высушивании удаляются все летучие с водяным паром органические вещества, растворенные газы, а также С02 из гидрокарбонатов, которые при этом превратятся в карбонаты.
Если остаток высушивали при 178—182 °С, то окклюдированная вода будет удалена полностью. Кристаллизационная вода также удалится, но некоторое количество может остаться, особенно когда в пробе присутствуют преимущественно сульфаты. Гидрокарбонаты превратятся в карбонаты, но последние могут частично разложиться с образованием оксидов или оксисолей. Может произойти незначительная потеря нитратов. Органические вещества теряются в большей мере, чем в первом случае.
Высушивание при 178—182 °С следует предпочесть при анализе вод, содержащих преимущественно неорганические соли, так как тогда получаемый результат приближается в большей мере к сумме результатов отдельных определений катионов и анионов в пробе.
Ход определения. В прокаленную, охлажденную и взвешенную фарфоровую или кварцевую чашку помещают 50—250 мл анализируемой сточной воды, предварительно профильтрованной. Воду выпаривают на водяной бане досуха. Затем переносят чашку с остатком в сушильный шкаф и высушивают при 103—105 °G или 178—182 °С до постоянной массы.
Расчет. Содержание сухого остатка (х) вмг/л вычисляют по формуле
![]()
7. Прокаленный остаток
Цель этого определения — получить приближенное представление о содержании органических и неорганических веществ в пробе (в мг/л): при прокаливании органические вещества удаляются, неорганические остаются. Однако такое разделение далеко не точно. Вместе с органическими веществами при прокаливании удаляются СО2 из карбонатов, кристаллизационная вода, оставшаяся после высушивания остатка, все аммонийные соли. Частично, с выделением газообразных продуктов, могут разложиться и другие неорганические вещества. С другой стороны, часть органических веществ (летучие с водяным паром) исчезнет еще в первой операции — высушивании осадка, и поэтому не будет здесь учтена.
Ход определения. Чашку с сухим остатком помещают в муфельную печь, предварительно разогретую до 575—600°С, и прокаливают 15—20 мин. Затем дают остыть сначала немного на воздухе, потом в эксикаторе. После полного охлаждения чашку с остатком взвешивают. Прокаливание повторяют до достижения постоянной массы. Рассчитывают результат по той же формуле, что и при определении сухого остатка.
8. Пенистость
Пенистость воды, т. е. способность сохранять искусственно созданную пену на поверхности исследуемой пробы, можно использовать для качественной оценки присутствия таких веществ, как сапонины или сапонаты натурального и искусственного происхождения.
Ход определения. Пробу воды 500 мл вливают в колбу вместимостью 1 л с притертой пробкой, затем колбу закрывают и интенсивно взбалтывают 30 с. Результат определения расценивают как положительный в том случае, если пена, образовавшаяся при взбалтывании пробы, сохраняется на поверхности в колбе больше 1 мин. Значение рН пробы при определении должно быть в пределах 6,5—8,5.
9. Щелочность
Щелочностью называют содержание в воде веществ, вступающих в реакцию с сильными кислотами, т. е. с ионами водорода. К этим веществам относят: 1) сильные основания, полностью диссоциирующие в разбавленных растворах с образованием гидроксид-ионов (едкий натр, едкое кали и т. п.); 2) слабые основания (аммиак, анилин, пиридин и т. п.); 3) анионы слабых--кислот (НСОз, ОСз, Н2 РО4 ~, НРОГ, HSO3, SO3, анионы гуминовых кислот, HS-, S2- и т. д.). Анионы слабых кислот гидролизуются с образованием гидроксид-ионов, например:
![]()
При титровании веществ второй группы соляной кислотой в конце титрования раствор должен содержать соответствующие этим основаниям положительно заряженные ионы, например;
![]()
которые, гидролизуясь, придают
раствору слабокислую реакцию:
Слабокислая реакция создается в растворе и в конце титрования анионов, входящих в третью группу, так как при таком титровании образуются соответствующие слабые кислоты, частично диссоциирующие с образованием ионов водорода, например:
![]()
По этой причине для определения общей щелочности воды надо применять индикатор, цвет которого изменяется в слабокислой среде, или проводить титрование потенциометрическим методом.
Наиболее подходящим индикатором является метиловый желтый, цвет которого изменяется от желтого к красному в границах рН=4,0—2,9 довольно резко, или бромфеноловый синий, если титрование с ним проводить до чисто желтого цвета. Несколько менее пригоден метиловый оранжевый, переход окраски которого менее резок. При пользовании этим индикатором рекомендуется добавлять несколько капель раствора синего красителя, не обладающего индикаторными свойствами (например, индигокармица). Тогда переход окраски становится более отчетливым (особенно это заметно при вечернем освещении). При титровании анионов относительно более слабых кислот (рК=7—8) можно применять и метиловый красный или бромкрезоловый зеленый. При титровании анионов относительно сильных кислот (рК = 4) приходится применять такие индикаторы, как тропеолин 00 или тимоловый синий, но точность определения при этом уменьшается.
Веществ, титруемых соляной кислотой, довольно много, поэтому общая щелочность воды недостаточно характеризует ее состав. Весьма желательным бывает определить, из каких веществ, или хотя бы из каких групп веществ складывается найденная общая щелочность. Во многих случаях такие раздельные определения удается сделать. Они основаны прежде всего на том, что при титровании сильной кислотой реакции, протекающие между нею и различными веществами, обусловливающими щелочность воды, Заканчиваются при различных значениях рН раствора. Следовательно, если проводить титрование потенциометрически, т. е. при Непрерывном измерении рН раствора, то на кривой объем прибавленной кислоты — рН раствора получится несколько точек перегиба, видных более или менее отчетливо. Второй способ раздельного определения основан на том, что некоторые основания могут быть отогнаны путем продолжительного кипячения (летучие основания) и что после прибавления избытка титрованного раствора сильной кислоты можно отогнать летучие кислоты, анионы которых вызвали щелочность воды. Комбинируя оба способа, можно определить содержание в воде нескольких различных групп веществ, обусловливающих ее щелочность, а если этих веществ мало, найденное содержание той или иной группы может оказаться в то же время содержанием отдельного вещества. Разумеется, при этом необходимо предварительно знать качественный состав сточной воды. В большинстве случаев качественный состав сточной воды известен по ее происхождению, т. е. известно, от какой производственной операции эта сточная вода была получена; в других случаях приходится проводить предварительное исследование качественного состава воды.
Потенциометрическое титрование часто может быть заменено бычными титрованиями, проводимыми с двумя индикаторами, интервалы перехода которых находятся в разных областях рН. Одним из них является индикатор, применяемый для определения бидей щелочности, его окраска изменяется в кислой среде (рН " 3—4), другой индикатор должен иметь интервал перехода краски в щелочной среде. Чаще всего применяют фенолфталеин, пурпурная окраска которого появляется или исчезает при рН = 8,4- Этот индикатор имеет особую ценность в данном случае, отому что указанное значение рН соответствует тому рН, который имеют растворы чистых гидрокарбонатов (НСОз), постоянно присутствующих в водах. Если сточная вода при добавлении к ей фенолфталеина окрашивается в пурпурный цвет, это указывает на присутствие в ней загрязнений сильнощелочными вещетвами. Содержание этих загрязнений определяют, титруя такую оду до исчезновения окраски фенолфталеина. Однако в ряде случаев вместо фенолфталеина лучше применять тимолфталеин и таим образом устанавливать границу разделения при рН = 9,4.
Проводя титрования с двумя индикаторами и отгоняя летучие вещества, можно выделить следующие группы веществ, обусловливающих щелочность воды.
Летучие основания. В водах, содержащих сильные щелочи NaOH, КОН) и летучие основания (например, NH4 OH), последив могут быть отделены достаточно продолжительным кипячением, после которого пробу охлаждают, не допуская поглощения СО2 из воздуха, и титруют кислотой. Разность между результатами титрования, полученными без предварительного кипячения после кипячения, показывает содержание летучих оснований.
Еще лучше, отгоняя летучие основания, поглощать их раствором борной кислоты или титрованным раствором сильной кислоты и заканчивать определение.
2. Сумма гидроксил-ионов (едких щелочей) и анионов, обусловливающих в результате гидролиза в водном растворе рН > 8,4. Эту группу веществ определяют титрованием анализируемой воды кислотой с индикатором фенолфталеином. В нее входят ионы ОН, СОз (титруются до НСОз), S2 (титруются до HS), РОГ (титруются до НРО4), S1O3 и др.
3. Сумма слабых оснований и анионов относительно более сильных кислот (анионов, показывающих в водном растворе рН = 8,4). Эту величину находят, вычитая из общего расхода кислоты на титрование с метиловым желтым, то ее количество, которое потребовалось на титрование с фенолфталеином. В эту группу входят анионы НСОз (титрование до Н2 С03 ), НРОГ (титрование до Н2РО4), SH- (титрование до H2 S), анионы гуминовых кислот и др.
4. Анионы летучих и нелетучих слабых кислот. Входящие в группы 2 и 3 анионы слабых кислот можно разделить на анионы летучих и нелетучих слабых кислот. Для этого после титрования с метиловым желтым (или с метиловым оранжевым) к титруемой жидкости прибавляют титрованный раствор серной кислоты в избытке. Летучие кислоты отгоняют выпариванием, охлаждают раствор, разбавляют его водой (не содержащей С02 ) и титруют; раствором едкой щелочи, учитывая количество его, израсходованное на титрование от точки изменения окраски метилового оранжевого или метилового желтого из красной в желтую до появления окраски фенолфталеина. Так устанавливают содержание анионов нелетучих слабых кислот и по разности находят содержание анионов летучих слабых кислот.
Если исследуемая вода содержит анионы только летучих слабых кислот, их можно определить точнее. Для этого прибавляют в избытке титрованный раствор серной кислоты, удаляют выпариванием летучие кислоты, разбавляют дистиллированной водой, не содержащей СО2, и оттитровывают избыток серной кислоты едкой щелочью.
Поскольку многие из перечисленных выше анионов (например, фосфат-ионы, сульфид-ионы) могут быть определены отдельно специальными методами, то, вычитая их содержание из общего содержания ионов, входящих в ту или иную из перечисленных групп, можно при не слишком сложном составе сточной воды более или менее точно вычислить содержание ионов, для которых специальные методы определения отсутствуют.
Метиловый желтый, 0,1%-ный раствор в 90%-ном спирте, или бромфеноловый синий, 0,1%-ный раствор в 20%-ном спирте, или смешанный индикатор (0,1 г метилового оранжевого и 0,25 г индигокармина растворяют в 100 мл воды).
Соляная или серная кислота, 0,1 н. раствор. Едкая щелочь, 0,1 н. раствор.
Ход определения. Если сточная вода мутная, ее надо профильтровать, а если окрашенная — разбавить дистиллированной водой. Разбавление проводят в мерных колбах вместимостью 100-— 200 мл. Сначала наливают в мерную колбу 20—30 мл дистиллированной воды, потом точно отмеренный объем анализируемой воды, раствор перемешивают, доливают дистиллированную воду до метки и снова перемешивают. Взятый объем анализируемой воды учитывают при вычислении результата анализа.
В коническую колбу помещают 100 мл анализируемой воды, взятой непосредственно или предварительно разбавленной, как описано выше; приливают 5 капель фенолфталеина и содержимое колбы титруют на белом фоне соляной или серной кислотой до исчезновения розовой окраски. Израсходованное на титрование количество кислоты соответствует щелочности воды по фенолфталеину, т. е. содержанию в ней веществ второй группы.
Затем в колбу приливают 5—6 капель раствора метилового желтого или бромфенолового синего или смешанного индикатора. В другую коническую колбу наливают такой же объем анализируемой воды и столько же индикатора, сколько было введено в первый раствор. Ставят обе колбы на белую бумагу и титруют жидкость в первой колбе кислотой до тех пор, пока цвет ее не станет отличаться от цвета жидкости во второй колбе. Если известен качественный и приближенный количественный состав пробы, то лучше приготовить раствор-свидетель, состав которого должен быть близким к составу пробы в конце титрования, прибавить в этот раствор индикатор и титровать пробу до совпадения ее окраски с окраской раствора-свидетеля.
Расход титрованного раствора кислоты на второе титрование показывает содержание в воде веществ третьей группы, а общее количество израсходованного на титрование раствора кислоты — общую щелочность анализируемой воды.
При желании определить отдельно содержание в воде анионов летучих и нелетучих слабых кислот (группа 4) в качестве индикатора применяют метиловый желтый или метиловый оранжевый (без добавления синего красителя), прибавляют к оттитрованному раствору еще несколько миллилитров раствора кислоты в избытке и отгоняют летучие кислоты. Затем закрывают колбу пробкой с вставленной в нее трубкой с натронной известью, охлаждают под краном и, вынув трубку, разбавляют жидкость дистиллированной водой, не содержащей СО2, после чего сейчас же титруют раствором едкой Щелочи. Сначала окраска раствора из красной переходит в желтую, и с этого момента начинают отсчет объема едкой щелочи, расходуемой на титрование. Титрование заканчивают, когда появляется слабо-розовое окрашивание от фенолфталеина.
Определение солей летучих слабых кислот при отсутствии солей нелетучих слабых кислот см. выше.
Промышленные сточные воды, обработанные гипохлоритом кальция или хлорной известью для очистки от вредных органических веществ или от цианидов, обычно содержат некоторый избыток гипохлорид-ионовв. Определение щелочности таких вод затруднено, так как избыток окислителя обесцвечивает индикатор. В этих случаях определение рекомендуется проводить потенциометрическим титрованием кислотой со стеклянным электродом.