Реферат: Человечество. Некоторые нестандартные модели
.
Басин Михаил Абрамович, Доктор технических наук, профессор, дректор научно-исследовательского центра «Синергетика» Санкт-Петербургского союза учёных.
Аннотация
В настоящей статье излагаются первые результаты приложения разрабатываемой автором в рамках синергетической парадигмы информационно-волновой теории взаимодействия структур и систем к исследованию человечества как сложной самоорганизующейся системы.
Выполнен предварительный лингвистический анализ слов «человек» и «человечество». Определён «комплексный параметр целого», характеризующий человечество как единую систему, и исследована динамика его изменения. Предложена новая модель динамики роста комплексного параметра целого и дана предварительная информационная интерпретация мнимой части этого комплексного параметра.
Введение.
Дорогой читатель!
Статья, которую ты открываешь, не совсем обычна.
Она написана автором, который ни в какой степени не может считаться специалистом ни в одной из областей науки о человеке и человеческом обществе.
Однако, в этом есть определенное преимущество, которым мы и попробуем воспользоваться. Статья, посвящена человечеству в целом – а для этого желательно, чтобы автор был в какой-то степени свободен от полных знаний в отдельном разделе науки о человеке и обществе- то есть он должен быть дилетантом.
Однако, дилетантизм — это, возможно, желательное, но вовсе не достаточное условие для написания такой статьи.
Другим условием является способность автора создать целостную картину описываемого явления, объекта или процесса – то есть вооруженность автора методологией, которая позволила бы ему не только приступить к грамотному и целостному исследованию такого необычного и, пожалуй, самого сложного во Вселенной объекта, но и довести это исследование до какого-то значимого результата.
Именно существование и интенсивное развитие в настоящее время такой методологии – синергетической, в формировании которой автор принимает активное участие, — и является тем основанием, на котором он строит надежду не успех предлагаемых им нестандартных моделей, которые могут оказаться полезными тем, кого интересует современное состояние и будущее человеческого общества. Основным достоинством предлагаемых моделей и некоторых предсказаний, на них основанных, является возможность их непосредственной проверки, уточнения и развития.
Глава I. Первый взгляд.
1. Первичное определение.
Выделим из природы для дальнейшего более подробного рассмотрения некоторый объект –Человечество.
.Что это такое ?
Первичный ответ на этот вопрос достаточно прост.
Человечество — это совокупность людей, населяющих внешние оболочки планеты Земля.
Такое определение является достаточно конструктивным с точки зрения начала исследований.
Почему?
Потому, что оно содержит данные, позволяющие ввести для описания человечества все три языка наука: образный, словесный, математический [1].
Язык образов.
Человечество просто так увидеть нельзя. Это, в каком-то смысле, понятие абстрактное, поэтому сразу составить зрительный и слуховой его образ – достаточно сложная задача, хотя, по нашему мнению, разрешимая. Например, в идеале это могли бы быть суперкартина или суперфильм, на которых представлены все люди, жившие когда-либо на Земле.
Возможен и другой образ. Представьте себе кино, видео или компьютерный фильм, в котором в различных масштабах представлена карта поверхности Земли, на которой изображена динамическая картина изменения во времени плотности распределения людей по этой поверхности [2,3,35]. Как много нового и интересного можно было бы извлечь из такого фильма. А если бы такой фильм сопровождался картинами жизни людей: любви и воспитания детей, борьбы за свою жизнь и жизнь своих близких, трагедиями и радостями, земледелием и скотоводством, войной и торговлей, путешествиями и руководством предприятиями, банковским делом и предпринимательством, искусством и наукой, конструированием и разрушением, отдыхом и трудом, — то это мог быть замечательный образ человечества. Возможно найдется такой продюсер, который возьмется за создание этого фильма..
Наше определение позволяет также рассматривать человечество как волну[1, 18], элементами — квантами которой являются отдельные люди, каждый из которых обладает очень многими (но вовсе не всеми) свойствами человечества.
Тем самым данное определение возбуждает все уровни нашей памяти. На эмоциональном уровне каждый из нас воспринимает человечество как очень большую совокупность образов различных людей, с которыми нам приходилось встречаться, которых мы слышали по радио и видели в кино и по телевизору, о которых мы слышали от других или читали в книгах. При этом необходимо отметить, что в этот калейдоскоп включены и представления о людях, выдуманных писателями и художниками, которые, в случае наличия у художника таланта, запечатлеваются в нашей памяти лучше, чем образы реальных людей.
Язык слов.
Одним из эффективных методов исследования является лингвистический анализ слова, которым обозначается изучаемый нами объект. Причем, полноту картины создает исследование, выполненное путем перевода этого слова на различные языки.[4], [5].
Попробуем начать эту работу для слов
Человечество… И… Человек .
Выполнение этой работы оказывается очень интересным и практически бесконечным. Что дает первичный анализ её результатов?
Поле слов, а следовательно, и поле понятий, связанных со словом Человечество.
И тут мы сталкиваемся с замечательным парадоксом: это поле практически охватывает весь объем человеческого языка. Язык является, возможно, главным атрибутом человека и человечества.
Если взять русское слово Человек, то оно является составным и состоит из двух корней:
“Чело” – то есть лицо, в котором наряду с материальным (красота, гармония) отражается также душа и дух человека,
“Век” — сто лет или в несколько ином контексте время жизни человека.
То есть лицо, живущее век.
Тем самым выделяется главная часть образа человека – его лицо, внешний носитель сущности человека, и определяется возможный срок его жизни “век”.
Слово лицо — “person” отождествляется с человеком и в других европейских языках. В английском языке происходит отождествление понятия “человек” с понятием “мужчина” — “man”. Здесь, по-видимому, корни отождествления надо искать в древности, а может быть еще ранее в жизни и быте предков человека (гипотезы о возможности матриархата у древнего человека и его предков подвергнуты сомнению последними данными научных исследований [6]). Интересно, что понятие человек ассоциируется в индоевропейских языках не только с лицом, но и с фигурой, а через нее, с рисунками и числами...
Кое-что из математики.
Данное выше определение позволяет нам выйти также и на возможность математического исследования человечества .
Ведь определяя волну — человечество как совокупность своих квантов – людей, мы сразу задаем основной количественный параметр, его определяющий (параметр целого) – число квантов, находящихся в исследуемой нами волновой системе.
В настоящее время число людей, населяющих планету Земля, составляет примерно 6000 миллионов. Это очень информативный параметр, и в дальнейшем мы многократно будем возвращаться к его динамике и соотношениям, которые связывают его с другими управляющими параметрами, характеризующими человеческое общество [7-10 ].
Можно установить непосредственную связь этого параметра с некоторой физической мерой, характеризующей как отдельного человека, так и человечество в целом, которая связывает этот биологический вид со всеми живыми и неживыми объектами природы – этой мерой является масса отдельного человека и всего человечества.
Если приблизительно принять, что средняя масса человека за время его жизни составляет около 50 кг, то легко в первом приближении подсчитать общую массу человечества как физического объекта, которая в этом случае оказывается равной примерно 300 миллионов тонн.
Если считать, что средняя плотность человека близка к 1, то отсюда мы получаем объем 300 миллионов кубических метров, занимаемый этой мощной волной – Человечеством, которая распространяется по поверхности Земли, все более и более нарастая и захватывая все большее и большее пространство.
Кроме того, человечество является одним из видов живых организмов, составляющих биосферу, то есть является одним из многих миллионов квантов биосферы как обобщенной волны.
Одновременно волна-человечество, если встать на точку зрения В.И. Вернадского [11-14], является еще и одним из Земных минералов, сравнительно молодым и быстро растущим в объеме и по массе, наличие которого на поверхности Земли оказывает существенное влияние на ее геологическую структуру.
Однако, мы прекрасно понимаем, что только этим объемом влияние человечества на окружающий мир не исчерпывается. Интенсивный обмен людей (квантов) и человечества в целом с окружающей средой – ближним полем человечества [15], трансформирует это поле, под которым сейчас уже можно понимать все внешние оболочки Земли. И здесь возникает первая проблема, которая может быть исследована с помощью простейшей математики – проблема иерархии и проблема масштабов.
2. Иерархия: Атом- Клетка-Человек-Человечество — Солнечная система — Галактика
Рассмотрим первую естественную линейную масштабную триаду сложной системы, называемой человечеством.[16], [17]
Человек- Человечество- Земля.
0.05-0.1 т 0.3·109- т 5.975·1021 т
Эта триада является также и системной[30-33] и может быть представлена виде

Наиболее характерным параметром этой триады, определяющим ее масштабное соответствие, и позволяющим в дальнейшем строить на ее основе масштабную шкалу структур, является, по нашему мнению, масса.
Отношение массы человека к массе человечества, примерно равно отношению массы человечества к массе Земли. Мы получили три члена геометрической прогрессии.
Если Землю так же, как и человечество, считать некоторой волной, состоящей из квантов- минералов, то человечество на ней может оказаться одним из квантов, возможно, наиболее интересным и важным для будущего Земли.
Если время существования человека — “век” – от 50 до 100 лет, то время существования человечества 100000- 200000 лет, а время существования Земли 4-6 миллиардов лет. Возникают две величины: масса и время существования, характеризующие нашу системную триаду..
Итак!
Изучаемый нами объект – Чeловечество.
Квант человечества – Человек.
Ближнее поле – — Земля.
Такова первичная иерархия, следующая однозначно из нашего определения, в рамках которой можно строить те или иные образные, лингвистические и математические модели.
Первый шаг дальнейшего исследования, это привычная любому ученому аналогия, попытка применить уже полученную закономерность к решению близких по типу задач.
Давайте несколько изменим масштаб рассмотрения. В качестве основной волны будем рассматривать отдельно взятого. “условного” человека [16]. Так как, несмотря на колоссальные, как нам иногда кажется, внешние и внутренние различия, все люди принадлежат к одному биологическому виду, следовательно в действительности биологические (материальные) различия между ними не столь велики, и мы можем, следуя за рядом исследователей, рассматривать т.н. среднестатистического “условного” человека
Да, есть сведения о человеке, которые можно считать в некоторой степени идентичными для всех людей – иначе не существовало бы медицины, да и многих других наук о человеке. Поэтому, если мы хотим определить общие для всех людей свойства, то мы будем обращаться к понятию “условного” человека, одновременно оценивая, насколько реальные люди со всеми своими уникальными особенностями могут от него отличаться .
И этот «условный человек» состоит, в основном (во всяком случае, наполовину) из идентичных во многом элементов – клеток, очень тесно связанных между собой, и несмотря на внешние существенные различия, содержащих одинаковые наборы генов и происходящих путем деления из одной и той же клетки. Итак, иерархия продолжена внутрь – в сторону уменьшающихся массовых масштабов. Так сколько же клеток содержится в “условном человеке”? И какова же средняя масса одной клетки?
На этот вопрос есть вполне определенный ответ. По некоторым данным [16 ] число клеток в теле условного человека составляет 1012 — 1013 .
Действительно, построенная нами иерархия в некоторой степени может быть продолжена вниз по шкале масштабов массы, и хотя здесь наблюдается отклонение от полученной нами ранее геометрической прогрессии, однако, это отклонение не столь велико, чтобы остановиться в начатом нами движении по шкале масс. Итак, массы клеток 10-13—10-14 тонн, и в этом смысле клетки — действительно кванты, волновое объединение которых дает целостную структуру, называемую нами человеком. А между тем человечество является для человека основной частью ближнего поля.
И здесь мы имеем масштабное подобие:
клетка (элемент, квант) – человек (система, волна)– человечество( поле, окружающая среда).
Эта триада одновременно является системной [30-33]

Попробуем пойти дальше по этой же шкале — в глубины микромира. Рассмотрим отдельно взятую клетку в качестве изучаемой нами системы, которая, состоит из элементов – атомов. Число атомов в клетке человека составляет 1012 –1013.[16-17 ]
И вновь практически та же закономерность. Для отдельно взятой клетки, атомы, из которых она состоит, представляют собой отдельные кванты, тогда как человек – организм – является полем для существования этой клетки.

Эмпирические данные укладываются в предложенную нами схему. Уже намечается достаточно четкая иерархия полей – структур — элементов, отношение масс которых составляют гигантские величины, лежащие в диапазоне 1010 –1013.
Теперь поднимемся вверх по масштабу масс.
По-видимому, масштабом поля для планеты Земля, соизмеримым с масштабом соотношений массы Земли и массы человечества, является масштаб нашей Галактики.
По данным [17 ], масса Галактики составляет приблизительно, 2.5·1011 массы Солнца. При этом масса Солнца 1.989(1)·1033 г = 2·1027 т = 5·105 Масс Земли.
Итак масса Галактики – приблизительно в 10**16 больше массы Земли. Та же тенденция. Но несколько отличающаяся по масштабу от той шкалы которую мы выстроили для человечества.
Попытки пойти дальше в стороны больших и меньших масштабов не имели успеха ввиду отсутствия достоверных данных.
Наша не совсем равномерная шкала может быть несколько изменена, например. путем предположения о том, что полем для развивающегося человечества является не Земля, а Солнечная система, а количество людей еще будет расти, если они расселятся по планетам Солнечной Системы. В этом случае можно получить почти геометрическую прогрессию масс связанных между собою, структур, их квантов и их полей.

В соответствии с массовой шкалой указанные нами структуры в первом приближении формируют последовательность, которая оказывается близкой к геометрической прогрессии. Человек и человечество расположены практически в центре этой шкалы.
Введя дополнительную координату – временную, получим еще одну закономерность: первоначально появились Атом и Галактика, затем Солнечная Система и Клетка, и лишь затем Человек и Человечество..

Отношение масс известной части этой шкалы составляет примерно 1060. При этом отношение масс в системе триад составляет приблизительно 1040, то есть большую часть указанной шкалы. Отсюда становится очевидным огромный диапазон масштабов, так или иначе охваченный Человеком и Человечеством.
Даже это простейшее рассмотрение показывает, что живое, в частности, Человек, занимает очень большой участок масштабной шкалы и является Вселенским явлением.
От генома (клетки) до человечества столь же далеко по шкале масс, как от человечества до Галактики. А между тем клетка, или вернее ее порождающий контроллер [18]- геном. как нам известно, несет практически всю основную информацию о структуре человека и даже во многом о структуре человеческого общества.
И еще один оптимистический вывод.
Человечеству есть куда расти в пределах Солнечной системы. Этот минерал еще не достиг своих равновесных размеров, чтобы занять достойное место в построенной нами шкале.
Тот демографический переход [10], который происходит в настоящее время и о котором будем говорить довольно подробно, не обязательно ограничит рост человеческой популяции навсегда, а может явиться лишь небольшой передышкой перед скачком к заселению, как минимум, Солнечной системы.
Глава II. Параметр целого, характеризующий человечество.
1. Выбор параметра целого.
Вспомним данное нами выше определение человечества как совокупности людей. В соответствии с изложенной в [1], [4], [18] синергетической методикой в качестве основной меры – параметра целого, характеризующего исследуемый нами объект – человечество может быть принято число квантов, входящих в эту волну, то есть число людей.
То, что это число в среднем непрерывно растет с момента появления человечества, говорит о том, что эта волна еще имеет значительную потенциальную энергию для своего поступательного движения.
Почему именно этот параметр? Элементом (квантом) человечества является человек, главные физиологические, да, возможно, и умственные способности которого мало изменились с момента происхождения вида. Поэтому параметры отдельного человека могли лишь создавать предпосылки для интенсивного развития человечества. Отсюда главным параметром становится число людей, резонансное взаимодействие которых создало современную цивилизацию и неизвестно еще к каким последствиям приведет в дальнейшем. Более подробное обоснование выбора именно этого параметра дано в [10].
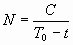
Если выбран параметр, то самым простым является исследование его динамики, то есть зависимость изменения этого параметра от времени.
2. Динамика изменения параметра целого. Эмпирические данные.
По данным биологов [6] разумный человек должен был начать отделяться от предыдущего вида приблизительно 500 тысяч лет назад. Генетические методы показывают, что все современные люди происходят от одной женщины, жившей в Африке около 200 тысяч лет назад. Недавно на юге Африки и на Ближнем Востоке найдены останки человека нашего вида и подвида, возраст которых оценен в 90 тысяч лет.
Сведения о начальной численности людей современного вида отсутствуют.
“Можно предположить, однако, что их было несколько тысяч, так как меньшая численность вряд ли могла бы обеспечить процесс естественного отбора и генетического закрепления черт “человека разумного””. [19]
Скорее всего его эволюция проходила где-то в небольшом, изолированном районе на берегу одного из больших озер, существовавших в те времена на западе Африки [6] (Итак, Западная Африка – предположительная Pодина человечества.)
Самым ранним по времени (от 100 до 40 тысяч лет назад ) было отделение от основной африканской ветви (представленной современными негроидами, живущими к югу от Сахары) – ветви людей, давшей начало всем остальным расам. Эта ветвь, в свою очередь, делится на западную (европеоиды и индийцы) и восточную.
Считают, что примерно 25-40 тысяч лет назад люди, заселив Северо-Восточную Азию, проникли через Берингов пролив в Северную Америку и двинулись на юг, заселяя огромные просторы этого континента и теряя при этом свой генетический набор. Примерно в это же время через Юго-восточную Азию и острова Малайского архипелага другая ветвь человечества заселила Австралию [10, 19, 20 ] К моменту начала такого расселения, по данным [10, 21] общее количество людей, составляло 1-5 миллионов.
Предполагается, что около 15 тыс. лет назад, первобытные люди, расселившиеся по всем обитаемым ныне материкам, насчитывали лишь 3-10 миллионов человек; а в седьмом тысячелетии до нашей эры — около 10-15 миллионов.
Характерный для первобытного общества процесс естественного воспроизводства существенно изменился в связи с появлением скотоводства и земледелия и переходом человека от экономики, основанной на собирательстве и охоте, к производству продуктов.
Именно в этот период отчетливо выявилось, что человек может постоянно производить больше, чем ему нужно для удовлетворения элементарных потребностей!
Достигнутый в результате перехода к скотоводству и земледелию рост производительности труда создал необходимую базу для скачкообразного прироста населения, который произошел приблизительно 7000-5000 лет тому назад. В этот период число живших на Земле людей достигло 50-70 миллионов человек и продолжало расти.
К началу нашей эры численность народонаселения мира составила по разным данным 150-250 млн. человек, из них в пределах Римской империи находилось 50 млн. (т.е. примерно 20-25% всего мирового населения), –
Падение Римской империи и постепенный всеобщий переход к феодализму в течение тысячелетия стабилизировал численность населения Мира на отметке 150-250 миллионов человек. В средние века численность населения мира продолжала расти невысокими темпами: к концу первого тысячелетия она обычно оценивается в 250-300 млн. человек, в середине второго –в 400-500млн., в том числе на территории Азии находилось около 250 млн. Африки- 70 –90 млн., Европы- 65-80 млн., Америки- 30-50 млн.[19]
По данным [10], [19 ], начиная с 1500 года, наиболее явной стала тенденция гиперболического роста числа людей, населяющих Земной шар.
Приведем взятую из [10,21 ] таблицу роста числа людей по годам, начиная с 1500 года
| Год | Число людей (миллионов) |
1500 1650 1750 1800 1850 1900 1920 1930 1940 1950 1955 1960 1965 1970 1975 1980 1985 1990 1995 2000 | 440-550 465-550 735-805 835-907 1090-1170 1608-1710 1811 2020 2295 2416-2515 2752 3019 3336 3698 4080 4450 4854 5292 5765 6251 |
3. Простейшая модель роста параметра целого человеческой популяции
Хотя, в действительности, процесс изменения числа живущих на Земле людей происходит дискретно, с рождением каждого человека число людей увеличивается на единицу, однако это число настолько велико, что процесс его изменения в первом приближении может считаться непрерывным.
Тем самым, изменения числа людей может быть описано некоторым дифференциальным уравнением, общий вид которого
.
Так как человечество развивается, по-видимому, в основном, по своим внутренним законам, то изменение его параметра целого может описываться автономным уравнением, в котором
является функцией только от
и уравнение динамики параметра целого принимает вид
.
Конечно, на развитие человечества оказывают влияние различные факторы. однако, если человечество считать системой, развивающейся по единому закону, то этот закон должен быть связан с основным свойством человеческой популяции, а именно с половым характером размножения. В соответствии с половым характером размножения все люди делятся на две половины — мужчин и женщин,- при этом каждый мужчина может в принципе, образовать пару с любой женщиной, и результатом этой пары может быть рождение ребенка. Естественно, такие возможности не осуществляются всегда, однако это можно учесть введением некоторого коэффициента. При таком наиболее естественном предположении вид функции
существенно упрощается и принимает вид. [25]:
,
а само дифференциальное уравнение получает форму
(3.1)
В монографии [10] дано иное обоснование целесообразности применения этого уравнения на довольно длительном интервале существования человеческой популяции.
“Отмеченный кооперативный закон роста ( удовлетворяющий уравнению (3.1)) в значительной мере является прямым выражением информационной природы развития. Распространение и передача из поколения в поколение информации – знаний и технологий, обычаев и культуры, религии и, наконец, представлений науки есть то, что качественно отличает человека и человечество в своем развитии от животного мира. [28 ], [21 ], [29]. …
Такая зависимость возникает потому, что при обмене и распространении информации происходит умножение числа её` носителей в результате разветвленной цепной реакции. Обмен и распространение информации отличается от эквивалентного обмена ценностями, когда, например, при обмене невесты на стадо баранов общее число объектов обмена сохраняется. Разница удачно выражена в анекдоте о том, как хорошо обмениваться идеями: при этом каждый приобретает по идее, ничего не теряя. Очевидно, что распространение информации необратимо – слово не воробей, вылетит не поймаешь! С другой стороны, обмен товарами принципиально обратим.
Сейчас принято выделять информационную составляющую современной цивилизации. Но следует подчеркнуть, что человечество всегда было информационным обществом. Иначе трудно понять природу квадратичного роста, так отличающего человека от остальных животных”
(А существует ли это отличие? Ведь все известные нам виды многоклеточных животных, кроме домашних, либо уже стабилизировали свою численность, либо исчезают под влиянием человека. Так что не с чем сравнивать.).
Получим решение этого дифференциального уравнения.
![]()
![]()
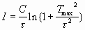
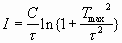
В эту формулу входят два произвольных параметра, которые должны быть константами динамики человечества. Физический смысл параметра
-более не менее ясен. Это тот момент времени, когда, в случае сохранения гиперболического закона роста человеческой популяции, число людей стало бы равным бесконечности. Такой режим теоретически предсказывается во многих задачах, связанных с горением и является типичным при исследовании проблем самоорганизации. Кроме того, подобный режим встречается также при исследовании резонансных явлений [34]. Реально он, естественно никогда не осуществляется, однако связанные с ним тенденции гиперболического роста основного параметра системы реализуются вплоть до очень высоких значений параметра целого. Однако момент, когда возникает взрыв, определяется параметром
с достаточной степенью точности.
Сопоставление этой математической модели с экспериментальными данными, выполненное в [10], не только подтвердило универсальность указанного простого закона, не только позволило более точно определить момент времени
, но и вычислить другую константу
. Самое удивительное, что рост человеческой популяции удовлетворял этому закону практически все 200000 лет, в течение которых существовало человечество. Отклонение от него началось лишь в конце семидесятых- начале восьмидесятых годов двадцатого века.
4. Модель роста комплексного параметра целого человеческой популяции. Демографический переход как вихревая особенность в поле комплексного времени.
Если идею о комплексификации параметра целого [18], [34] описывающего размножающиеся объекты применить к человечеству как к единой системе, то для описания динамики роста человеческой популяции можно ввести некое комплексное число
, действительная часть которого характеризует рассмотренный выше параметр целого человечества и может быть приравнена к числу людей
, а мнимая часть может характеризовать информационный параметр ![]()
![]()
Представленная в [10 ], [21 ] и частично приведенная выше экспериментальная зависимость
от времени может служить исходным материалом, который позволил бы нам подобрать соответствующую простую комплексную функцию
. При этом время
также целесообразно считать комплексной величиной
.
То есть, на наш взгляд, важной задачей исследователя человеческого общества является отыскание такой простой комплексной функции от времени, действительная часть которой достаточно адекватно описывала бы имеющуюся экспериментальную зависимость
. Как следует из приближенного анализа имеющихся экспериментальных данных, в течение очень долгого промежутка времени рост числа людей происходил по единому закону
, (4.1)
то есть по гиперболе. Величины
достаточно точно определены в [10]
![]()
Равенству (4.1) соответствует дифференциальное уравнение
(4.2)
или
(4.3)
Однако, начиная с 80-х годов ХХ века наступил мировой демографический переход [10 ]. Закон роста населения мира начал изменяться и, в соответствии со многими достаточно обоснованными прогнозами, число людей должно стабилизироваться на уровне 12-14 миллиардов человек, выйдя на эту асимптоту в ближайшие 50-100 лет. Этот демографический переход вместе с первичным режимом с обострением аппроксимируется [10] при помощи несколько более сложной функции, удовлетворяющей следующему дифференциальному уравнению
, (4.4)
где, по данным [10 ]
лет.
Это последнее дифференциальное уравнение в среднем очень хорошо описывает практически всю кривую зависимости
. Если на оси
задана действительная часть некоей не имеющей особенности функции
, то сама функция легко может быть однозначно определена во всей области. Однако, в нашем случае искомая комплексная функция может иметь особенности в комплексной области
и ее отыскание может быть осуществлено путем поиска особых точек. Простейшая форма комплексного дифференциальное уравнения для её определения имеет вид:
. (4.5)
Если ввести гидродинамическую аналогию, то закон (4.5) характеризует поток комплексного параметра целого в комплексном времени, точка которого, соответствующая человеческой популяции, течет вдоль действительной оси и в настоящее время приближается к вихревой особенности, расположенной на расстоянии
над осью абсцисс.
Отделим в этом уравнении действительную часть от мнимой, считая, что
.
(4.6)
Приравнивая отдельно действительную и мнимую части комплексного дифференциального уравнения (4.6), получим
(4.7)
(4.8)
Сопоставим формулу (4.7) с уравнением (4.4), построенным на основе анализа экспериментальных данных. Из этого сопоставления следует
. (4.9)
Подставляя (4.9) в (4.7), (4.8) получим
(4.10)
(4.11)
Уравнение (4.10) в точности совпадает с уравнением (4.4), что означает, что наше комплексное уравнение дает результат, удовлетворяющий экспериментальным данным. Однако, мы получили еще одно действительное уравнение, физический смысл которого пока не совсем ясен.
Прежде, чем переходить к высказыванию тех или иных гипотез, необходимо проанализировать введенное нами дифференциальное уравнение, которое будет записано теперь в форме:
(4.12)
Его аналитическое решение имеет вид
(4.13)
Если использовать (4.12) и (4.13), то искомому комплексному дифференциальному уравнению можно придать еще одну форму
(4.14)
Отделим в равенсте (4.13) действительную часть от мнимой на оси
.
(4.15)
Приравнивая действительную и мнимую части в уравнении (4.15), получим.
. (4.16)
. (4.17)
При
величина
должна стремиться к нулю. Отсюда следует, что
и рост числа членов человеческой популяции определяется формулой:
, (4.18)
совпадающей с аналогичным выражением в [10].
Преобразуем теперь несколько выражение (4.17)
Предположим, что
(4.19)
где
— некий параметр, характеризующий максимальный срок жизни человечества. В этом случае получим
(4.20)
При таком определении величины
появляется новый параметр
, внешний по отношению к нашему анализу, характеризующий границы, в которых величина
, если она является неким энтропийно-информационным параметром, характеризующим человечество [18], остается положительной. Если cчитать, что человечество будет существовать столько, сколько оно уже существовало (что вообще говоря совсем не обязательно), то весь срок жизни человечества определяется величиной 2
, и энтропийно –информационный параметр, характеризующий человечество, как в момент
, так и в момент
окажется равным нулю.
При этом максимальное значение величины
должно наблюдаться при
и равняться
(4.21)
или
(4.22)
В эту формулу входит очень важный параметр
, характеризующий отношение срока жизни человечества к сроку жизни одного человека, то есть грубо, с точностью до некоторого коэффициента, который можно принять приблизительно равным 2 — количество поколений людей,. Так как
-достаточно большое число, то формула (4.22) может быть несколько упрощена.
(4.23)
Последняя формула может быть приведена к виду
(4.24)
Если вспомнить, что
характеризует приблизительно число поколений всех существовавших людей, и ввести обозначение
, где
— общее число поколений людей живших на Земле до момента
, то мы получим формулу
, (4.25)
смысл которой предстоит выяснять в будущем. Но ясно, что эта формула имеет прямое отношение к информационным процессам, происходящим с человечеством. Наиболее естественным предположением является гипотеза о том, что этот параметр характеризует введённую нами в [18] величину энтропии- информации, управляемой Человечеством.
Наряду с рассмотренной выше нами предложены и проанализированы ещё две возможные модели глобального развития человечества, причём высказана идея о том, что выбор той или иной модели во многом оказывается в руках самого человечества как системы, способной моделировать своё будущее.
Динамика сложной системы обычно имеет несколько возможных аттракторов, выбор между которыми может быть осуществлён в кризисные (бифуркационные) моменты её развития. Поэтому одной из задач научного исследования является предложение обоснованных сценариев дальнейшего развития человеческого общества, поддающихся математическому моделированию.
В настоящее время рассматриваются три основных математических модели развития:
а. резонансная (пессимистическая) модель, поддерживаемая экологами, соответствующая катастрофической или плавной динамике сокращения числа людей, истощивших ресурсы Земли и не нашедших альтернативных источников существования;
б. вихревая (оптимистическая), предсказывающая стабилизацию числа людей на некотором стационарном уровне при отсутствии серьёзных катаклизмов общечеловеческого масштаба, рассмотренная выше;
в. космическая (сверхоптимистическая), соответствующая выходу человечества за пределы Земли, а затем и солнечной системы (частично рассмотренная в первой главе).
Список литературы
1.Басин М.А. Волновой подход к исследованию структур и систем. //Реальность и субъект. Том 2, №2-3.СПб.: 1998.Сс.57-72.
2.Тейяр де Шарден П. Феномен человека. М.: Наука. 1987. 240 с.
3. Хазен А.М. Законы природы и “справедливое общество”. М.1998. 112с.
4. Басин М.А., Шилович И.И. Синергетика и Internet (Путь к Synergonet). CПб: Наука ,1999. 71с.
5. Харитонов С. В. Проявление космического закона в психике человека. Синергетический подход к классификации психических потребностей. СПб.: Петербург -XXI век. 2000. -80с.
6. Дольник В.Р. Непослушное дитя биосферы. М.1998.
7. Капица С.П. Математическая модель роста населения мира. Математическое моделирование. 1992. Т.4. №6.
8. Капица С.П., Курдюмов С.П., Малинецкий Г.Г. Синергетика и прогнозы будущего. М.: Наука. 1977. 286 с.
9. Капица С. П. Синергетика и демография. Сборник, посвященный 70- летию С.П. Курдюмова. М.: ИПМ.1998.
10. Капица С.П. Общая теория роста человечества. Сколько людей жило, живет и будет жить на Земле. М.: Наука.1999. 192 с.
11. Вернадский В.И. Эволюция видов и живое вещество. Природа. 1928. №3.
12. Вернадский В.И. Биогеохимические очерки. М.-Л.: АН СССР. 1940.
13. Вернадский В.И. Биосфера: Избранные труды по биогеохимии. М.: Мысль. 1967.
14. Вернадский В.И. Живое вещество и биосфера. М.: Наука. 1994. 674 c.
15. Любищев А. А., Гурвич А.Г… Диалог о биополе (Составители: В.А.Гуркин, А.Н. Марасов, Р.В. Наумов). Ульяновск: Ульяновский государственный педагогический университет. 1998. 208с.
16. Человек. Медико-биологические данные.(Доклад рабочей группы комитета II Международной комиссии по радиологической защите по условному человеку. Публикация №23). М.: “Медицина” 1977. 496 с.
17. Физические величины. Справочник. (Ответственные редакторы. И.С. Григорьев, Е. З. Мейлихов). М.: Энергоатомиздат.1991.1232 с.
18. Басин М.А. Волны. Кванты. События. Волновая теория взаимодействия структур и систем. Часть 1. –СПб: “Норма”, 2000 –168 с.
19. Народонаселение стран мира. Справочник.(Отв. ред. Б.Ц. Урланис). Издание 2. М.: Статистика .1978. 528с.
20. The Encyclopedia of Human Evolution (Ed. S. Jones). Cambridge: Cambridge Univ. Press.1994.
21. Cohen J. How many People can the World Support? N.Y. Norton.1995
22. Солбриг О. Солбриг Д. Популяционная биология и эволюция. М.: Мир. 1982. 488с.
23. Курдюмов С.П., Малинецкий Г.Г., Потапов А.Б. Нестационарные структуры. Динамический хаос. Клеточные автоматы. В сб. Новое в синергетике. Загадки мира неравновесных структур. РАН. Серия “Кибернетика. Неограниченные возможности и возможные ограничения". Москва “Наука” 1996.
24. Пайтген Х.О., Рихтер П.Х. Красота фракталов. Образы комплексных динамических систем.М.: “Мир” 1993.176с.
25. Арнольд В.И. Обыкновенные дифференциальные уравнения. Изд.3, перераб. и доп. -М.: “Наука” 1984.272с.
26. Хакен Г. Синергетика. М.: “Мир”.1980 .408с.
27.Gerish G., Hess B. Proc.nat. Acad. Sci. (Wash. 71.2118 (1974)
28. Фоули Р. Еще один неповторимый вид. М.: Мир.1990
29. Воронцов Н.Н., Сухорукова Л.Н. Эволюция органического мира. 2-е изд.: М.: Наука 1996.
30.Баранцев Р.Г. Системные триады и классификация //Теория и методология биологических классификаций. М.: 1983. Сс.81-89
31.Баранцев Р.Г. Системная триада — структурная ячейка синтез //Системные исследования. Ежегодник 1988.М.:1989.С.193-210
32. Баранцев Р.Г. Системная структура классификации // Классификация в современной науке. Новосибирск.1989. Сс.73-86.
33. Баранцев Р.Г. Открытым системам- открытые методы. Синергетика и методы науки. СПб.: Наука 1998. Сс.28-40.
34. Басин М.А. Компьютеры. Вихри. Резонансы. Волновая теория взаимодействия структур и систем. Часть 2. СПб. «Норма».2002. 144с.
35. Хазен А. М. Разум природы и разум человека. М.: 2000. 608с