Реферат: Разработка мер по выводу предприятия из кризисного финансового состояния
Разработка мер по выводу предприятия из кризисного финансового состояния
СОДЕРЖАНИЕ
Введение
Глава 1. Методические аспекты формирования бизнес-планирования в Российской Федерации
1.1. Задачи и особенности составления бизнес-плана
1.2. Финансовый план как часть бизнес-плана
1.3. Этапы разработки финансовой стратегии предприятия
Глава 2. Анализ финансового состояния ООО СП «Единая Торговая Система»
2.1. Характеристика объекта исследования
2.2. Выбор и обоснование методики проведения анализа
2.3. Анализ и оценка имущества
2.4. Анализ финансовой устойчивости предприятия
2.5. Анализ ликвидности и платежеспособности предприятия
2.6. Анализ деловой активности
Глава 3. Разработка предложений по улучшению деятельности предприятия
3.1. Предложения к формированию финансовой стратегии по выводу предприятия из кризисного финансового состояния
3.2. Результаты расчета по предложениям выведения предприятия из кризисного финансового состояния
3.3. Оценка влияния предложений к формированию финансовой стратегии предприятия на структуру баланса
Заключение
Приложения
1. Бухгалтерский баланс
2. Отчет о прибылях и убытках
Список использованных источников
ВВЕДЕНИЕ
В условиях командно-административной системы управления экономикой сформировались и неотвратимо действовали такие принципы управления финансами предприятия, как:
- плановости;
- демократического централизма;
- строгого разделения средств основной деятельности от капитальных вложений;
- сохранности собственных оборотных средств и недопущения их иммобилизации в другие активы, кроме оборотных.
В середине 80-х годов к этим принципам добавились ещё два, частично заимствованных из арсенала понятий рыночной экономики — самофинансирования и самоокупаемости.
Естественно, что в условиях перехода к рыночным отношениям и получения предприятиями (кроме унитарных и казённых) полной самостоятельности практически во всех областях предпринимательства (ведения бизнеса), перечисленные ранее принципы перестали служить основой для принятия как стратегических, так и тактических финансовых решений. На их основе нельзя разработать современную финансовую стратегию предприятия, т.е. выбор решений в области предпочтительной формы предпринимательской деятельности, формирования собственного и заёмного капитала, вложений в активы, способов увеличения имущества и объёмов продаж, формирования и использования прибыли, оптимизации денежных потоков.
Обобщение зарубежного опыта организации корпоративных финансов, опыта отечественных предприятий, анализа подходов коммерческих банков к оценке финансовой деятельности своих клиентов позволяет рекомендовать руководствоваться следующими принципами современной организации финансов предприятий России:
- плановости;
- финансового соотношения сроков;
- взаимозависимости финансовых показателей;
- гибкости (маневрирования), минимизации финансовых издержек;
- финансовой устойчивости.
Естественно, что реализация этих принципов должна осуществляться при разработке финансовой стратегии и организации системы управления финансами конкретного предприятия.
Конкретная реализация принципов организации финансов зависит и от их отраслевой специфики. При этом надо учитывать, что в современных условиях России в целях “выживания” многие предприятия существенным образом диверсифицируют свою деятельность, занимаясь одновременно и промышленным производством, и строительством, и торговлей.
Основной целью дипломной работы является разработка мер по выводу предприятия из кризисного финансового состояния. В качестве объекта исследования используется ООО СП “Единая Торговая Система”. Предметом исследования являются финансовые ресурсы предприятия и основные методы, позволяющие их увеличить. В соответствии с поставленной целью в дипломном проекте будут рассмотрены следующие основные вопросы: 1) Определён имеющийся в литературе методический подход к разработке финансовой стратегии предприятия; 2) Для определения основных направлений разработки финансовой стратегии выполнен анализ финансового состояния предприятия (для выполнения финансового анализа, в соответствии с поставленной целью, выбрана и обоснована методика его проведения); 3) На основе проведенного анализа разработаны меры по повышению финансовой устойчивости ООО СП “Единая Торговая Система”.
Несмотря на все трудности и проблемы, в сфере частного предпринимательства в России заняты уже миллионы людей. Однако бизнес — это совершенно особая манера жизни, предполагающая готовность принимать самостоятельные решения и рисковать. Решив заняться бизнесом, предприниматель должен тщательно спланировать его организацию. Речь идет о бизнес-планах, с которых во всем мире принято начинать любое коммерческое мероприятие. В условиях рынка подобные планы необходимы всем: банкирам и потенциальным инвесторам, сотрудникам фирмы, желающим оценить свои перспективы и задачи, и прежде всего, самому предпринимателю, который должен тщательно проанализировать свои идеи, проверить их реалистичность. Собственно говоря, без бизнес-плана вообще нельзя браться за коммерческую деятельность, так как возможность неудачи будет слишком велика.
Бизнес-план является принципиально новым для нашей экономики документом. В традиционном для отечественного планирования технико-экономическом обосновании оценке экономической эффективности проекта отводилось всего несколько страниц текста. Этого было вполне достаточно в условиях централизованно планируемой экономики, где инвестором выступал госбюджет, а своеобразным маркетингом занимался Госснаб. В отличие от технико-экономического обоснования бизнес-план детально характеризует все основные аспекты будущего предприятия, анализирует проблемы, с которыми оно может столкнуться, а также определяет способы решения этих проблем.
В условиях перехода к рыночной экономике овладение искусством составления бизнес-плана становится крайне актуальным, что обусловлено следующими причинами:
- В нашу экономику входит новое поколение предпринимателей, многие из которых не имеют опыта руководства предприятием и поэтому весьма смутно представляют себе все ожидающие их проблемы.
- Изменяющаяся хозяйственная среда ставит и опытных руководителей перед необходимостью по-иному просчитывать свои действия на рынке и готовиться к такому непривычному ранее для них занятию, как борьба с конкурентами.
- Рассчитывая получить иностранные инвестиции для подъема отечественной экономики, российские предприниматели должны уметь обосновать свои заявки и доказывать (на основе принятой на Западе документации), что они способны оценить все аспекты использования инвестиций не хуже бизнесменов из других стран.
Решению вышеперечисленных проблем и призван помочь бизнес-план, который является основным документом, определяющим стратегию развития фирмы.
Следует подчеркнуть, что в настоящее время в России первоочередной целью бизнес-планирования является привлечение для участия в проектах потенциальных инвесторов и партнеров.
Каждая фирма, начиная свою деятельность, обязана четко представить потребность на перспективу в финансовых, материальных, трудовых и интеллектуальных ресурсах, источники их получения, а также уметь точно рассчитывать эффективность использования имеющихся средств в процессе работы фирмы. В рыночной экономике предприниматели не могут добиться стабильного успеха, если не будут четко и эффективно планировать свою деятельность, постоянно собирать и аккумулировать информацию как о состоянии целевых рынков, положении на них конкурентов, так и о собственных перспективах и возможностях.
При всем многообразии форм предпринимательства существуют ключевые положения, применимые практически во всех областях коммерческой деятельности и для разных фирм, необходимые для того, чтобы своевременно подготовиться, обойти потенциальные трудности и опасности, тем самым уменьшить риск в достижении поставленных целей. Разработка стратегии и тактики производственно-хозяйственной деятельности фирмы является важнейшей задачей для любого бизнеса.
В настоящее время в России бурно протекает процесс формирования и совершенствования работы действующих предприятий различных форм собственности. Важной задачей является привлечение инвестиций, в том числе и зарубежных. Для этого необходимо аргументированное, тщательно обоснованное оформление предложений, требующих капиталовложений. Успешное формирование нового бизнеса также не может обойтись без четкого и объективного планового проекта. Статистические данные о неудачах новых предприятий указывают на то, что риск достаточно велик. Для предвидения и возможного предотвращения этих проблем и используется планирование бизнеса.
В рыночной экономике бизнес-план является рабочим инструментом и для действующих фирм, используемым во всех сферах предпринимательства. Многие бизнесмены его недооценивают. Они не представляют, насколько наличие хорошего бизнес-плана способно помочь новому бизнесу добыть капитал, определить планы на будущее, составить аналитические таблицы, по которым можно будет оценивать, как развивается дело. Бизнес-план побуждает предпринимателя тщательно изучить каждый элемент предполагаемого рискового рыночного занятия. Наверняка в этом процессе обнаружится множество слабых мест и пробелов, устранению которых придется уделить существенное внимание. Там же, где с такого рода проблемами справиться невозможно, сам факт их выявления позволит принять решение об отказе от предприятия еще до того, как в него будут вкладываться средства.
Цель разработки бизнес-плана — спланировать хозяйственную деятельность фирмы на ближайший и отдаленных периоды в соответствии с потребностями рынка и возможностями получения необходимых ресурсов. Бизнес-план помогает предпринимателю решить следующие основные задачи:
- определить конкретные направления деятельности фирмы, целевые рынки и место фирмы на этих рынках;
- сформулировать долговременные и краткосрочные цели фирмы, стратегию и тактику их достижения. Определить лиц, ответственных за реализацию стратегии;
- выбрать состав и определить показатели товаров и услуг, которые будут предложены фирмой потребителям. Оценить производственные и торговые издержки по их созданию и реализации;
- выявить соответствие имеющихся кадров фирмы, условий мотивации их труда предъявляемым требованиям для достижения поставленных целей;
- определить состав маркетинговых мероприятий фирмы по изучению рынка, рекламе, стимулированию продаж, ценообразованию, каналам сбыта и др.;
- оценить финансовое положение фирмы и соответствие имеющихся финансовых и материальных ресурсов возможностям достижения поставленных целей;
- предусмотреть трудности, “подводные камни”, которые могут помешать практическому выполнению бизнес-плана.
Каждая задача может быть решена только во взаимосвязи с другими. Основной центр бизнес-плана — концентрирование финансовых ресурсов. Именно бизнес-план — важное средство для увеличения капитала компании. Процесс составления бизнес-плана позволяет тщательно проанализировать начатое дело во всех деталях. Бизнес-план служит основой бизнес-предложения при переговорах с будущими партнерами; он играет важную роль при приглашении на работу основного персонала фирмы.
Пренебрегая составлением бизнес-плана, предприниматель может оказаться не готовым к тем неприятностям, которые ждут его на пути к успеху. А чаще всего это кончается плачевно как для него, так и для бизнеса, которым он занимается. Письменное оформление бизнес-плана имеет очень существенное значение для организации работ по его выполнению. Не следует пренебрегать составлением бизнес-плана даже в условиях, когда ситуация на рынке меняется довольно быстро.
В связи с тем, что бизнес-план представляет собой результат исследований и организационной работы, имеющей целью изучение конкретного направления деятельности фирмы (продукта или услуг) на определенном рынке и в сложившихся организационно-экономических условиях, он опирается на:
- конкретный проект производства определенного товара (услуг) — создание нового типа изделий или оказание новых услуг (особенности удовлетворения потребностей и т.д.);
- всесторонний анализ производственно-хозяйственной и коммерческой деятельности организации, целью которой является выделение ее сильных и слабых сторон, специфики и отличий от других аналогичных фирм;
- изучение конкретных финансовых, технико-экономических и организационных механизмов, используемых в экономике для реализации конкретных задач.
Главное достоинство бизнес-планирования заключается в том, что правильно составленный подробный план дает перспективу развития фирмы, то есть, в конечном счете, отвечает на самый важный для бизнесмена вопрос: стоит ли вкладывать деньги в это дело, принесет ли оно доходы, которые окупят все затраты сил и средств.
В зависимости от направленности и масштабов задуманного дела объем работ по составлению бизнес-плана может изменяться в достаточно большом диапазоне, т.е. степень детализации его может быть весьма различной. В одном случае бизнес-план требует менее объемной проработки, часть разделов может вообще отсутствовать. В другом — бизнес-план предстоит разрабатывать в полном объеме, проводя для этого трудоемкие и сложные маркетинговые исследования.
При составлении бизнес-плана важна степень участия в этом процессе самого руководителя. Это настолько существенно, что многие зарубежные банки и инвестиционные фонды отказываются вообще рассматривать заявки на выделение средств, если становится известно, что бизнес-план был подготовлен консультантом со стороны, а руководителем лишь подписан.
Это не значит, что не следует пользоваться услугами консультантов. Наоборот, привлечение экспертов весьма приветствуется инвесторами. Речь идет о другом — составление бизнес-плана требует личного участия руководителя фирмы или человека, собирающегося открыть свое дело. Включаясь непосредственно в эту работу, он как бы моделирует будущую деятельность, проверяя целесообразность всего замысла.
Бизнес-план — документ перспективный и составлять его рекомендуется минимум на ряд лет вперед. Для первого и второго года основные показатели рекомендуется давать в поквартальной разбивке, а при возможности, даже в помесячной. Начиная с третьего года можно ограничиться годовыми показателями.
Основные рекомендации в подготовке бизнес-плана — это краткость, т.е. изложение только самого главного по каждому разделу плана; доступность в изучении и понимании, т.е. бизнес-план должен быть понятен широкому кругу людей, а не только специалистам. И не изобиловать техническими подробностями. Он также должен быть убедительным, лаконичным, пробуждать интерес у партнера. Только заинтересовав потенциального инвестора, предприниматель может надеяться на успех своего дела.
Бизнес-план является одним из составных документов, определяющих стратегию развития фирмы. Вместе с тем он базируется на общей концепции развития фирмы, более подробно разрабатывает экономический и финансовый аспект стратегии, дает технико-экономическое обоснование конкретным мероприятиям. Бизнес-план охватывает одну из частей инвестиционной программы, срок реализации которой обычно ограничен одним или несколькими годами (часто корреспондирующими со сроками средне- и долгосрочных кредитов), позволяющей дать достаточно четкую экономическую оценку намеченным мероприятиям.
Таким образом, бизнес-план является не только внутренним документом фирмы, но и может быть использован для привлечения инвесторов. Перед тем как рискнуть некоторым капиталом, инвесторы должны быть уверены в тщательности проработки проекта и осведомлены о его эффективности. Предполагается, что бизнес-план хорошо подготовлен и изложен для восприятия потенциальных инвесторов*.
Хозяйствующий субъект — самостоятельный экономический субъект рыночной экономики. Он сам определяет направления и величину использования прибыли, оставшейся в его распоряжении после уплаты налогов. В этих условиях целью планирования финансов является определение возможных объемов финансовых ресурсов, капитала и резервов на основе прогнозирования величины финансовых показателей. К таким показателям относятся прежде всего собственные оборотные средства, амортизационные отчисления, кредиторская задолженность, постоянно находящаяся в распоряжении хозяйствующего субъекта, прибыль, налоги, уплачиваемые из прибыли, и др.
К задачам планирования финансов относятся:
- обеспечение производственно-торгового процесса необходимыми финансовыми ресурсами. Определение плановых объемов необходимых денежных фондов и направления их расходования;
- установление финансовых отношений с бюджетом, банком, страховыми организациями и другими хозяйствующими субъектами;
- выявление путей наиболее рационального вложения капитала и резервов по его эффективному использованию;
- увеличение прибыли за счет экономного использования денежных средств;
- осуществление контроля за образованием и расходованием денежных средств и эффективного вложения капитала.
Важный момент финансового планирования — его стратегия. Содержанием стратегии финансового планирования хозяйствующего субъекта является определение его центров доходов (прибыли) и центров расходов. Центр доходов хозяйствующего субъекта — это его подразделение, которое приносит ему максимальную прибыль. Центр расходов — это подразделение хозяйствующего субъекта, являющееся малорентабельным или вообще некоммерческим, но играющим важную роль в общем производственно-торговом процессе. Например, в западной экономике многие фирмы придерживаются правила “двадцать на восемьдесят”, т.е. 20% затрат капитала должны давать 80% прибыли. Следовательно, остальные 80% вложений капитала приносят только 20% прибыли. Планирование финансовых показателей осуществляется посредством определенных методов.
Методы планирования — это конкретные способы и приемы расчетов показателей. При планировании финансовых показателей могут применяться следующие методы: нормативный, расчетно-аналитический, балансовый, метод оптимизации плановых решений, экономико-математическое моделирование.
Финансовый план хозяйствующего субъекта представляет собой баланс его доходов и расходов. В состав доходов включаются прежде всего доходы, получаемые за счет устойчивых источников собственных средств. При необходимости в доходную часть включаются суммы, получаемые за счет заемных средств. К устойчивым источникам собственных доходов относятся прибыль, амортизационные отчисления, отчисления в ремонтный фонд, кредиторская задолженность, постоянно находящаяся в распоряжений хозяйствующего субъекта. Цель составления финансового плана состоит в увязке доходов с необходимыми расходами.
При превышении доходов над расходами сумма превышения направляется в резервный фонд. При превышении расходов над доходами определяется сумма недостатка финансовых средств. Эти дополнительные финансовые средства могут быть получены за счет выпуска ценных бумаг, полученных кредитов или займов, благотворительных взносов и т.п. Если источник дополнительных финансовых средств уже точно известен, то эти средства включаются в доходную часть, а возврат их — в расходную часть финансового плана.
Финансовый план составляется на перспективу (пятилетку), на год с разбивкой по кварталам и на более короткий период времени (оперативный). Таким образом, финансовый план бывает пятилетним, годовым, квартальным, оперативным.
Бизнес-план представляет собой прогноз предпринимательской деятельности, разработку ориентиров и реального плана финансово-коммерческих мероприятий. Задачей бизнес-плана являются выявление проблем, с которыми столкнется предприниматель при реализации своих целей в изменчивой, неопределенной, конкурентной хозяйственной среде, и определение конкретных путей решения этих проблем. Бизнес-план выступает в различных формах. Например, он может состоять из следующих разделов:
- организационно-экономическая характеристика хозяйствующего субъекта и его бизнес-плана;
- вид продукции и услуг;
- оценка рынка сбыта продукции и услуг;
- конкуренция;
- маркетинг и продажа;
- план производственно-торговой деятельности;
- менеджмент;
- оценка риска и страхование;
- финансовая стратегия и финансовый план;
- приложения.
В бизнес-плане различают два вида финансового планирования: долгосрочное и краткосрочное. Основой долгосрочного финансового планирования является определение потребности в капитале, позволяющей осуществить выбор и сроки получения кредитов, выпуска ценных бумаг, распределить капитал на собственный и заемный. Важное место в финансовой политике хозяйствующего субъекта отводится таким источникам формирования собственных средств, как ускоренная амортизация и резервный фонд. Заемные денежные средства стремятся привлекать в период оживленной конъюнктуры*.
Реализация финансовой стратегии в её конкретном механизме функционирования финансов предприятия должна базироваться на определенных принципах, адекватных рыночной экономике.
Обобщение зарубежного опыта организации корпоративных финансов, опыта отечественных предприятий, анализа подходов коммерческих банков к оценке финансовой деятельности своих клиентов позволяет рекомендовать руководствоваться следующими основными принципами современной организации финансов предприятий России:
- плановости;
- финансового соотношения сроков;
- взаимозависимости финансовых показателей;
- гибкости (маневрирования);
- минимизации финансовых издержек;
- рациональности;
- финансовой устойчивости.
Естественно, что реализация этих принципов должна осуществляться при разработке финансовой стратегии и организации системы управления финансами конкретного предприятия. При этом необходимо учитывать:
- сферу деятельности (материальное производство, непроизводственная сфера);
- отраслевую принадлежность (промышленность, транспорт, строительство, сельское хозяйство, торговля и т.д.);
- виды (направления) деятельности (экспорт, импорт);
- организационно-правовые формы предпринимательской деятельности.
Схема разработки финансовой стратегии предприятия представлена на рис. 1.
Разработке финансовой стратегии предприятия предшествует анализ финансового состояния предприятия.
Предложения к формированию финансовой стратегии предприятия разрабатываются по объектам и составляющим генеральной финансовой стратегии в нескольких вариантах (не менее трех) с обязательной количественной оценкой предложений и оценкой их влияния на структуру баланса предприятия.
Особое внимание при разработке финансовой стратегии уделяется полноте выявления денежных доходов, мобилизации внутренних ресурсов, максимальному снижению себестоимости продукции, правильному распределению и использованию прибыли, определению потребности в оборотных средствах, рациональному использованию капитала предприятия. Финансовая стратегия разрабатывается с учетом риска неплатежей, скачков инфляции и других форс-мажорных (непредвиденных) обстоятельств. Она должна соответствовать производственным задачам и при необходимости корректироваться и изменяться. Контроль за реализацией финансовой стратегии обеспечивает проверку поступлений доходов, экономное и рациональное их использование, так как хорошо налаженный финансовый контроль помогает выявлять внутренние резервы, повышать рентабельность хозяйства, увеличивая денежные накопления.
Важной частью финансовой стратегии является разработка внутренних нормативов (с помощью которых определяются, например, направления распределения прибыли), успешно используемых в практике зарубежных компаний.
Таким образом, успех финансовой стратегии предприятия гарантируется при взаимоуравновешивании теории и практики финансовой стратегии; при соответствии финансовых стратегических целей реальным экономическим и финансовым возможностям через жесткую централизацию финансового стратегического руководства и гибкость его методов по мере изменения финансово-экономической ситуации.
Анализ финансового состояния
Финансовый анализ на предприятии состоит из собственно анализа (от греческого “analysis” ) — логических приемов определения понятия финансов предприятия, когда это понятие разлагают по признакам на составные части, чтобы таким образом сделать познание его ясным в полном его объеме, синтеза (от греческого “synthesis” ) — соединения ранее разложенных элементов изучаемого объекта в единое целое и выработки мер по улучшению финансового состояния предприятия.
По субъектам проведения финансовый анализ разделяется на внешний и внутренний. Внешний финансовый анализ проводится сторонними организациями, как правило, аудиторскими фирмами. С одной стороны внешний анализ менее детализирован и более формализован, с другой более объективен и проводится более квалифицированными специалистами. Информационная база внутреннего финансового анализа гораздо шире, что позволяет учитывать всю внутреннюю информацию, недоступную для внешних аналитиков, но с другой стороны внутренний анализ более субъективен. В настоящее время он осуществляется работниками предприятия, чаще всего не подготовленными для этой работы. На самом деле основными исполнителями финансового анализа на предприятии должны быть финансовые менеджеры.
Оптимизация основных и оборотных средств
Основные средства представляют собой стоимостную оценку основных производственных фондов — совокупности материально-вещественных ценностей, используемых в качестве средств труда и действующих в натуральной форме в течение длительного времени как в сфере материального производства, так и в непроизводственной сфере. Это здания, сооружения, передаточные устройства, рабочие и силовые машины и оборудование, измерительные и регулирующие приборы и устройства, вычислительная техника, транспортные средства, инструмент, производственный и хозяйственный инвентарь и принадлежности, рабочий и продуктовый скот, многолетние насаждения, внутрихозяйственные дороги и прочие основные средства. К основным средствам относятся также капитальные вложения на улучшение земель (мелиоративные, осушительные, ирригационные и другие работы) и в арендованные здания, сооружения, оборудование и другие объекты. Капитальные вложения в многолетние насаждения, улучшение земель включаются в состав основных средств ежегодно в сумме затрат, относящихся к принятым в эксплуатацию площадям независимо от окончания всего комплекса работ.
В составе основных средств учитываются находящиеся в собственности организации земельные участки, объекты природопользования: вода, недра и другие природные ресурсы.
Основные средства отражаются в бухгалтерском учете и отчетности по первоначальной стоимости, т.е. по фактическим затратам их приобретения, сооружения и изготовления. Изменение первоначальной стоимости основных средств допускается в случаях достройки, дооборудования, реконструкции и частичной ликвидации соответствующих объектов.
Стоимость основных средств организации погашается путем начисления износа — амортизационной стоимости — и списания на издержки производства или обращения в течение нормативного срока их полезного использования по нормам, утвержденным в установленном законодательством порядке, за исключением земельных участков, объектов природопользования и других объектов, относящихся к основным средствам, по которым порядок начисления износа устанавливается отдельными нормативными актами. Накопленный стоимостный износ (амортизированная стоимость) основных средств отражается в учете и отчетности отдельно.
Оценка основных средств может быть по первоначальной, или инвентарной, восстановительной, или приведенной, остаточной, рыночной, или оценочной, ликвидационной стоимости.
Основные средства включают активную и пассивную части, которые играют различную роль в воспроизводственном процессе, и их соотношение зависит от отрасли и вида деятельности предприятия.
Сравнение структуры основных средств в предприятиях одной отрасли позволяет судить о технической оснащенности и условиях производства.
В процессе финансирования и кредитования предпринимательской деятельности большое значение имеет состав оборотных средств предприятий. Это: — запасы товарно-материальных ценностей; — дебиторская задолженность; — краткосрочные финансовые вложения; — денежные средства.
Оптимизация распределения прибыли
Прибыль — это денежное выражение основной части денежных накоплений, создаваемых предприятиями любой формы собственности.
Как экономическая категория прибыль характеризует финансовый результат предпринимательской деятельности предприятия. Она является показателем, наиболее полно отражающим эффективность производства, объем и качество производимой продукции, состояние производительности труда, уровень себестоимости. Вместе с тем прибыль оказывает стимулирующее воздействие на укрепление коммерческого расчета, интенсификацию производства при любой форме собственности.
Прибыль — один из основных финансовых показателей плана и оценки хозяйственной деятельности предприятий. За счет прибыли осуществляются финансовые мероприятия по научно-техническому и социально-экономическому развитию предприятий, увеличение фонда оплаты труда их работников, Она является не только источником обеспечения внутрихозяйственных потребностей предприятий, но приобретает все большее значение в формировании бюджетных ресурсов, внебюджетных и благотворительных фондов.
Распределение и использование прибыли являются важным хозяйственным процессом, обеспечивающим покрытие потребностей предпринимателей и формирование доходов государства.
Механизм распределения прибыли должен быть построен таким образом, чтобы всемерно способствовать повышению эффективности производства, стимулировать развитие новых форм хозяйствования.
В зависимости от объективных условий общественного производства на различных этапах развития российской экономики система распределения прибыли менялась и совершенствовалась. Одной из важнейших проблем распределения прибыли как до перехода на рыночные отношения, так и в условиях их развития является оптимальное соотношение доли прибыли, аккумулируемой в доходах бюджета и распоряжении хозяйствующих субъектов.
Предприятие вправе решать на какие цели и в каких размерах направлять прибыль, оставшуюся после уплаты налогов в бюджет и других обязательных платежей и отчислений, Таким образом, возникает необходимость в четкой системе распределения прибыли прежде всего на стадии, предшествующей образованию чистой прибыли, т.е. прибыли, остающейся в распоряжении предприятия.
В процессе распределения чистой прибыли предприятие вправе самостоятельно определить способ распределения прибыли.
Распределение чистой прибыли может быть осуществлено посредством образования специальных фондов: фонда накопления, фонда потребления и резервного фонда либо непосредственным её распределением по отдельным направлениям. В первом случае предприятие должно составить сметы расходования фондов потребления и накопления в виде дополнения к финансовому плану. Во втором случае распределение прибыли отражается непосредственно в финансовом плане.
Налоговая политика
При разработке наиболее выгодного для фирмы варианта рационализации налогообложения целесообразно в полной мере учитывать необходимость адаптации к непостоянству законодательства и регламентирующих документов, а также учета ужесточения налогового контроля. Оптимизация налогообложения может быть определена как сравнение различных вариантов деловой активности и использование ресурсов в целях определения наиболее низкого уровня возникающих налоговых обязательств.
Налоговая оптимизация основывается на изучении действующих законов и инструкций и на разъяснениях налоговых законов, а также на анализе налоговой политики, проводимой правительством.
Процесс налоговой оптимизации обычно проходит ряд этапов.
Первый — определение наиболее выгодного с налоговой точки зрения места нахождения организации, ее руководящих органов, основных производственных и коммерческих подразделений и т.п.
Второй этап — выбор правовой формы организации, ее структуры с учетом специфики деятельности.
Третий этап — наиболее эффективное использование возможностей налогового законодательства, налоговых льгот при оценке облагаемого дохода и исчисления налоговых обязательств.
Четвертый этап — выявление путей самого разумного использования оборотных средств, размещения полученной прибыли и других накоплений, определение оптимальных форм и методов самой рационализации.
Главная цель налоговой рационализации — расчет вариантов прямых и косвенных налогов, налогов с оборота по результатам деятельности применительно к конкретной сделке в зависимости от различных правовых форм ее реализации.
Здесь следует учитывать, что речь идет не о минимально возможном уровне налогообложения, а о разработке системы сбалансированных налоговых отчислений.
Политика в области ценных бумаг
Совокупность инвестиций предприятий в ценные бумаги образует портфель ценных бумаг или инвестиционный портфель.
Арсенал методов формирования портфеля достаточно обширен; наибольшим авторитетом в настоящее время пользуется теория инвестиционного портфеля Уильяма Шарпа и Гарри Марковица. Основные принципы, изложенные в этой теории, следующие.
Во-первых, успех инвестиций в основном зависит от правильного распределения средств по типам активов. Проведённые западными специалистами эксперименты показали, что прибыль определяется:
- на 94% выбором типа используемых инвестиционных инструментов (акции крупных компаний, краткосрочные казначейские векселя, долгосрочные облигации и др.);
- на 4% выбором конкретных ценных бумаг заданного типа;
- на 2% оценкой момента закупки ценных бумаг.
Данный феномен объясняется тем, что бумаги одного типа сильно коррелируют, т.е. если какая-то отрасль испытывает спад, то убыток инвестора не очень зависит от того, преобладают в его портфеле бумаги той или иной компании.
Во-вторых, риск инвестиций в определённый тип ценных бумаг определяется вероятностью отклонения прибыли от ожидаемого значения. Прогнозируемое значение прибыли можно определить на основе обработки статистических данных о динамике прибыли от инвестиций в эти бумаги в прошлом, а риск — как среднеквадратическое отклонение от ожидаемой прибыли.
В-третьих, ожидаемая доходность и риск инвестиционного портфеля могут меняться путем варьирования его структурой. Существуют различные программы, позволяющие конструировать желаемую пропорцию активов различных типов, например, минимизирующую риск при заданном уровне ожидаемой прибыли или максимизирующую прибыль при заданном уровне риска и др.
В-четвёртых, все оценки, используемые при составлении инвестиционного портфеля, носят вероятностный характер. Конструирование портфеля в соответствии с требованиями классической теории возможно лишь при наличии ряда факторов: сформировавшегося рынка ценных бумаг, определённого периода его функционирования, статистики рынка и др.
Формирование инвестиционного портфеля осуществляется в несколько этапов:
- формулирование целей его создания и определение их приоритетности, в частности, регулярное получение дивидендов или рост стоимости активов, задание уровней риска, минимальной прибыли, отклонения от ожидаемой прибыли и т.п.;
- выбор финансовой компании (это может быть отечественная или зарубежная фирма; при принятии решения можно использовать ряд критериев: репутация фирмы, её доступность, виды предлагаемый фирмой портфелей, их доходность, виды используемых инвестиционных инструментов и т.п.);
- выбор банка, который будет вести инвестиционный счёт.
Одним из важнейших понятий в теории портфельных инвестиций является понятие эффективного портфеля, под которым понимается портфель, обеспечивающий максимальную доходность при некотором заданном уровне риска или минимальный риск при заданном уровне доходности. Алгоритм определения множества эффективных портфелей был разработан Г. Марковицем в 50-е годы как составная часть теории портфеля. Сделанные им разработки были настолько фундаментальными, что, по свидетельству известных специалистов в области портфельных инвестиций Э. Элтона и М. Грубера, исследования в этой области в последующие сорок лет сводились в основном к разработке методов применения базовых идей и концепций теории Марковица.
Внешнеэкономическая деятельность
Внешнеэкономическая деятельность фирмы — это одна из сфер её хозяйственной деятельности, связанная с выходом на внешние рынки и функционированием на внешних рынках.
Направления, формы, методы внешнеэкономической деятельности зависят от вида предпринимательства фирмы — производственного, коммерческого, финансового или сочетания видов предпринимательства.
Внешнеэкономическая деятельность включает следующие основные направления:
- выход на внешний рынок;
- экспортно-импортные поставки товаров, услуг и капитала;
- валютно-финансовые и кредитные операции;
- создание и участие в деятельности совместных предприятий;
- международный маркетинг;
- мониторинг национальной экономической политики и экономики микрохозяйственных связей.
Стратегия внешнеэкономической деятельности подразумевает внимательное рассмотрение всех альтернативных вариантов в сфере внешнеэкономической деятельности, относящихся к долгосрочным целям и их обоснование для принятия тех или иных решений.
Стратегия, устанавливающая общие рамки внешнеэкономической деятельности, всегда необходима, даже если возникают трудности при её осуществлении. Успех в достижении долгосрочных целей внешнеэкономической деятельности фирмы зависит от влияния как внешних, так и внутренних факторов, которые необходимо тщательно рассматривать при разработке стратегии.
Внешние факторы можно представить тремя блоками факторов, оказывающих влияние на долгосрочные цели внешнеэкономической деятельности фирмы и, следовательно, требующих их учёта при выборе стратегии. Они следующие:
- Национальная внешнеэкономическая политика;
- Международные экономические отношения и тенденции в мировых экономических связях;
- Факторы рынков страны — стратегического поля деятельности фирмы.
Внешние факторы фирма не может изменить, их необходимо знать, анализировать и учитывать при принятии решений.
В отличие от внешних, внутренние факторы зависят от фирмы, они заложены в её организационной структуре, структуре управления, профессионализме персонала, работающего на фирме.
К внутренним факторам относятся:
- организационная структура фирмы;
- гибкость системы управления внешнеэкономической деятельностью;
- организация международного маркетинга;
- принципы деятельности менеджеров в сфере внешнеэкономической деятельности;
- качество и быстрота получения информации, имеющей отношение к внешнеэкономической деятельности;
- создание побудительных мотивов для персонала, занятого в сфере внешнеэкономической деятельности фирмы.
Таким образом, внутренние факторы формируются стратегическим потенциалом фирмы.
Оптимизация безналичных расчетов
Финансовая служба влияет на выбор форм расчетов исходя из задач ускорения платежей, минимизации нежелательной задолженности, воздействия на поставщиков при нарушении условий контрактов.
Выбор формы расчетов определяется видом товара, спросом и его предложением, характером хозяйственных связей между контрагентами сделки, способом транспортировки грузов, финансовым положением контрагентов. Этот выбор также определяется соотношением во времени поставки товара и оплаты за него. В результате при оптимальном выборе форма расчетов в договоре будет выполнять еще и функцию правового средства обеспечения обязательства.
При осуществлении безналичных расчетов допускаются следующие формы расчетов: расчеты по инкассо, расчеты платежными поручениями, чеками, требованиями-поручениями, по аккредитиву, а также расчеты в иных формах, предусмотренных законом, установленными в соответствии с ним банковскими правилами и применяемыми в банковской практике обычаями делового оборота.
Ценовая политика
Конкретные возможности ценообразования в значительной степени предопределяют финансовую политику фирмы. Цена является объектом энергичной конкуренции, результаты которой во многом предопределяют и финансовые итоги рыночной деятельности.
Цена — представляет собой экономическую категорию, означающую сумму денег, за которую продавец хочет продать, а покупатель готов купить товар. Цена определенного количества товара составляет его стоимость, отсюда цена — денежная стоимость товара. Когда единица конкретного товара обменивается на определенное количество другого товара, это последнее становится товарной ценой данного товара.
Цена — сложная экономическая категория. В ней фокусируются практически все основные экономические отношения в обществе. Прежде всего это относится к производству и реализации товаров, формированию их стоимости, а также к созданию, распределению и использованию денежных накоплений. Цена опосредствует все товарно-денежные отношения.
Ценообразование — процесс формирования цен на товары и услуги. Характерны две основные системы ценообразования: рыночное ценообразование, функционирующее на базе взаимодействия спроса и предложения, и централизованное государственное ценообразование — формирование цен государственными организациями. При этом в рамках затратного ценообразования в основу формирования цены закладываются издержки производства и обращения.
Цена всегда была основным фактором, определяющим выбор покупателя. Это до сих пор характерно для бедных стран, а также среди неимущих групп населения применительно к товарам первой необходимости. Но в последнее время на покупательском выборе энергичнее стали отражаться ценовые факторы, в частности, стимулирование сбыта, организация распределения товаров и услуг для клиентуры различного покупательского уровня.
Ценовая политика в маркетинге заключается в установлении таких цен, которые удовлетворяли бы не только продавцов, но и покупателей производимых благ.
На процесс ценообразования влияет множество факторов. Маркетинговые цели и издержки фирмы являются лишь приблизительными ориентирами для определения цен на товары и услуги. Прежде чем установить окончательную цену, фирма учитывает также степень государственного регулирования, уровень и динамику спроса, характер конкуренции, потребности оптовых и розничных торговцев, которые продают товар конечному потребителю. Процесс формирования рыночных цен на товары включает ряд этапов:
- постановку задач ценообразования;
- определение спроса;
- оценку издержек;
- проведение анализа цен и товаров конкурентов;
- выбор метода установления цен;
- определение окончательной цены и правил ее будущих изменений;
- учет мер государственного регулирования цен.
Установление цены на товар — процесс, состоящий из ряда этапов. Фирма:
- тщательно определяет цели своего маркетинга, такие как обеспечение выживаемости, максимизации текущей прибыли, завоевания лидерства по показателям доли рынка или качества товара;
- делает для себя оценку спроса, свидетельствующую о вероятных количествах товара, которые реально продать на рынке в течение конкретного отрезка времени по ценам разного уровня. Чем не эластичнее спрос, тем выше может быть цена, предлагаемая фирмой;
- рассчитывает, как изменяется сумма ее издержек при различных уровнях производства;
- изучает цены конкурентов для использования их в качестве базы при ценовом позиционировании собственного товара;
- выбирает для себя один из многих методов ценообразования, прежде всего: “средние издержки плюс прибыль”, анализ безубыточности и обеспечение целевой прибыли; установление цены на основе ощущаемой покупателями ценности товара; на основе уровня текущих цен и т.д.;
- устанавливает окончательную цену на товар с учетом ее наиболее полного психологического восприятия и с обязательной проверкой, что цена эта соответствует практикуемой фирмой политике цен, будет благоприятно воспринята дистрибьюторами и дилерами, собственным торговым персоналом фирмы, конкурентами, поставщиками и государственными органами.
Доходы и поступления; расходы и отчисления средств
Одно из направлений управления финансами предприятия — это эффективное управление потоками денежных средств. Полная оценка финансового состояния предприятия невозможна без анализа потоков денежных средств. Одна из задач управления потоками денежных средств заключается в выявлении взаимосвязи между этими потоками и прибылью, т.е. является ли полученная прибыль результатом эффективных потоков денежных средств или это результат каких-либо других факторов.
Существуют такие понятия, как “движение денежных средств” и “поток денежных средств”.
Под движением денежных средств понимаются все валовые денежные поступления и платежи предприятия. Поток денежных средств связан с конкретным периодом времени и представляет собой разницу между всеми поступившими и выплаченными предприятиями денежными средствами за этот период. Движение денег является первоосновной, в результате чего возникают финансы, т.е. финансовые отношения, денежные фонды, денежные потоки.
В мировой практике поток денежных средств обозначается понятием “кэш фло” (cash flow), хотя буквальный перевод (с англ.) этого термина — поток наличности. Денежный поток, в котором оттоки превышают притоки, называется “негативный кэш фло” (negative cash flow), в обратном случае — это “позитивный кэш фло” (positive cash flow).
Применяется также понятие “дисконтированный, или приведенный денежный поток — кэш фло” (discounted cash flow, или present value cash flow). Слово “дисконт” (discount) означает “скидка”, следовательно, “дисконтирование” означает “приведение будущих денежных потоков в сопоставимый вид с настоящим временем”.
Управление денежными потоками является одним из важнейших направлений деятельности финансового менеджера. Оно включает в себя расчёт времени обращения денежных средств (финансовый цикл), анализ денежного потока, его прогнозирование, определение оптимального уровня денежных средств, составление бюджетов денежных средств и т.п.
Взаимоотношения с бюджетом
Расходы бюджета осуществляются с помощью бюджетного финансирования — предоставления денежных средств юридическим и физическим лицам на проведение мероприятий, предусмотренных бюджетом.
Бюджетное финансирование базируется на определенных принципах и характеризуется специфическими формами представления средств.
Принципы бюджетного финансирования играют важную роль в организации рациональной системы бюджетного финансирования. К ним относятся:
- получение максимального эффекта от использования бюджетных ресурсов;
- целевой характер использования бюджетных ресурсов;
- предоставление бюджетных средств в меру выполнения производственных и других показателей деятельности с учетом использования ранее отпущенных средств;
- безвозвратность и бесплатность основной части бюджетных ассигнований.
В соответствии с Бюджетным кодексом Российской Федерации предоставление бюджетных средств осуществляется в следующих формах:
- ассигнований на содержание бюджетных учреждений;
- средств на оплату товаров, работ и услуг, выполняемых физическими и юридическими лицами по государственным и муниципальным контрактам;
- трансфертов населению;
- ассигнований на осуществление отдельных государственных полномочий, передаваемых на другие уровни власти;
- ассигнований на компенсацию дополнительных расходов, возникающих в результате решений, принимаемых органами государственной власти;
- бюджетных кредитов юридическим лицам (в том числе налоговых кредитов, отсрочек и рассрочек по уплате налогов и платежей и других обязательств);
- субвенций и субсидий физическим и юридическим лицам;
- инвестиций в уставные капиталы действующих или вновь создаваемых юридических лиц;
- бюджетных ссуд, дотаций, субвенций и субсидий бюджетам других уровней бюджетной системы РФ, государственным внебюджетным фондам;
- кредитов иностранным государствам;
- средств на обслуживание и погашение долговых обязательств, в том числе государственных и муниципальных гарантий.
На практике используются следующие разновидности предоставления бюджетных средств:
- Финансирование по системе “нетто-бюджет”. Этот способ предоставления денежных средств характеризуется тем, что бюджетные ассигнования выделяются на довольно ограниченный круг затрат, предусмотренных утвержденным бюджетом;
- Финансирование по системе “брутто-бюджет”. Применяется для предприятий и организаций, полностью состоящих на бюджетном финансировании. В этом случае бюджетные ассигнования выделяются на все виды расходов, которые связаны как с текущим содержанием, так и с расширением деятельности бюджетных учреждений.
Предприятию бюджетные средства могут быть предоставлены в следующих формах: средств на оплату товаров, работ и услуг, выполняемых предприятием по государственным и муниципальным контрактам; бюджетного кредита: субвенций; субсидий; инвестиций в уставный капитал.
Кредитные взаимоотношения
Оценка кредитоспособности предприятий основывается на фактических данных баланса, отчета о прибыли, кредитной заявке, информации об истории клиента и его менеджерах. В качестве способов оценки кредитоспособности используются система финансовых коэффициентов, анализ денежного потока, делового риска и менеджмента* *.
Под финансовым состоянием предприятия понимается способность предприятия финансировать свою деятельность. Финансовое состояние предприятия — это совокупность показателей, отражающих его способность погасить свои долговые обязательства.
Финансовая деятельность охватывает процессы формирования, движения и обеспечения сохранности имущества предприятия, контроля за его использованием. Финансовое состояние является результатом взаимодействия всех элементов системы финансовых отношений предприятия и поэтому определяется совокупностью производственно-хозяйственных факторов.
Основными задачами анализа финансового состояния предприятия являются:
- оценка динамики состава и структуры активов, их состояния и движения;
- оценка динамики состава и структуры источников собственного и заемного капитала, их состояния и движения;
- анализ абсолютных и относительных показателей финансовой устойчивости предприятия и оценка изменения ее уровня;
- анализ платежеспособности предприятия и ликвидности активов его баланса.
Финансовое состояние может быть устойчивым, неустойчивым и кризисным. Способность предприятия своевременно производить платежи, финансировать свою деятельность на расширенной основе свидетельствует о его хорошем финансовом состоянии.
Главная цель анализа — своевременно выявлять и устранять недостатки в финансовой деятельности и находить резервы улучшения финансового состояния предприятия и его платежеспособности.
Основными источниками информации для анализа финансового состояния предприятия служат отчетный бухгалтерский баланс (форма №1), отчет о прибылях и убытках (форма №2) и другие формы отчетности, данные первичного и аналитического бухгалтерского учета, которые расшифровывают и детализируют отдельные статьи баланса.
Прибыль и убыток характеризуют финансовый результат деятельности предприятия и могут быть определены только в системе бухгалтерского учета. С точки зрения бухгалтерского учета прибыль отражает финансовый результат от хозяйственной деятельности, полученный предприятием за отчетный период (в случае превышения доходов над расходами). Прибыль относиться к числу важнейших показателей оценки работы предприятий и определения эффективности деятельности.
ООО СП “Единая торговая система” создано в 1994 году путем вкладов следующих учредителей:
- 50% доли – шведский международный производственный финансовый концерн “Торговая система” ;
- 10% — физическое лицо, гражданин Швеции;
- 40% — российские физические лица.
По уставу предприятие может заниматься производственной, торгово-сбытовой и прочими видами деятельности.
Фонды и резервы предприятия образуются за счет чистой прибыли по решению учредителей.
ООО СП “Единая торговая система” специализируются на экспортно-импортных операциях, связанных с торговлей строительных материалов, продукцией химического производства и лакокрасочных материалов.
Экспорт составляет 90% в общей выручке от реализации.
Основными зарубежными поставщиками являются:
- МПТК “Линдап” ;
- UTS Швеция и филиалы концерна в странах Западной Европы и Америки.
Покупателями продукции на российской территории являются химические и металлургические комбинаты, такие как ОАО “Тверьстеклопластик”, ОАО “Тверьстекловолокно” и другие. Общий список покупателей — более 120 наименований.
Разные авторы предлагают разные методики финансового анализа. Детализация процедурной стороны методики финансового анализа зависит от поставленных целей, а также различных факторов информационного, временного, методического и технического обеспечения. Логика аналитической работы предполагает ее организацию в виде двухмодульной структуры:
- экспресс-анализ финансового состояния;
- детализированный анализ финансового состояния. *
Целью экспресс-анализа является наглядная и простая оценка финансового благополучия и динамики развития хозяйствующего субъекта. В процессе анализа В. В. Ковалев предлагает рассчитать различные показатели и дополнить их методами, основанными на опыте и квалификации специалиста.
Автор считает, что экспресс-анализ целесообразно выполнять в три этапа: подготовительный этап, предварительный обзор финансовой отчетности, экономическое чтение и анализ отчетности.
Цель первого этапа — принять решение о целесообразности анализа финансовой отчетности и убедиться в ее готовности к чтению. Здесь проводится визуальная и простейшая счетная проверка отчетности по формальным признакам и по существу: определяется наличие всех необходимых форм и приложений, реквизитов и подписей, проверяется правильность и ясность всех отчетных форм; проверяются валюта баланса и все промежуточные итоги.
Цель второго этапа — ознакомление с пояснительной запиской к балансу. Это необходимо для того, чтобы оценить условия работы в отчетном периоде, определить тенденции основных показателей деятельности, а также качественные изменения в имущественном и финансовом положении хозяйствующего субъекта.
Третий этап — основной в экспресс-анализе; его цель — обобщенная оценка результатов хозяйственной деятельности и финансового состояния объекта. Такой анализ проводится с той или иной степенью детализации в интересах различных пользователей (таблица 1).
Таблица 1
Совокупность аналитических показателей для экспресс-анализа*
Направление анализа | Показатели |
1. Оценка экономического потенциала субъекта хозяйствования. | |
|
|
Оценка финансового положения. |
|
Наличие “больных” статей в отчетности. |
векселя выданные (полученные) просроченные. |
2. Оценка результатов финансово-хозяйственной деятельности. | |
|
|
|
коэффициент погашаемости дебиторской задолженности. |
|
|
В. В. Ковалев предлагает проводить экспресс-анализ финансового состояния по выше изложенной методике. Экспресс-анализ может завершаться выводом о целесообразности или необходимости более углубленного и детального анализа финансовых результатов и финансового положения.
Цель детализированного анализа финансового состояния — более подробная характеристика имущественного и финансового положения хозяйствующего субъекта, результатов его деятельности в истекающем отчетном периоде, а также возможностей развития субъекта на перспективу. Он конкретизирует, дополняет и расширяет отдельные процедуры экспресс-анализа. При этом степень детализации зависит от желания аналитика.
В. В. Ковалев предлагает следующую программу углубленного анализа финансово-хозяйственной деятельности предприятия:
- Предварительный обзор экономического и финансового положения субъекта хозяйствования:
- характеристика общей направленности финансово-хозяйственной деятельности;
- выявление “больных статей отчетности.
- Оценка и анализ экономического потенциала субъекта хозяйствования:
- оценка имущественного положения;
- построение аналитического баланса-нетто;
- вертикальный анализ баланса;
- горизонтальный анализ баланса;
- анализ качественных сдвигов в имущественном положении;
- оценка финансового положения;
- оценка ликвидности;
- оценка финансовой устойчивости.
Оценка и анализ результативности финансово-хозяйственной деятельности субъекта хозяйствования:
- оценка основной деятельности;
- анализ рентабельности;
- оценка положения на рынке ценных бумаг.
Рассмотрим далее методику анализа финансового состояния, предлагаемую И. Т. Балабановым в его книге “Основы финансового менеджмента” *.
Движение любых ТМЦ, трудовых и материальных ресурсов сопровождается образованием и расходованием денежных средств, поэтому финансовое состояние хозяйствующего субъекта отражает все стороны его производственно-торговой деятельности. Характеристику финансового состояния Балабанов И. Т. предлагает провести по следующей схеме:
- анализ доходности (рентабельности);
- анализ финансовой устойчивости;
- анализ кредитоспособности;
- анализ использования капитала;
- анализ уровня самофинансирования;
- анализ валютной самоокупаемости.
Анализ доходности хозяйствующего субъекта характеризуется абсолютными и относительными показателями. Абсолютный показатель доходности — это сумма прибыли, или доходов.
Относительный показатель — уровень рентабельности. Рентабельность представляет собой доходность, или прибыльность производственно-торгового процесса. Ее величина измеряется уровнем рентабельности. Уровень рентабельности хозяйствующих субъектов, связанных с производством продукции (товаров, работ, услуг), определяется процентным отношением прибыли от реализации продукции к себестоимости продукции.
В процессе анализа изучают динамику изменения объема чистой прибыли, уровня рентабельности и факторы, их определяющие.
Финансово устойчивым считается такое предприятие, которое за счет собственных средств покрывает средства, вложенные в активы (основные фонды, НМА, оборотные средства), не допускает неоправданной дебиторской и кредиторской задолженности и расплачивается в срок по своим обязательствам. Главным в финансовой деятельности, считает И. Т. Балабанов, являются правильная организация и использование оборотных средств. Поэтому в процессе анализа финансового состояния вопросам рационального использования оборотных средств уделяет основное внимание.
Характеристика финансовой устойчивости включает в себя анализ:
- состава и размещения активов хозяйствующего субъекта;
- динамики и структуры источников финансовых ресурсов;
- наличия собственных оборотных средств;
- кредиторской задолженности;
- наличия и структуры оборотных средств;
- дебиторской задолженности;
- платежеспособности.
Под кредитоспособностью хозяйствующего субъекта понимается наличие у него предпосылок для получения кредита и способность возвратить его в срок. Кредитоспособность заемщика характеризуется его аккуратностью при расчетах по ранее полученным кредитам, его текущим финансовым состоянием и перспективами изменения, способностью при необходимости мобилизовать денежные средства из различных источников.
При анализе кредитоспособности используется целый ряд показателей. Наиболее важными из них являются, норма прибыли на вложенный капитал и ликвидность. Норма прибыли на вложенный капитал определяется отношением суммы прибыли к общей сумме пассива по балансу. Ликвидность хозяйствующего субъекта — это способность его быстро погашать свою задолженность. Она определяется соотношением величины задолженности и ликвидных средств.
Вложение капитала должно быть эффективным. Под эффективностью использования капитала понимается величина прибыли, приходящаяся на 1 (один) рубль вложенного капитала. Эффективность капитала — комплексное понятие, включающее в себя использование оборотных средств, основных фондов и НМА. Поэтому анализ эффективности капитала проводится по отдельным частям.
- Эффективность использования оборотных средств характеризуются, прежде всего, их оборачиваемостью. Под оборачиваемостью средств понимается продолжительность прохождения средствами отдельных стадий производства и обращения. Оборачиваемость оборотных средств исчисляется продолжительностью одного оборота в днях или количеством оборотов за отчетный период.
- Эффективность использования капитала в целом. Капитал в целом представляет собой сумму оборотных средств, основных фондов и НМА. Эффективность использования капитала лучше всего измеряется его рентабельностью. Уровень рентабельности капитала измеряется процентным отношением балансовой прибыли к величине капитала.
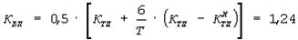
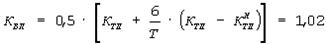
Самофинансирование означает финансирование за счет собственных источников: амортизационных отчислений и прибыли. Эффективность самофинансирования и его уровень зависят от удельного веса собственных источников. Уровень самофинансирования можно определить с помощью коэффициента самофинансирования:
,
где П — прибыль, направляемая в фонд накопления; А — амортизационные отчисления; К — заемные средства; З — кредиторская задолженность и др. привлеченные средства.
Однако хозяйствующий субъект не всегда может полностью обеспечить себя собственными финансовыми ресурсами и поэтому широко использует заемные и привлеченные денежные средства, как элемент, дополняющий самофинансирования.
Принцип валютной самоокупаемости заключается в превышении поступлений валюты над его расходами. Соблюдение этого принципа означает, что хозяйствующий субъект не “проедает” свой валютный фонд, а постоянно накапливает его.
Следующий источник по рассматриваемой проблеме это учебник под редакцией Е. С. Стояновой “Финансовый менеджмент: теория и практика”. Данный автор особое внимание уделяет специфическим методом анализа: это расчеты эффекта финансового рычага и операционного рычага, а также расчету финансовых коэффициентов.
Важнейшими коэффициентами отчетности, использующимися в финансовом управлении по Е. С. Стояновой, являются:
- коэффициенты ликвидности (коэффициент текущей ликвидности, срочной ликвидности и чистый оборотный капитал);
- коэффициенты деловой активности или эффективности использования ресурсов (оборачиваемость активов, оборачиваемость дебиторской задолженности, оборачиваемость материально — производственных запасов и длительность операционного цикла);
- коэффициенты рентабельности (рентабельность всех активов предприятия, рентабельность реализации, рентабельность собственного капитала);
- коэффициенты структуры капитала (коэффициент собственности, коэффициент финансовой зависимости, коэффициент защищенности кредиторов);
- коэффициенты рыночной активности (прибыль на одну акцию, балансовая стоимость одной акции, соотношение рыночной цены акции и ее балансовой стоимости, доходность акции и доля выплаченных дивидендов).
Важным инструментом финансового менеджмента является не только анализ уровня и динамики основных коэффициентов в сравнении с определенной базой, считает автор, но и определения оптимальных пропорций между ними с целью разработки наиболее конкурентоспособной финансовой стратегии.
Эффект финансового рычага — это приращение к рентабельности собственных средств, получаемое благодаря использованию кредита, несмотря на платность последнего. Предприятие, использующее только собственные средства, ограничивает их рентабельность примерно двумя третями экономической рентабельности. Предприятие, использующие кредит, увеличивает либо уменьшает рентабельность собственных средств, в зависимости от соотношения собственных и заемных средств в пассиве и от величины процентной ставки. Тогда и возникает эффект финансового рычага.
, где: ЭР — экономическая рентабельность, равная отношению прибыли до выплаты процентов и налогов к активам; СРСП – среднерасчетная ставка процента; ЗС – заемные средства; СС – собственные средства.
То есть для того, чтобы повысить рентабельность собственных средств, предприятие должно регулировать соотношение собственных и заемных средств.
Большое внимание Е. С. Стоянова уделяет операционному анализу, называемому также анализом «издержки-объем-прибыль», — отражающим зависимость финансовых результатов бизнеса от издержек и объемов производства/сбыта.
Ключевыми элементами операционного анализа служит: операционный рычаг, порог рентабельности и запас финансовой прочности.
Действие операционного рычага проявляется в том, что любое изменение выручки от реализации всегда порождает более сильное изменение прибыли. В практических расчетах для определения силы воздействия операционного рычага применяют отношение валовой маржи (результата от реализации после возмещения переменных затрат) к прибыли.
Порог рентабельности – эта такая выручка от реализации, при которой предприятие уже не имеет убытков, но еще не имеет и прибыли. Вычислив порог рентабельности, получаем пороговое (критическое) значение объема производства – ниже этого количества предприятию производить не выгодно: обойдется себе дороже. Пройдя порог рентабельности, фирма имеет дополнительную сумму валовой маржи на каждую очередную единицу товара. Наращивается и масса прибыли.
Разница между достигнутой фактической выручкой от реализации и порогом рентабельности составляет запас финансовой прочности.
Так как в данной работе не используются элементы операционного анализа, то нет смысла более подробно останавливаться на выше описанном методе.
В статье КЭН М. И. Литвина, рассматриваются некоторые возможности применения матричных методов оценки и анализа финансовых показателей, увязанных с действующей формой бухгалтерского баланса.
Как известно, матричная модель представляет собой прямоугольную таблицу, элементы которой отражают взаимосвязь объектов. Она очень удобна для финансового анализа, поскольку является простой и наглядной формой совмещения разнородных, но взаимосвязанных экономических явлений.
Бухгалтерский баланс предприятия можно представить как матрицу, где по горизонтали расположены статьи актива (имущество), а по вертикали – статьи пассива (источники средств). Размерность матрицы бухгалтерского баланса может соответствовать количеству статей по активу и пассиву баланса 42х35, но для практических целей вполне достаточно размерности 10х10 по сокращенной форме баланса.
В матрице баланса необходимо выделить четыре квадрата по следующей схеме:
Актив | Пассив |
Внеоборотные средства | Собственный капитал |
Оборотные средства | Обязательства |
При составлении сокращенной формы баланса следует не только сгруппировать его статьи, но и исключить из сумм уставного и добавочного капитала статьи актива баланса «Расчеты с учредителями» и «Убытки прошлых лет и отчетного года». Понадобятся также данные из отчета о финансовых результатах и их использовании.
На основе выше перечисленных отчетных данных, надо составить четыре аналитические таблицы:
- Матричный баланс на начало года.
- Матричный баланс на конец года.
- Разностный (динамический) матричный баланс за год.
- Баланс денежных поступлений и расходов предприятия.
Матричные балансы предприятия составляются по единой методике. Первые два баланса носят статический характер и показывают состояние средств предприятия на начало и конец года. Третий баланс отражает динамику – изменение средств предприятия за год (наиболее пригоден для аналитических и прогнозных расчетов).
Правила составления матричной модели для первых трех балансов не сложны.
- Выбирается размер матрицы, статьи актива отражаются по горизонтали матрицы, статьи пассива – по вертикали.
- Заполняется балансовая строка и графа матрицы в точном соответствии с данными бухгалтерского баланса.
- Последовательно, начиная с первой строки актива баланса, подбираются источники средств, находящиеся в распоряжении предприятия (см. табл. 1).
- Проверяются все балансовые итоги по горизонтали и вертикали матрицы (таблица 2).
Наиболее ответственным является третий этап составления матрицы – подбор источников средств, находящихся в распоряжении предприятия. Здесь следует исходить из круга финансовых прав и полномочий предоставленных предприятию, экономической природы внеоборотных и оборотных, собственных и заемных средств, хозяйственной целесообразности.
Таблица 2
Статьи актива баланса | Источники средств (статьи пассива) |
Внеоборотные средства. | |
| уставный и добавочный капитал; долгосрочные кредиты и займы; фонды накопления и нераспределенная прибыль. |
Капитальные вложения. | долгосрочные кредиты и займы; уставный и добавочный капитал; фонды накопления и нераспределенная прибыль. |
Долгосрочные финансовые вложения. | уставный и добавочный капитал; фонды накопления и нераспределенная прибыль. |
Оборотные средства. | |
Запасы и затраты. | уставный и добавочный капитал (остаток) ; резервный капитал; фонды накопления и нераспределенная прибыль (остаток) ; краткосрочные кредиты и займы; кредиторы; фонды потребления и резервы. |
Дебиторы. | кредиторы; краткосрочные кредиты и займы. |
Краткосрочные финансовые вложения. | резервный капитал; кредиторы; фонды потребления и резервы. |
Денежные средства. | резервный капитал; фонды накопления и нераспределенная прибыль; кредиты и займы; фонды потребления и резервы. |
Можно предложить следующий вариант подбора средств (таблица 3). Подбор источников средств проводится в названной последовательности и в пределах остатка средств.
Таблица 3
Матричный баланс предприятия
Пассив Актив | УК и добавочный капитал | Резервный капитал | Фонды накопления и прибыли | Итого собственный капитал | Долгосрочные кредиты | Кредиторы | Фонды потребления и резервы | Итого обязательств | БАЛАНС |
ОС и НМА | х | х | х | ||||||
Кап. вложения | х | х | х | х | х | х | |||
Долгосрочн. фин. вложения. | х | х | х | ||||||
Итого внеоборотные активы | х | х | х | х | х | х | |||
Запасы и затраты | х | х | х | х | х | х | х | ||
Дебиторы | х | х | х | ||||||
Краткосрочн. фин. вложения | х | х | х | ||||||
Денежные средства | х | х | х | х | |||||
Итого оборотные активы | х | х | х | х | х | х | х | х | |
БАЛАНС | х | х | х | х | х | х | х | х | х |
Матричные балансы существенно расширяют информационную базу для финансового анализа. С их помощью можно: определить увязку статей актива (имущества предприятия) и статей пассива баланса (источники средств); рассчитать структуру и определить качество активов по балансу предприятия и достаточность источников их финансирования; рассчитать весь набор показателей и коэффициентов, необходимых для оценки финансовой устойчивости, платежеспособности, использования ресурсов предприятия; объективно оценить финансовое состояние предприятия, выяснить причины его изменения за отчетный период; установить параметры, характеризующие приближение предприятия к порогу неплатежеспособности (банкротству).
Баланс денежных поступлений и расходов предприятия увязывает бухгалтерский баланс с финансовыми результатами работы, наличием денежных средств на счетах, текущим оборотам денежных средств. Он позволяет реально оценить, сколько денежных средств и на каком этапе требуется предприятию, а также дает наглядное представление о составе и структуре денежных доходов и расходов, факторах, повлиявших на изменение денежных остатков на счетах.
Все перечисленные выше методики имеют свои достоинства и недостатки. Исходя из поставленных целей, в данной работе используется методика проведения анализа финансового состояния, предлагаемая В. В. Ковалевым.
Устойчивость финансового положения предприятия в значительной степени зависит от целесообразности и правильности вложения финансовых ресурсов в активы. Активы динамичны по своей природе. В процессе функционирования предприятия и величина активов, и их структура претерпевают постоянные изменения.
Актив баланса позволяет дать общую оценку имущества, находящегося в распоряжении предприятия. А также выделить в составе имущества оборотные (мобильные) и внеоборотные (иммобилизованные) средства. Имущество — это основные фонды, оборотные средства и другие ценности, стоимость которых отражена в балансе. Данные аналитических расчётов приведены в таблице 4.
На основе данных аналитической табл. 4 можно сделать выводы:
- общая стоимость имущества снизилась за отчетный период на 0,33%. Это изменение свидетельствует о спаде хозяйственной деятельности предприятия;
- уменьшение стоимости имущества на 73000 руб. сопровождалось внутренними изменениями в активе: при увеличении внеоборотных активов на 370000 руб. (прирост на 2,72%) произошло уменьшение стоимости оборотных средств на 443000 руб. (снижение на 6,02%) ;
- уменьшение стоимости оборотных активов в целом произошло вследствие уменьшения денежных средств на 53,46% и снижения запасов организации на 21,34%;
- при общем снижении имущества предприятия основное финансирование было направлено на пополнение внеоборотных средств. Из всех групп внеоборотных активов наблюдается снижение только незавершенного строительства на 594000 руб. (на 100%), в остальных – увеличение;
- наиболее крупное увеличение удельного веса, на 4 пункта, наблюдается в расчетах с дебиторами – прирост дебиторской задолженности составил 153,37%. В начале периода она была равна 1647000 руб., а к концу периода увеличилась до 2526000 руб. Это самый высокий показатель динамики относительно других статей актива баланса.
На основе общей оценки актива баланса выявлено снижение производственно-хозяйственного потенциала организации. Это изменение сопровождалось ростом внеоборотных средств и уменьшением стоимости оборотных активов.
Изменение структуры имущества представлено на рис. 2 и 3.
Таблица 4
Изменение имущественного положения организации
(тыс. руб.)
Показатели | На начало года | На конец года | Доля в итоге баланса | Доля в итоге раздела | Изменение | |||
н. г. | к. г. | н. г. | к. г. | тыс. руб. | % | |||
1 | 2 | 3 | 4 | 5 | 6 | 7 | 8 | 9 |
Внеоборотные активы | ||||||||
1. ОС и прочие внеоборотные активы (строка 190) | 13595 | 13965 | 61,25 | 63,12 | 100,00 | 100,00 | 370 | 2,72 |
1.1. Нематериаль- ные активы (строка 110) | - | 11 | - | 0,05 | - | 0,08 | 11 | 100,00 |
1.2. Основные средства (строка 120) | 13001 | 13954 | 58,57 | 63,07 | 95,63 | 99,92 | 953 | 7,33 |
1.3. Незавершён- ное строительство (строка 130) | 594 | - | 2,68 | - | 4,37 | - | -594 | -100,00 |
1.4. Долгосрочные финансовые вложения (строка 140) | - | - | - | - | - | - | - | - |
Оборотные активы | ||||||||
2. Оборотные (мобильные) средства (строка 290) | 7363 | 6920 | 33,17 | 31,28 | 100,00 | 100,00 | -443 | -6,02 |
2.1. Запасы (строка 210) | 5398 | 4246 | 24,32 | 19,19 | 73,31 | 61,36 | -1152 | -21,34 |
2.2. Денежные средства и краткосрочные финансовые вложения (строки 250+260) | 318 | 148 | 1,43 | 0,67 | 4,32 | 2,14 | -170 | -53,46 |
2.3. Дебиторская задолженность (строки 230+240) | 1647 | 2526 | 7,42 | 11,42 | 22,37 | 36,50 | 879 | 53,37 |
2.4. НДС по приобретенным ценностям (строка 220) | - | - | - | - | - | - | - | - |
3. Убытки (строка 390) | 1239 | 1239 | 5,58 | 5,60 | 100,00 | 100,00 | 0,00 | |
Всего имущества (строка 399) | 22197 | 22124 | 100,00 | 100,00 | - | - | -73 | -0,33 |

Рис. 2

Рис. 3
Одна из важнейших характеристик финансового состояния предприятия — стабильность его деятельности в свете долгосрочной перспективы. Она связана с общей финансовой структурой предприятия, степенью его зависимости от кредиторов и инвесторов. Так, многие бизнесмены, включая представителей государственного сектора экономики, предпочитают вкладывать в дело минимум собственных средств, а финансировать его за счет денег, взятых в долг. Однако если структура “собственный капитал — заемные средства” имеет значительный перекос в сторону долгов, предприятие может обанкротиться, если несколько кредиторов одновременно потребуют свои деньги обратно в “неудобное” время.
В рыночных условиях, когда хозяйственная деятельность предприятия и его развитие осуществляется за счёт самофинансирования, а при недостаточности собственных финансовых ресурсов — за счёт заёмных средств, важной аналитической характеристикой является финансовая устойчивость предприятия.
Финансовая устойчивость — это определённое состояние счетов предприятия, гарантирующее его постоянную платежеспособность. В результате осуществления какой-либо хозяйственной операции финансовое состояние предприятия может остаться неизменным, либо улучшиться, либо ухудшиться. Поток хозяйственных операций, совершаемых ежедневно, является как бы “возмутителем” определённого состояния финансовой устойчивости, причиной перехода из одного типа устойчивости в другой. Знание предельных границ изменения источников средств для покрытия вложения капитала в основные фонды или производственные запасы позволяет генерировать такие потоки хозяйственных операций, которые ведут к улучшению финансового состояния предприятия, к повышению его устойчивости.
Задачей анализа финансовой устойчивости является оценка величины и структуры активов и пассивов. Это необходимо, чтобы ответить на вопросы: насколько организация независима с финансовой точки зрения, растет или снижается уровень этой независимости и отвечает ли состояние его активов и пассивов задачам её финансово-хозяйственной деятельности.
На практике применяют разные методики анализа финансовой устойчивости. Проанализируем финансовую устойчивость с помощью абсолютных показателей.
Для аналитических исследований и качественной оценки динамики финансово-экономического состояния предприятия рекомендуется объединить статьи баланса в отдельные специфические группы (табл. 5). Цель — создание агрегированного баланса, который используется для определения важных характеристик финансового состояния предприятия и расчета ряда основных финансовых коэффициентов.
В ходе производственно-хозяйственной деятельности на предприятии идет постоянное формирование (пополнение) запасов товарно-материальных ценностей. Для этого используются как собственные оборотные средства, так и заемные (долгосрочные и краткосрочные кредиты и займы). Анализируя соответствие или несоответствие (излишек или недостаток) средств для формирования запасов и затрат, определяют абсолютные показатели финансовой устойчивости.
Таблица 5
Баланс предприятия (в агрегированном виде) *
АКТИВ | Условные обозна-чения | ПАССИВ | Условные обозна-чения |
Иммобилизованные средства (внеоборотные активы) | F | Источники собственных средств | ИС |
Мобильные средства (оборотные активы) | Ra | Кредиты и заемные средства | К |
Запасы и затраты | Z | Долгосрочные кредиты и заемные средства | КТ |
Дебиторская задолженность | ra | Краткосрочные кредиты и заемные средства | Кt |
Денежные средства и краткосрочные финансовые вложения | Д | Кредиторская задолженность | RP |
Баланс | В | Баланс | B |
Для полного отражения разных видов источников (собственных средств, долгосрочных и краткосрочных кредитов и займов) в формировании запасов и затрат используются следующие показатели:
1. Наличие собственных оборотных средств.
Определяется как разница величины источников собственных средств и величины основных средств и вложений (внеоборотных активов): ЕС = ИС – F, где: ЕС — наличие собственных оборотных средств; ИС — источники собственных средств (итог разд. IV “Капитал и резервы” ); F — основные средства и вложения (итог разд. I баланса “Внеоборотные активы” ).
2. Наличие собственных оборотных средств и долгосрочных заемных источников для формирования запасов и затрат.
Определяется как сумма собственных оборотных средств и долгосрочных кредитов и займов: ЕT = ЕC + КT = (ИC + КT) — F, где: ЕT — наличие собственных оборотных средств и долгосрочных заемных источников для формирования запасов и затрат; КТ — долгосрочные кредиты и заемные средства (итог разд. V баланса “Долгосрочные пассивы” ).
3. Общая величина основных источников средств для формирования запасов и затрат.
Рассчитывается как сумма собственных оборотных средств, долгосрочных и краткосрочных кредитов и займов: ЕΣ = ЕТ + Кt = (ИC + KT + Кt) — F, где: ЕΣ — общая величина основных источников средств для формирования, запасов и затрат; Кt — краткосрочные кредиты и займы (итог разд. VI баланса “Краткосрочные пассивы” ).
На основе этих трех показателей, характеризующих наличие источников, которые формируют запасы и затраты для производственно-хозяйственной деятельности, рассчитываются величины, дающие оценку размера (достаточности) источников для покрытия запасов и затрат:
1. Излишек (+) или недостаток (-) собственных оборотных средств:
±ЕС = ЕС – Z, где: Z — запасы и затраты (стр. 211 + стр. 220 разд. II баланса “Оборотные активы” ).
2. Излишек (+) или недостаток (-) собственных оборотных и долгосрочных заемных источников формирования запасов и затрат:
±EТ = EТ – Z = (EС + KТ) -Z.
3. Излишек (+) или недостаток (-) общей величины основных источников для формирования запасов и затрат:
±EΣ = EΣ – Z = (EС + KТ + Kt) -Z, Показатели обеспеченности запасов и затрат источниками их формирования (±ЕС; ±EТ; ±EΣ). Являются базой для классификации финансового положения предприятия по степени устойчивости.
При определений типа финансовой устойчивости следует использовать трехмерный (трехкомпонентный) показатель:
, где: x1 = ±ЕС; x2 = ±EТ; x3 = ±EΣ.
Функция S (x) определяется следующим образом:
Выделяются четыре основных типа финансовой устойчивости предприятия (табл. 6):
1. Абсолютная устойчивость финансового состояния.
Определяется условиями: ±ЕС
0; ±EТ
0; ±EΣ
0.
Трехмерный показатель
= (l; 1; l).
Абсолютная устойчивость финансового состояния показывает, что запасы и затраты полностью покрываются собственными оборотными средствами. Предприятие практически не зависит от кредитов. Такая ситуация относится к крайнему типу финансовой устойчивости и на практике встречается довольно редко. Однако ее нельзя рассматривать как идеальную, так как предприятие не использует внешние источники финансирования в своей хозяйственной деятельности.
2. Нормальная устойчивость финансового состояния.
Определяется условиями: ±ЕС<0; ±EТ
0; ±EΣ
0.
Предприятие оптимально использует собственные и кредитные ресурсы. Текущие активы превышают кредиторскую задолженность.
Трехмерный показатель
= (0; 1; l).
3. Неустойчивое финансовое состояние.
Определяется условиями: ±ЕС<0; ±EТ<0; ±EΣ
0.
Трехмерный показатель
= (0; 0; l).
Неустойчивое финансовое положение характеризуется нарушением платежеспособности: предприятие вынуждено привлекать дополнительные источники покрытия запасов и затрат, наблюдается снижение доходности производства. Тем не менее еще имеются возможности для улучшения ситуации.
Таблица 6
Типы финансовой устойчивости
Тип финансовой устойчивости | Трехмерный показатель | Используемые источники покрытия затрат | Краткая характеристика |
Абсолютная финансовая устойчивость |
| Собственные оборотные средства | Высокая платежеспособность; предприятие не зависит от кредиторов |
Нормальная финансовая устойчивость |
| Собственные оборотные средства плюс долгосрочные кредиты | Нормальная платежеспособность; эффективное использование заемных средств; высокая доходность производственной деятельности |
Неустойчивое финансовое состояние |
| Собственные оборотные средства плюс долгосрочные и краткосрочные кредиты и займы | Нарушение платежеспособности; необходимость привлечения дополнительных источников; возможность улучшения ситуации |
Кризисное финансовое состояние |
| - | Неплатежеспособность предприятия; грань банкротства |
4. Кризисное (критическое) финансовое состояние.
Определяется условиями: ±ЕС<0; ±EТ<0; ±EΣ<0.
Трехмерный показатель
= (0; 0; 0).
Кризисное финансовое положение — это грань банкротства: наличие просроченных кредиторской и дебиторской задолженностей и неспособность погасить их в срок. В рыночной экономике при неоднократном повторении такого положения предприятию грозит объявление банкротства.
Таблица 7
Анализ финансовой устойчивости предприятия
тыс. руб.
№ п/п | Показатель | На начало периода | На конец периода | Абсолютное отклонение | Темп роста, % |
1 | Источники собственных средств (ИС) | 16704 | 16828 | 124 | 100,74 |
2 | Внеоборотные активы (F) | 13595 | 13965 | 370 | 102,72 |
3 | Собственные оборотные средства (ЕС) [1-2] | 3109 | 2863 | -246 | 92,09 |
4 | Долгосрочные кредиты и заемные средства (КТ) | - | - | - | - |
5 | Наличие собственных оборотных средств и долгосрочных заемных источников для формирования запасов и затрат (ЕТ) [3+4] | 3109 | 2863 | -246 | 92,09 |
6 | Краткосрочные кредиты и займы (Кt) | 5493 | 5296 | -197 | 96,41 |
7 | Общая величина основных источников формирования запасов и затрат (EΣ) [5+6] | 8602 | 8159 | -443 | 94,85 |
8 | Величина запасов и затрат (Z) | 5398 | 4246 | -1152 | 78,66 |
9 | Излишек (недостаток) собственных оборотных средств для формирования запасов и затрат (±ЕС) [3-8] | -2289 | -1383 | 906 | 60,42 |
10 | Излишек (недостаток) собственных оборотных средств и долгосрочных заемных средств для формирования запасов и затрат (±EТ) [5-8] | -2289 | -1383 | 906 | 60,42 |
11 | Излишек (недостаток) общей величины основных источников формирования запасов и затрат (±EΣ) [7-8] | 3204 | 3913 | 709 | 122,13 |
12 | Трехмерный показатель типа финансовой устойчивости (9;10;11) | (0; 0; 0) | (0; 0; 0) | - | - |
Анализируя и оценивая финансовую устойчивость ООО СП “Единая торговая система” (табл. 7), можно сказать, что оно находится в кризисном финансовом состоянии, причем это состояние фиксируется как на начало, так и на конец периода. Такое заключение сделано на основании следующих выводов:
- запасы и затраты не покрываются собственными оборотными средствами (ЕС). На начало года на покрытие запасов и затрат не хватало 73,62% собственных оборотных средств ((5398: 3109) ·100%), к концу года — 48,31%;
- главная причина сохранения кризисного финансового положения предприятия — это превышение темпов роста запасов и затрат над ростом источников формирования: общая величина источников формирования (EΣ) снизилась на 5,15%, собственные оборотные средства уменьшились на 7,91%, а стоимость запасов и затрат снизилась на 21,34%;
- негативным моментом является неудовлетворительное использование предприятием внешних заемных средств. Долгосрочные кредиты и займы не привлекаются. Краткосрочные обязательства представлены в отчетности лишь кредиторской задолженностью, но она снизилась за анализируемый период на 3,59%, т.е. администрация предприятия не желает, не умеет или не может использовать заемные средства для производственно-хозяйственной деятельности;
- у предприятия наблюдается недостаток собственных оборотных средств, что свидетельствует о нехватке их в хозяйственной деятельности для покрытия запасов. Необходимо увеличение уровня собственных оборотных средств.
На рис. 4 и рис. 5 показаны изменения относительных объемов собственных оборотных средств, запасов и затрат предприятия за отчетный период.
Одна из основных характеристик финансово-экономического состояния предприятия — степень зависимости от кредиторов и инвесторов. Владельцы предприятия заинтересованы в минимизации собственного капитала и в максимизации заемного капитала в финансовой структуре организации. Заемщики оценивают устойчивость предприятия по уровню собственного капитала и вероятности банкротства.
Финансовая устойчивость предприятия характеризуется состоянием собственных и заемных средств и анализируется с помощью системы финансовых коэффициентов. Информационной базой для расчета таких коэффициентов являются абсолютные показатели актива и пассива бухгалтерского баланса.
Анализ проводится посредством расчета и сравнения полученных значений коэффициентов с установленными базисными величинами, а также изучения динамики их изменений за определенный период.
Базисными величинами могут быть:
- значения показателей за прошлый период;
- среднеотраслевые значения показателей;
- значения показателей конкурентов;
- теоретически обоснованные или установленные с помощью экспертного опроса оптимальные или критические значения относительных показателей.

Рис. 4.
Динамика относительных объемов собственных оборотных средств предприятия за отчетный период

Рис. 5.
Динамика относительных объемов запасов и затрат предприятия за отчетный период
Оценка финансовой устойчивости предприятия проводится с помощью достаточно большого количества относительных финансовых коэффициентов (табл. 8).
Расчет и анализ относительных коэффициентов (показателей) существенно дополняет оценку абсолютных показателей финансовой устойчивости предприятия. На основании данных табл. 9 можно сделать вывод, что финансовая независимость предприятия высока. Это подтверждается высокими значениями коэффициентов автономии (Кa) и соотношения заемных и собственных средств (КЗ/С). Несмотря на незначительное уменьшение имущественного потенциала предприятия на 0,33%, у него неустойчивое финансовое положение. Наблюдается снижение коэффициента маневренности (КМ). За отчетный период он упал на 8,59%, и на конец года его значение составило 0,17, т.е. покрытие производственных запасов и пополнение оборотных активов за счет собственного капитала предприятия происходило не полностью – коэффициент ниже допустимого ограничения. Это связано с тем, что большая часть средств вложена во внеоборотные активы, что подтверждается низким значением коэффициента соотношения мобильных и иммобилизованных средств (КМ/И).
Таблица 8
Финансовые коэффициенты, применяемые для оценки финансовой устойчивости предприятия
Коэффициент | Что показывает | Как рассчитывается | Комментарий |
| Характеризует независимость от заемных средств. Показывает долю собственных средств в общей сумме всех средств предприятия |
Отношение общей суммы всех средств предприятия к источникам собственных средств | Минимальное пороговое значение на уровне 0,5. Превышение указывает на увеличение финансовой независимости, расширение возможности привлечения средств со стороны |
Коэффициент соотношения заемных и собственных средств | Сколько заемных средств привлекло предприятие на 1 руб. вложенных в активы собственных средств |
Отношение всех обязательств к собственным средствам | Превышение указанной границы означает зависимость предприятия от внешних источников средств, потерю финансовой устойчивости (автономности) |
Коэффициент обеспеченности собственными средствами | Наличие у предприятия собственных оборотных средств, необходимых для его финансовой устойчивости. Критерий для определения неплатежеспособности (банкротства) предприятия |
Отношение собственных оборотных средств к общей величине оборотных средств предприятия | Чем выше показатель (0,5), тем лучше финансовое состояние предприятия, тем больше у него возможностей проведения независимой финансовой политики |
Коэффициент маневренности | Способность предприятия поддерживать уровень собственного оборотного капитала и пополнять оборотные средства за счет собственных источников |
Отношение собственных оборотных средств к общей величине собственных средств (собственного капитала) предприятия | Чем ближе значение показателя к верхней границе, тем больше возможность финансового маневра у предприятия |
Коэффициент соотношения мобильных и иммобилизованных средств | Сколько внеоборотных средств приходится на 1 рубль оборотных активов |
Отношение оборотных средств к внеоборотным активам | Чем выше значение показателя, тем больше средств предприятие вкладывает в оборотные активы |
Коэффициент имущества производственного назначения | Долю имущества производственного назначения в общей стоимости всех средств предприятия |
Отношение суммы внеоборотных активов и производственных запасов к итогу баланса | При снижении показателя ниже рекомендуемой границы целесообразно прив-лечение долгосрочных заемных средств для увеличения имущества производственного назначения |
Коэффициент прогноза банкротства | Доля чистых оборотных активов в стоимости всех средств предприятия |
Отношение разности оборотных средств и краткосрочных пассивов к итогу баланса | Снижение показателей свидетельствует о том, что предприятие испытывает финансовые затруднения |
Таблица 9
Расчет и анализ относительных коэффициентов финансовой устойчивости
тыс. руб.
Показатель | На начало периода | На конец периода | Абсолютное отклонение (+, -) | Темп роста % | |
Имущество предприятия (В) | 22197 | 22124 | -73 | 99,67 | |
Источники собственных средств (капитал и резервы) (ИС) | 16704 | 16828 | 124 | 100,74 | |
Краткосрочные пассивы (Кt) | 5493 | 5296 | -197 | 96,41 | |
Долгосрочные пассивы (КТ) | - | - | - | - | |
Итого заемных средств (Кt+КT) | 5493 | 5296 | -197 | 96,41 | |
Внеоборотные активы (F) | 13595 | 13965 | 370 | 102,72 | |
Оборотные активы (Ra) | 7363 | 6920 | -443 | 93,98 | |
Запасы и затраты (Z) | 5398 | 4246 | -1152 | 78,66 | |
Собственные оборотные средства (ЕС) [2-6] | 3109 | 2863 | -246 | 92,09 | |
Коэффициент | Интервал оптимальных значений | На начало периода | На конец периода | Абсолютное отклонение (+, -) | Темп роста % |
Автономии (Ка) [2: 1] | >0,5 | 0,75 | 0,76 | 0,01 | 101,07 |
Соотношения заемных и собственных средств (КЗ/С) [5: 2] | <0,7 | 0,33 | 0,31 | -0,02 | 95,70 |
Обеспеченности собственными средствами (КО) [9: 7] |
| 0,42 | 0,41 | -0,01 | 97,98 |
Маневренности (КМ) [9: 2] |
| 0,19 | 0,17 | -0,02 | 91,41 |
Соотношения мобильных иммобилизованных средств (КМ/И) [7: 6] | - | 0,54 | 0,50 | -0,04 | 91,49 |
Имущества производственного назначения (КП. ИМ) [ (6+8): 1] |
| 0,86 | 0,82 | -0,04 | 96,20 |
Прогноза банкротства (КПБ) | - | 0,08 | 0,07 | -0,01 | 87,13 |
В условиях массовой неплатежеспособности и применения ко многим предприятиям процедур банкротства (признания несостоятельности) объективная и точная оценка финансово-экономического состояния приобретает первостепенное значение. Главным критерием такой оценки являются показатели платежеспособности и степень ликвидности предприятия.
Платежеспособность предприятия определяется его возможностью и способностью своевременно и полностью выполнять платежные обязательства, вытекающие из торговых, кредитных и иных операций денежного характера. Платежеспособность влияет на формы и условия коммерческих сделок, в том числе на возможность получения кредита.
Ликвидность предприятия определяется наличием у него ликвидных средств, к которым относятся наличные деньги, денежные средства на счетах в банках и легкореализуемые элементы оборотных ресурсов. Ликвидность отражает способность предприятия в любой момент совершать необходимые расходы.
Ликвидность и платежеспособность как экономические категории не тождественны, но на практике они тесно взаимосвязаны между собой.
Ликвидность предприятия отражает платежеспособность по долговым обязательствам. Неспособность предприятия погасить свои долговые обязательства перед кредиторами и бюджетом приводит его к банкротству. Основаниями для признания предприятия банкротом являются не только невыполнение им в течение нескольких месяцев своих обязательств перед бюджетом, но и невыполнение требований юридических и физических лиц, имеющих к нему финансовые или имущественные претензии.
Улучшение платежеспособности предприятия неразрывно связано с политикой управления оборотным капиталом, которая нацелена на минимизацию финансовых обязательств. Прибыль — долгосрочная цель, но в краткосрочном плане даже прибыльное предприятие может обанкротиться из-за отсутствия денежных средств.
Для оценки платежеспособности и ликвидности могут быть использованы следующие основные приемы (рис. 6): Рис. 6. Приемы проведения оценки платежеспособности и ликвидности предприятия При анализе ликвидности баланса проводится сравнение активов, сгруппированных по степени их ликвидности, с обязательствами по пассиву, сгруппированными по срокам их погашения. Расчет и анализ коэффициентов ликвидности позволяет выявить степень обеспеченности текущих обязательств ликвидными средствами.
Оценка ликвидности баланса
Главная задача оценки ликвидности баланса — определить величину покрытия обязательств предприятия его активами, срок превращения которых в денежную форму (ликвидность) соответствует сроку погашения обязательств (срочности возврата).
Для проведения анализа актив и пассив баланса группируются (рис. 6) по следующим признакам:
- по степени убывания ликвидности (актив);
- по степени срочности оплаты (погашения) (пассив).
Активы в зависимости от скорости превращения в денежные средства (ликвидности) разделяют на следующие группы: Al — наиболее ликвидные активы. К ним относятся денежные средства предприятий и краткосрочные финансовые вложения (стр. 260 + стр. 250).
А2 — быстрореализуемые активы. Дебиторская задолженность и прочие активы (стр. 240 + стр. 270).
A3 — медленнореализуемые активы. К ним относятся статьи из разд. II баланса “Оборотные активы” (стр. 210 + стр. 220 — стр. 217) и статья “Долгосрочные финансовые вложения” из разд. I баланса “Внеоборотные активы” (стр. 140).
А4 — труднореализуемые активы. Это статьи разд. I баланса “Внеоборотные активы” (стр. 110 + стр. 120 — стр. 140).
Группировка пассивов происходит по степени срочности их возврата: П1 — наиболее краткосрочные обязательства. К ним относятся статьи “Кредиторская задолженность” и “Прочие краткосрочные пассивы” (стр. 620 + стр. 670).
П2 — краткосрочные пассивы. Статьи “Заемные средства” и другие статьи разд. VI баланса “Краткосрочные пассивы” (стр. 610 + стр. 630 + стр. 640 + стр. 650 + стр. 660).
ПЗ — долгосрочные пассивы. Долгосрочные кредиты и заемные средства (стр. 510 + стр. 520).
П4 — постоянные пассивы. Статьи разд. I баланса “Капитал и резервы” (стр. 490 — стр. 217).
При определении ликвидности баланса группы актива и пассива сопоставляются между собой (рис. 7).
Условия абсолютной ликвидности баланса: Al
П1; А2
П2; A3
ПЗ; А4
П4.
Необходимым условием абсолютной ликвидности баланса является выполнение первых трех неравенств. Четвертое неравенство носит так называемый балансирующий характер: его выполнение свидетельствует о наличии у предприятия собственных оборотных средств (ЕС = ИС — F). Если любое из неравенств имеет знак, противоположный зафиксированному в оптимальном варианте, то ликвидность баланса отличается от абсолютной.
Группировка статей актива и пассива для анализа ликвидности баланса Теоретически недостаток средств по одной группе активов компенсируется избытком по другой, но на практике менее ликвидные средства не могут заменить более ликвидные.
Сопоставление А1-П1 и А2-П2 позволяет выявить текущую ликвидность предприятия, что свидетельствует о платежеспособности (неплатежеспособности) в ближайшее время. Сравнение A3-ПЗ отражает перспективную ликвидность. На ее основе прогнозируется долгосрочная ориентировочная платежеспособность.
Анализ ликвидности баланса проводится с помощью аналитической табл. 10, по данным которой можно сделать вывод, что баланс предприятия соответствует не всем критериям абсолютной ликвидности. Предприятие полностью на начало и конец года покрывает свои обязательства только по краткосрочным и долгосрочным пассивам, т.к. они равны нулю. Наиболее срочные и постоянные пассивы не покрываются ни на начало года, ни на конец.
При изучении баланса следует обратить внимание на один очень важный показатель — чистый оборотный капитал, или чистые оборотные средства. Это абсолютный показатель, с помощью которого также можно оценить ликвидность предприятия.
Чистый оборотный капитал равен разнице между итогами разд. II баланса “Оборотные активы” и разд. VI баланса “Краткосрочные пассивы”.
Таблица 10
Анализ ликвидности баланса
тыс. руб.
Актив | На начало года | На конец года | Пассив | На начало года | На конец года | Платежный излишек (+) / недостаток (—) | Процент покрытия обязательств | ||
На начало года [2-5] | На конец года [3-6] | На начало года [2: 5·100] | На конец года [3: 6·100] | ||||||
1 | 2 | 3 | 4 | 5 | 6 | 7 | 8 | 9 | 10 |
Наиболее ликвидные активы, А1 | 318 | 148 | Наиболее срочные пассивы, П1 | 5493 | 5296 | -5175 | -5148 | 5,79 | 2,79 |
Быстрореализуемые активы, А2 | 1647 | 2526 | Краткосрочные пассивы, П2 | - | - | +1647 | +2526 | - | - |
Медленнореализуемые активы, A3 | 7231 | 5485 | Долгосрочные пассивы, П3 | - | - | +7231 | +5485 | - | - |
Труднореализумые активы, А4 | 13001 | 13965 | Постоянные пассивы, П4 | 16704 | 16828 | -3703 | -2863 | 5,79 | 82,99 |
Баланс | 22197 | 22124 | Баланс | 22197 | 22124 | - | - | - | - |
Изменение уровня ликвидности определяется по изменению (динамике) абсолютного показателя чистого оборотного капитала. Он составляет величину, оставшуюся после погашения всех краткосрочных обязательств. Следовательно, рост этого показателя — повышение уровня ликвидности предприятия.
На анализируемом предприятии краткосрочные пассивы полностью покрываются оборотными средствами (табл. 11). Но за отчетный период значение чистого оборотного капитала уменьшилось на 13,16%, следовательно, у предприятия снизился уровень ликвидности и платежеспособности.
Таблица 11
Исчисление чистого оборотного капитала
тыс. руб.
Показатели | На начало года | На конец года |
1. Оборотные активы | 7363 | 6920 |
2. Краткосрочные пассивы | 5493 | 5296 |
3. Чистый оборотный капитал [1-2] | +1870 | +1624 |
Оценка относительных показателей ликвидности и платежеспособности
Для качественной оценки платежеспособности и ликвидности предприятия кроме анализа ликвидности баланса необходим расчет коэффициентов ликвидности (табл. 12).
Цель расчета — оценить соотношение имеющихся активов, как предназначенных для непосредственной реализации, так и задействованных в технологическом процессе, с целью их последующей реализации и возмещения вложенных средств и существующих обязательств, которые должны быть погашены предприятием в предстоящем периоде.
Расчет основывается на том, что виды оборотных средств обладают различной степенью ликвидности: абсолютно ликвидны денежные средства, далее по убывающей степени ликвидности следуют краткосрочные финансовые вложения, дебиторская задолженность, запасы и затраты. Поэтому для оценки платежеспособности и ликвидности предприятия применяют показатели, которые различаются в зависимости от порядка включения их в расчет ликвидных средств, рассматриваемых в качестве покрытия краткосрочных обязательств.
Главное достоинство показателей — простота и наглядность — может обернуться существенным недостатком — неточностью выводов. Поэтому следует осторожно подходить к оценке платежеспособности предприятия этим методом.
Таким образом, анализ коэффициентов ликвидности показывает (табл. 13), что предприятие находится в неустойчивом финансовом положении. Коэффициенты характеризуют низкую платежеспособность и ликвидность, оптимальному значению соответствует только коэффициент текущей ликвидности — оборотных средств достаточно, чтобы покрыть свои краткосрочные обязательства.
Следует обратить внимание на низкие коэффициенты срочной и абсолютной ликвидности. Это указывает на большую дебиторскую задолженность и снижение платежеспособности предприятия.
Таблица 12
Финансовые коэффициенты, применяемые для оценки ликвидности предприятия
Коэффициент | Что показывает | Как рассчитывается | Комментарий |
1. Коэф-нт текущей ликвидности (покрытия) | Достаточность оборотных средств предприятия, которые могут быть использованы им для погашения своих краткосрочных обязательств. Характеризует запас прочности, возникающей вследствие превышения ликвидного имущества над имеющимися обязательствами |
Отношение текущих активов (оборотных средств) к текущим пассивам (краткосрочным обязательствам) | 1 Нижняя граница указывает на то, что оборотных средств должно быть достаточно, чтобы покрыть свои краткосрочные обязательства. Превышение оборотных активов над краткосрочными обязательствами более чем в два раза считается нежелательным, поскольку это свидетельствует о нерациональном вложении своих средств и неэффективном их использовании |
2. Коэф-нт критической (срочной) ликвидности | Прогнозируемые платежные возможности предприятия при условии своевременного проведения расчетов с дебиторами |
Отношение денежных средств и краткосрочных финансовых вложений плюс суммы мобильных средств в расчетах с дебиторами к текущим пассивам | ККЛ Низкое значение указывает на необходимость постоянной работы с дебиторами, чтобы обеспечить возможность обращения наиболее ликвидной части оборотных средств в денежную форму для расчетов |
3. Коэф-нт абсолютной ликвидности | Какую часть краткосрочной задолженности предприятие может погасить в ближайшее время. Характеризует платежеспособность предприятия на дату составления баланса |
Отношение денежных средств и краткосрочных финансовых вложений к текущим пассивам | КАЛ Низкое значение указывает на снижение платежеспособности предприятия |
Таблица 13
Расчет и анализ коэффициентов ликвидности
тыс. руб.
Показатель | На начало периода | На конец периода | Изменение | |
| 318 | 148 | -170 | |
Краткосрочные финансовые вложения | - | - | - | |
Итого денежных средств и краткосрочных финансовых вложений, (Д) | 318 | 148 | -170 | |
Дебиторская задолженность | 1647 | 2526 | 879 | |
Прочие оборотные активы | - | - | - | |
Итого дебиторской задолженности и прочих активов, (ra) | 1647 | 2526 | 879 | |
Итого денежных средств, финансовых вложений и дебиторской задолженности, (Д+ra) | 1965 | 2674 | 709 | |
Запасы и затраты (без расходов будущих периодов), (Z) | 5398 | 4246 | -1152 | |
Итого оборотных средств, (Ra) | 7363 | 6920 | -443 | |
Краткосрочные пассивы | 5493 | 5296 | -197 | |
Коэффициент | Интервал оптимальных значений | На начало периода | На конец периода | Измене-ние |
Покрытия (КП) [9: 10] |
| 1,34 | 1,31 | -0,03 |
Критической ликвидности (ККЛ) [7: 10] |
| 0,36 | 0,50 | 0,15 |
Абсолютной ликвидности (КАЛ) [3: 10] |
| 0,06 | 0,03 | -0,03 |
Деловую активность предприятия можно представить как систему качественных и количественных критериев.
Качественные критерии — это широта рынков сбыта (внутренних и внешних), репутация предприятия, конкурентоспособность, наличие стабильных поставщиков и потребителей и т.п. Такие неформализованные критерии необходимо сопоставлять с критериями других предприятий, аналогичных по сфере приложения капитала.
Количественные критерии деловой активности определяются абсолютными и относительными показателями. Среди абсолютных показателей следует выделить объем реализации произведенной продукции (работ, услуг), прибыль, величину авансированного капитала (активы предприятия). Целесообразно учитывать сравнительную динамику этих показателей. Оптимальное соотношение TП > TВ > TАК > 100%, где: TП — темп изменения прибыли; TВ — темп изменения выручки от реализации продукции (работ, услуг); TАК — темп изменения активов (имущества) предприятия.
Приведенное соотношение получило название “золотого правила экономики предприятия”: прибыль должна возрастать более высокими темпами, чем объемы реализации и имущества предприятия. Это означает следующее: издержки производства и обращения должны снижаться, а ресурсы предприятия использоваться более эффективно. Однако на практике даже у стабильно прибыльного предприятия в некоторых случаях возможно отклонение от этого соотношения. Причины могут быть разные: крупные инвестиции, освоение новых технологий, реорганизация структуры управления и производства (стратегические изменения, организационное развитие), модернизация и реконструкция и др. Эти мероприятия зачастую вызваны влиянием внешней среды (внешнего окружения) и требуют значительных финансовых вложений, которые окупятся и принесут выгоду в будущем.
Относительные показатели деловой активности характеризует уровень эффективности использования ресурсов (материальных, трудовых и финансовых). Предлагаемая система показателей деловой активности (табл. 14) базируется на данных бухгалтерской (финансовой) отчетности предприятий. Это обстоятельство позволяет по данным расчета показателей контролировать изменения в финансовом состоянии предприятия.
Для расчета применяются абсолютные итоговые данные за отчетный период по выручке, прибыли и т.п. Но показатели баланса исчислены на начало и конец периода, т.е. имеют одномоментный характер. Это вносит некоторую неясность в интерпретацию данных расчета. Поэтому при расчете коэффициентов применяются показатели, рассчитанные к усредненным значениям статей баланса. Можно также использовать данные баланса на конец года.
Пример расчета показателей деловой активности приведен в табл. 15.
Условные обозначения (табл. 14 и 15): FСР — средняя за период стоимость внеоборотных активов; ВСР — средний за период итог баланса;
— средняя за период величина оборотных активов; ZСР — средняя за период величина запасов и затрат;
— средняя за период дебиторская задолженность;
— средняя за период кредиторская задолженность;
— средняя за период величина собственного капитала резервов.
Таблица 14
Система показателей деловой активности предприятия
Показатель | Формула расчета | Комментарий |
1 | 2 | 3 |
Выручка от реализации (V) | - | - |
Чистая прибыль (PЧ) | Прибыль отчетного года минус налог на прибыль (ф. №2,140-150) | Чистая прибыль — это прибыль, остающаяся в распоряжении предприятия после расчетов с бюджетом по налогу на прибыль |
Производительность труда (ПТ) |
| Рост показателя свидетельствует о повышении эффективности использования трудовых ресурсов. Численность работников — ф. №5, разд. 8 (стр. 850) |
Фондоотдача производственных фондов (Ф) |
| Отражает эффективность использования основных средств и прочих внеоборотных активов. Показывает, сколько на 1 руб. стоимости внеоборотных активов реализовано продукции |
Коэффициент общей оборачиваемости капитала (ОК) |
| Показывает скорость оборота всех средств предприятия |
Коэффициент оборачиваемости оборотных средств (ООБ) |
| Отражает скорость оборота материальных и денежных ресурсов предприятия за анализируемый период, или сколько рублей оборота (выручки) приходится на каждый рубль данного вида активов |
Коэффициент оборачиваемости материальных оборотных средств (ОМ. СР) |
| Скорость оборота запасов и затрат, т.е. число оборотов за отчетный период, за который материальные оборотные средства превращаются в денежную форму |
Средний срок оборота дебиторской задолженности (СД/З) |
| Показатель характеризует продолжительность одного оборота дебиторской задолженности в днях. Снижение показателя — благоприятная тенденция |
Коэффициент оборачиваемости дебиторской задолженности (ОД/З) |
| Показывает число оборотов за период коммерческого кредита, предоставленного предприятием. При ускорении оборачиваемости происходит снижение значения показателя, что свидетельствует об улучшении расчетов с дебиторами |
Средний срок оборота материальных средств (СМ. СР) |
| Продолжительность оборота материальных средств за отчетный период |
Коэффициент оборачиваемости кредиторской задолженности (ОК/З) |
| Показывает скорость оборота задолженности предприятия. Ускорение неблагоприятно сказывается на ликвидности предприятия: если ОК/З < ОД/З. Возможен остаток денежных средств у предприятия |
Продолжительность оборота кредиторской задолженности (СК/З) |
| Показывает период, за который предприятие покрывает срочную задолженность. Замедление оборачиваемости, т.е. увеличение периода, характеризуется как благоприятная тенденция |
1 | 2 | 3 |
Коэффициент оборачиваемости собственного капитала (ОСК) |
| Отражает активность собственных средств или активность денежных средств, которыми рискуют акционеры или собственники предприятия. Рост в динамике означает повышение эффективности используемого собственного капитала |
Продолжительность операционного цикла (ЦО) |
| Характеризует общее время, в течение которого финансовые ресурсы находятся в материальных средствах и дебиторской задолженности. Необходимо стремиться к снижению значения данного показателя |
Продолжительность финансового цикла (ЦФ) |
| Время, в течение которого финансовые ресурсы отвлечены из оборота. Цель управления оборотными средствами — сокращение финансового цикла, т.е. сокращение операционного цикла и замедление срока оборота кредиторской задолженности до приемлемого уровня |
Коэффициент устойчивости экономического роста (КУР) |
| Характеризует устойчивость и перспективу экономического развития предприятия. Определяет возможности предприятия по расширению основной деятельности за счет реинвестирования собственных средств. Показывает, какими темпами в среднем увеличивается экономический потенциал предприятия |
Таблица 15
Расчет показателей деловой активности
Показатель | Расчет и значение |
Выручка от реализации, руб. | V=5812,9 |
Чистая прибыль, руб. | PЧ=421,6-143,2=278,4 |
Фондоотдача производственных фондов | Ф=5812,9/0,5 (13001+13954) =0,43 |
Коэффициент общей оборачиваемости капитала | ОК=5812,9/0,5 (22197+22124) =0,26 |
Коэффициент оборачиваемости оборотных средств | ООБ=5812,9/ (7363+6920) =0,81 |
Полный коэффициент оборачиваемости дебиторской задолженности | ОД/З=5812,9/0,5 (1647+2526) =2,79 |
Коэффициент оборачиваемости материальных оборотных средств | ОМ. СР=5812,9/0,5 (5398+4246) =1,21 |
Средний срок оборачиваемости дебиторской задолженности, дн. | СД/З=365/2,79=131 |
Средний срок оборота материальных средств, дн. | СМ. СР=365/1,21=302 |
Коэффициент оборачиваемости кредиторской задолженности | ОК/З=5812,9/0,5 (5493+5296) =1,08 |
Средняя продолжительность оборота кредиторской задолженности, дн. | СК/З=365/1,08=338 |
Оборачиваемость собственного капитала | ОСК=5812,9/0,5 (15465+15589) =0,37 |
Продолжительность операционного цикла, дн. | ЦО=131+302=433 |
Продолжительность финансового цикла, дн. | ЦФ=433-338=95 |
ВЫВОД
Анализ финансового состояния предприятия показал, что предприятие по итогам отчётного периода получило чистую прибыль в размере 123,6 тыс. руб., объём реализации продукции составил 5812,9 тыс. руб. При этом основная деятельность предприятия убыточна и прибыль получена за счёт внереализационных операций. Что касается других показателей, характеризующих финансовое состояние данного предприятия, то имущество предприятия за отчётный период уменьшилось на 73 тыс. руб.; предприятие имеет убытки в размере 1239 тыс. руб. (5,6% в валюте баланса); испытывает недостаток общей величины источников формирования запасов и затрат 2622 тыс. руб.; общий коэффициент ликвидности равен 0,51, то есть предприятие может погасить только 51% своих обязательств; рентабельность капитала 0,02 руб., то есть на 1 вложенный рубль предприятие получает 2 копейки прибыли в год; предприятие имеет неудовлетворительную структуру баланса (КТЛ<2).
Перед предприятием стоит проблема выживания. Для предприятия характерна “реактивная” форма управления финансами. Она базируется на принятии управленческих решений как реакция на текущие проблемы, т.е. “латание дыр”, которые сводятся, как правило, к обеспечению любой ценой наиболее срочных текущих платежей и приводит к существенным нарушениям интересов собственников и менеджеров, интересов коллективов предприятий и фискальных интересов государства, что во многом обуславливается отсутствием финансовой стратегии.
Разработаем финансовую стратегию предприятия, используя результаты финансового анализа рассматриваемого предприятия, изложенные в главе 2. В ходе финансового анализа было выявлено, что рассматриваемое предприятие практически находится на грани банкротства. Для выхода из сложившейся ситуации необходимо улучшить финансовое состояние предприятия по всем проанализированным показателям.
Разберём возможность улучшения финансовой устойчивости данного предприятия. По результатам анализа финансовой устойчивости установлено, что предприятие на начало и конец рассматриваемого периода находится в кризисном финансовом состоянии (табл. 7).
Цель предложения к формированию финансовой стратегии — вывести предприятие из кризисного финансового состояния. Предложения к разработке финансовой стратегии по выводу предприятия из кризисного финансового состояния содержатся в табл. 16. Они сформированы по объектам финансовой стратегии с вариантами оптимизации составляющих финансовой стратегии.
По трём предложенным вариантам оптимизации составляющих финансовой стратегии, изложенным в табл. 16, рассчитываем показатели финансовой устойчивости предприятия. Результаты расчёта оптимизации показателей финансовой устойчивости приводятся в табл. 17.
Предложения к формированию финансовой стратегии предприятия по выводу предприятия из кризисного финансового состояния представлены в табл. 16. Суть предложений заключается в следующем: 1) Предприятие реализует 10% основных средств; сокращает затраты в незавершённом производстве (за счёт уменьшения производственного цикла) на 5%; снижает затраты на производство продукции на 20%; направляет 100% прибыли на развитие производства; добивается получения краткосрочного бюджетного кредита в виде отсрочки по уплате налогов и платежей в размере 448 тыс. руб. (182 тыс. руб. по социальному страхованию и обеспечению, 266 тыс. руб. по задолженности перед бюджетом).
2) Предприятие реализует 10% основных средств; сокращает затраты в незавершённом производстве (за счёт уменьшения производственного цикла) на 5%; снижает затраты на производство продукции на 20%; направляет 100% прибыли на развитие производства; добивается получения долгосрочного бюджетного кредита в виде отсрочки по уплате налогов и платежей в размере 448 тыс. руб. (182 тыс. руб. по социальному страхованию и обеспечению, 266 тыс. руб. по задолженности перед бюджетом).
3) Предприятие реализует 5% основных средств; сокращает затраты в незавершённом производстве (за счёт уменьшения производственного цикла) на 5%; снижает затраты на производство продукции на 5%; выпускает привилегированные акции для своих работников в размере 1 % от уставного капитала; добивается получения финансирования за счёт зарубежного гранта на создание новых технологий производства 1500 тыс. руб.; направляет 100% прибыли на развитие производства.
Таблица 16
Предложения к формированию финансовой стратегии по выводу предприятия из кризисного финансового состояния
Объекты финансовой стратегии | Составляющие финансовой стратегии | Предложения | Влияние на разделы баланса | |||
Наименование предложения | Количественная оценка по вариантам, тыс. руб. | |||||
#1 | #2 | #3 | ||||
1. Доходы и поступления | 1.1. Оптимизация основных и оборотных средств | 1.1.1. Продажа части основных средств | 1395,4 | 1395,4 | 697,7 | -А1 |
1.1.2. Сокращение затрат в незавершённом производстве (за счёт уменьшения производственного цикла) | 194,6 | 194,6 | 194,6 | -3 | ||
1.1.3. Снижение затрат на производство продукции | 849,2 | 849,2 | 212,3 | -3 | ||
1.2. Политика в области ценных бумаг | 1.2.1. Выпуск привилегированных акций для своих работников | - | - | 221,2 | +П4 | |
1.3. Внешнеэкономическая деятельность | 1.3.1. Получение финансирования за счёт зарубежных грантов на создание новых технологий производства и обработки резинотехнических изделий | - | - | 1500,0 | +П4 | |
2. Расходы и отчисления | 2.1. Оптимизация распределения прибыли | 2.1.1. Направить прибыль на развитие производства | 123,6 | 123,6 | 123,6 | +П4 |
3. Взаимоотношения с бюджетом | 3.1. Оптимизация основных и оборотных средств | 3.1.1. Получение краткосрочного бюджетного кредита | 448,0 | - | - | +П6 |
3.1.2. Получение долгосрочного бюджетного кредита | - | 448,0 | - | +П5 |
Можно с определённой степенью условности выделить следующие три типа финансовой ситуации характерные для рассматриваемого предприятия и охарактеризовать их.
1) Абсолютно устойчивая финансовая ситуация характеризуется тем, что все запасы полностью покрываются собственными оборотными средствами, т.е. предприятие не зависит от внешних кредиторов. Такая ситуация встречается крайне редко. Более того, она вряд ли может рассматриваться как идеальная, поскольку означает, что администрация не умеет, не желает или не имеет возможности использовать внешние источники средств для основной деятельности.
2) Нормально устойчивая финансовая ситуация характеризуется тем, что предприятие использует для покрытия запасов различные “нормальные” источники средств — собственные и привлечённые (собственные оборотные средства; краткосрочные ссуды и займы; кредиторская задолженность по товарным операциям).
3) Неустойчивая финансовая ситуация характеризуется тем, что предприятие для покрытия части своих запасов вынужденно привлекать дополнительные источники покрытия, не являющиеся в известном смысле “нормальными”, т.е. обоснованными.
Таблица 17
Результаты расчёта по предложениям выведения предприятия из кризисного состояния
Показатели | Значение, тыс. руб. | ||
по вариантам | |||
#1 | #2 | #3 | |
1. Источники собственных средств (Капитал и резервы) | 15712,6 | 15712,6 | 17433,8 |
2. Внеоборотные активы | 12569,9 | 12569,9 | 13267,3 |
3. Наличие собственных оборотных средств | 3143,0 | 3143,0 | 4166,5 |
4. Долгосрочные заёмные средства | 448,0 | ||
5. Наличие собственных и долгосрочных заёмных оборотных средств | 3143,0 | 3591,0 | 4166,5 |
6. Краткосрочные заёмные средства | 448,0 | ||
7. Общая величина источников формирования запасов | 3591,0 | 3591,0 | 4166,5 |
8. Запасы и НДС | 3202,2 | 3202,2 | 3839,1 |
9. Излишек (+) или недостаток (-) собственных оборотных средств | -59,2 | -59,2 | 327,4 |
10. Излишек (+) или недостаток (-) собственных и долгосрочных заёмных оборотных средств | -59,2 | 388,8 | 327,4 |
11. Излишек (+) или недостаток (-) общей величины источников формирования запасов (собственные, долгосрочные и краткосрочные заёмные источники) | 388,8 | 388,8 | 327,4 |
Тип финансовой ситуации | Неустойчивая | Нормально устойчивая | Абсолютно устойчивая |
Рассмотрим влияние предложений к формированию финансовой стратегии предприятия на структуру баланса по вариантам: 1) Продажа части основных средств приводит к уменьшению внеоборотных активов (раздел 1) и увеличению оборотных активов (раздел 2) на 1395,4 тыс. руб.; сокращение затрат в незавершённом производстве и снижение затрат на производство продукции не изменяет величины оборотных активов (раздела 2), а приводит к перераспределению средств внутри раздела; направление прибыли на развитие производства приводит к увеличению капитала и резервов (раздела 4) и увеличению внеоборотных активов (раздела 1) на 123,6 тыс. руб.; получение краткосрочного бюджетного кредита не изменяет величины краткосрочных пассивов (раздела 6), а приводит к перераспределению средств внутри раздела (табл. 18).
2) Продажа части основных средств приводит к уменьшению внеоборотных активов (раздел 1) и увеличению оборотных активов (раздел 2) на 1395,4 тыс. руб.; сокращение затрат в незавершённом производстве и снижение затрат на производство продукции не изменяет величины оборотных активов (раздела 2), а приводит к перераспределению средств внутри раздела; направление прибыли на развитие производства приводит к увеличению капитала и резервов (раздела 4) и увеличению внеоборотных активов (раздела 1) на 123,6 тыс. руб.; получение долгосрочного бюджетного кредита приводит к увеличению долгосрочных пассивов (раздела 5) и уменьшению краткосрочных пассивов (раздел 6) на 448 тыс. руб. (табл. 19).
3) Продажа части основных средств приводит к уменьшению внеоборотных активов (раздел 1) и увеличению оборотных активов (раздел 2) на 697,7 тыс. руб.; сокращение затрат в незавершённом производстве и снижение затрат на производство продукции не изменяет величины оборотных активов (раздела 2), а приводит к перераспределению средств внутри раздела; выпуск привилегированных акций для своих работников приводит к увеличению капитала и резервов (раздел 4) и увеличению оборотных активов (раздела 2) на 221,2 тыс. руб.; получение финансирования за счёт зарубежных грандов на создание новых технологий производства и обработки резинотехнических изделий приводит к увеличению капитала и резервов (раздела 4) и увеличению внеоборотных активов (раздела 1) на 1500 тыс. руб.; направление прибыли на развитие производства приводит к увеличению капитала и резервов (раздела 4) и увеличению внеоборотных активов (раздела 1) на 123,6 тыс. руб. (табл. 20).
Таблица 18
Структура баланса (вариант №1)
АКТИВ | ПАССИВ | ||||
Внеоборотные активы | ВА | 12693,2 | Источники собственный средств | КР | 15712,6 |
Оборотные активы | ОА | 8315,4 | Краткосрочные пассивы | КЗ | 5296 |
![]()
![]()
Таблица 19
Структура баланса (вариант №2)
АКТИВ | ПАССИВ | ||||
Внеоборотные активы | ВА | 12693,2 | Источники собственный средств | КР | 15712,6 |
Оборотные активы | ОА | 8315,4 | Долгосрочные пассивы | ДП | 448 |
Краткосрочные пассивы | КЗ | 4848 |
![]()
![]()
Таблица 20
Структура баланса (вариант №3)
АКТИВ | ПАССИВ | ||||
Внеоборотные активы | ВА | 14890,9 | Источники собственный средств | КР | 17433,8 |
Оборотные активы | ОА | 7838,9 | Краткосрочные пассивы | КЗ | 5296 |
![]()
![]()
С точки зрения влияния предложений к формированию финансовой стратегии предприятия на структуру баланса, лучшим по результатам анализа является вариант №2, при котором имеется реальная возможность восстановления в ближайшее время (в течение двух кварталов, следующих за отчётной датой) платёжеспособности предприятия (КВП = 1,24), также этот вариант имеет наиболее высокие значения коэффициентов текущей ликвидности и обеспеченности собственными средствами (КТЛ = 1,72; КОС = 0,62).
ВЫВОД
Количественная оценка финансовой устойчивости предприятия при выполнении предложений к финансовой стратегии по всем вариантам указывает на возможность выведения предприятия из кризисного финансового состояния. При выполнении предложений к формированию финансовой стратегии по первому варианту предприятие обеспечивает запасы и затраты, используя все источники формирования запасов и затрат, т.е. переходит в неустойчивое финансовое состояние; по второму варианту запасы и затраты обеспечиваются собственными и долгосрочными заёмными источниками -предприятие переходит в нормально устойчивое финансовое состояние; по третьему варианту запасы и затраты обеспечиваются собственными источниками — предприятие переходит в абсолютно устойчивое финансовое состояние. Реализация того или иного варианта зависит от внешних условий, в частности сможет ли предприятие реализовать свои акции, получить краткосрочный или долгосрочный бюджетный кредит, получить зарубежный грант на создание новых технологий.
Для вывода предприятия из кризисного финансового состояния рациональнее всего воспользоваться вторым вариантом предложения к формированию финансовой стратегии, так как оно обеспечивает нормальную финансовую устойчивость и лучше остальных влияет на структуру баланса предприятия.
В условиях рыночных отношений, самостоятельности предприятия, ответственности за результаты своей деятельности возникает объективная необходимость определения тенденций финансового состояния, ориентации в финансовых возможностях и перспективах (получения банковского кредита, привлечение иностранных инвестиций), оценки финансового состояния других хозяйствующих субъектов. Решению этих вопросов служит финансовая стратегия предприятия.
Основной целью дипломной работы является разработка мер по выводу предприятия из кризисного финансового состояния. В качестве объекта исследования используется ООО СП “Единая Торговая Система”. Предметом исследования являются финансовые ресурсы предприятия (т.е. все источники денежных средств, аккумулируемые предприятием для формирования необходимых ему активов в целях осуществления всех видов деятельности, как за счет собственных доходов, накоплений и капитала, так и за счет различного вида поступлений) и основные методы, позволяющие их увеличить. В соответствии с поставленной целью в дипломной работе были рассмотрены следующие основные вопросы: 1) Определён имеющийся в литературе методический подход к разработке финансовой стратегии предприятия; 2) Для определения основных направлений разработки финансовой стратегии выполнен анализ финансового состояния предприятия (для выполнения финансового анализа в соответствии с поставленной целью была выбрана и обоснована методика его проведения); 3) На основе проведённого анализа разработаны меры по повышению финансовой устойчивости ООО СП “Единая Торговая Система”.
Стратегия экономической организации — это совокупность её главных целей и основных способов достижения данных целей. Другими словами, разрабатывать стратегию действия фирмы — значит определять общие направления её деятельности.
Стратегия должна исходить из реальных возможностей развития фирмы. Поэтому стратегия — это прежде всего реакция организации на объективные внешние и внутренние обстоятельства её деятельности.
Процесс формирования стратегии заключает в себе три этапа: — формирование общей стратегии организации; — формирование конкурентной (деловой) стратегии; — определение функциональных стратегий фирмы.
Общая стратегия организации формируется высшим руководством. Разработка общей стратегии решает две главные задачи:
- должны быть отобраны и развернуты основные элементы общей стратегии фирмы;
- необходимо установить конкретную роль каждого из подразделений фирмы при осуществлении стратегии и определить способы распределения ресурсов между ними.
Варианты общих стратегий можно свести к трем основным типам: стратегия стабильности, роста, сокращения. Организация может выбрать один из них или применять определённые сочетания различных типов (что обычно бывает характерно для крупных, диверсифицированных компаний).
Деловая (конкурентная) стратегия организации нацелена на достижение конкурентных преимуществ. Если фирма занята только одним видом бизнеса, деловая стратегия является частью общей стратегии фирмы. Если организация включает несколько деловых единиц (стратегических подразделений), каждая из них разрабатывает собственную целевую стратегию. Варианты деловых стратегий: преимущество в издержках; дифференциация, фокусирование.
Функциональные стратегии разрабатываются специально для каждого функционального пространства организации. Они включают следующие элементы: стратегия НИОКР, производственная стратегия, маркетинговая стратегия, финансовая стратегия, многие организации разрабатывают стратегию управления персоналом.
Финансовая стратегия — это генеральный план действий по обеспечению предприятия денежными средствами. Она охватывает вопросы теории и практики формирования финансов, их планирования и обеспечения, решает задачи, обеспечивающие финансовую устойчивость предприятия в рыночных условиях хозяйствования. Теория финансовой стратегии исследует объективные закономерности рыночных условий хозяйствования, разрабатывает способы и формы выживания в новых условиях подготовки и ведения стратегических финансовых операций.
Различают генеральную финансовую стратегию, оперативную финансовую стратегию и стратегию выполнения отдельных стратегических задач (достижение частных стратегических целей).
Генеральной финансовой стратегией называют финансовую стратегию, определяющую деятельность предприятия (взаимоотношения с бюджетами всех уровней, образование и использование дохода предприятия, потребности в финансовых ресурсах и источниках их формирования) на год.
Оперативная финансовая стратегия — это стратегия текущего маневрирования финансовыми ресурсами (стратегия контроля за расходованием средств и мобилизацией внутренних резервов, что особенно актуально в современных условиях экономической нестабильности), разрабатывается на квартал, месяц. Оперативная финансовая стратегия охватывает валовые доходы и поступления средств (расчеты с покупателями за проданную продукцию, поступления по кредитным операциям, доходы по ценным бумагам) и валовые расходы (платежи поставщикам, заработная плата, погашение обязательств перед бюджетами всех уровней и банками), что создает возможность предусмотреть все предстоящие в планируемый период обороты по денежным поступлениям и расходам. Нормальным положением считается равенство расходов и доходов или небольшое превышение доходов над расходами. Оперативная финансовая стратегия разрабатывается в рамках генеральной финансовой стратегии, детализирует её на конкретном промежутке времени.
Стратегия достижения частных целей заключается в умелом исполнении финансовых операций, направленных на обеспечение реализации главной стратегический цели.
Схема разработки финансовой стратегии предприятия представлена на рис. 1.
Предложения к формированию финансовой стратегии предприятия разрабатываются по объектам и составляющим генеральной финансовой стратегии в нескольких вариантах (не менее трех) с обязательной количественной оценкой предложений и оценкой их влияния на структуру баланса предприятия.
Разработке финансовой стратегии предприятия предшествует анализ финансового состояния предприятия. Предметом финансового анализа являются финансовые ресурсы и их потоки.
Основная цель финансового анализа — оценка финансового состояния и выявление возможностей повышения эффективности функционирования предприятия.
Основная задача — эффективное управление финансовыми ресурсами предприятия.
Информационная база — бухгалтерская отчетность предприятия, как правило, годовая; баланс предприятия — форма 1, отчет о финансовых результатах — форма 2.
Для анализа применяется большое количество схем. Практически каждый аналитик отдаёт предпочтение какой-либо одной из них.
Составляющие финансового анализа предприятия: общий анализ финансового состояния, анализ финансовой устойчивости, анализ ликвидности баланса, анализ финансовых коэффициентов, анализ финансовых результатов, рентабельности и деловой активности.
Анализ финансового состояния предприятия показал, что предприятие по итогам отчётного периода получило чистую прибыль в размере 123,6 тыс. руб., объём реализации продукции составил 5812,9 тыс. руб. При этом основная деятельность предприятия убыточна и прибыль получена за счёт внереализационных операций. Что касается других показателей, характеризующих финансовое состояние данного предприятия, то имущество предприятия за отчётный период уменьшилось на 73 тыс. руб.; предприятие имеет убытки в размере 1239 тыс. руб. (5,6% в валюте баланса); испытывает недостаток общей величины источников формирования запасов и затрат 2622 тыс. руб.; общий коэффициент ликвидности равен 0,51, то есть предприятие может погасить только 51% своих обязательств; рентабельность капитала 0,02 руб., то есть на 1 вложенный рубль предприятие получает 2 копейки прибыли в год; предприятие имеет неудовлетворительную структуру баланса (КТЛ<2).
Перед предприятием стоит проблема выживания. Для предприятия характерна “реактивная” форма управления финансами. Она базируется на принятии управленческих решений как реакция на текущие проблемы, т.е. “латание дыр”, которые сводятся, как правило, к обеспечению любой ценой наиболее срочных текущих платежей и приводит к существенным нарушениям интересов собственников и менеджеров, интересов коллективов предприятий и фискальных интересов государства, что во многом обуславливается отсутствием финансовой стратегии.
Разработана финансовая стратегия предприятия, используя результаты финансового анализа рассматриваемого предприятия, изложенные в главе 2. В ходе финансового анализа было выявлено, что рассматриваемое предприятие практически находится на грани банкротства. Для выхода из сложившейся ситуации необходимо улучшить финансовое состояние предприятия по всем проанализированным показателям.
Разберём возможность улучшения финансовой устойчивости данного предприятия. По результатам анализа финансовой устойчивости установлено, что предприятие на начало и конец рассматриваемого периода находится в кризисном финансовом состоянии (табл. 7).
Цель предложения к формированию финансовой стратегии — вывести предприятие из кризисного финансового состояния. Предложения к разработке финансовой стратегии по выводу предприятия из кризисного финансового состояния содержатся в табл. 16. Они сформированы по объектам финансовой стратегии с вариантами оптимизации составляющих финансовой стратегии.
По трём предложенным вариантам оптимизации составляющих финансовой стратегии, изложенным в табл. 16, рассчитываем показатели финансовой устойчивости предприятия. Результаты расчёта оптимизации показателей финансовой устойчивости приводятся в табл. 17.
Количественная оценка финансовой устойчивости предприятия при выполнении предложений к финансовой стратегии по всем вариантам указывает на возможность выведения предприятия из кризисного финансового состояния. При выполнении предложений к формированию финансовой стратегии по первому варианту предприятие обеспечивает запасы и затраты, используя все источники формирования запасов и затрат, т.е. переходит в неустойчивое финансовое состояние; по второму варианту запасы и затраты обеспечиваются собственными и долгосрочными заёмными источниками — предприятие переходит в нормально устойчивое финансовое состояние; по третьему варианту запасы и затраты обеспечиваются собственными источниками — предприятие переходит в абсолютно устойчивое финансовое состояние. Реализация того или иного варианта зависит от внешних условий, в частности сможет ли предприятие реализовать свои акции, получить краткосрочный или долгосрочный бюджетный кредит, получить зарубежный гранд на создание новых технологий.
Для вывода предприятия из кризисного финансового состояния рациональнее всего воспользоваться вторым вариантом предложения к формированию финансовой стратегии, так как оно обеспечивает нормальную финансовую устойчивость и лучше остальных влияет на структуру баланса предприятия.
Бухгалтерский баланс на 1 января 2000 г.
тыс. руб.
АКТИВ | Код стр. | На начало года | На конец года |
1 | 2 | 3 | 4 |
I. Внеоборотные активы | |||
Нематериальные активы (04,05) в то числе: | 110 | 11 | |
организационные расходы | 111 | ||
патенты, лицензии, товарные знаки (знаки обслуживания), иные аналогичные с перечисленными права и активы | 112 | 11 | |
Основные средства (01,02,03) в том числе: | 120 | 13001 | 13954 |
земельные участки и объекты природопользования | 121 | ||
здания, сооружения, машины и оборудование | 122 | 13001 | 13954 |
Незавершенное строительство (07,08,61) | 130 | 594 | |
Доходные вложения в материальные ценности (03) | 135 | ||
Долгосрочные финансовые вложения (06,82) в том числе: | 140 | ||
инвестиции в дочерние общества | 141 | ||
инвестиции в зависимые общества | 142 | ||
инвестиции в другие организации | 143 | ||
займы, предоставленные организациям на срок более 12 месяцев | 144 | ||
прочие долгосрочные финансовые вложения | 145 | ||
Прочие внеоборотные активы | 150 | ||
ИТОГО по разделу I | 190 | 13595 | 13965 |
II. Оборотные активы | |||
Запасы в том числе: | 210 | 5398 | 4246 |
сырье, материалы и другие аналогичные ценности (10,15,16) | 211 | 92 | 336 |
животные на выращивании и откорме (11) | 212 | ||
малоценные и быстроизнашивающиеся предметы (12,13,16) | 213 | 1 | 18 |
затраты в незавершенном производстве (издержках обращения) (20,21,23,29,30,36,44) | 214 | 5305 | 3892 |
готовая продукция и товары для перепродажи (40,41) | 215 | 125 | 542 |
товары отгруженные (45) | 216 | ||
расходы будущих периодов (31) | 217 | ||
прочие запасы и затраты | 218 | ||
Налог на добавленную стоимость по приобретенным ценностям (19) | 220 | ||
Дебиторская задолженность (платежи по которой ожидаются более чем через 12 месяцев после отчетной даты) в том числе: | 230 | ||
покупатели и заказчики (62,76,82) | 231 | ||
векселя к получению (62) | 232 | ||
1 | 2 | 3 | 4 |
задолженность дочерних и зависимых обществ (78) | 233 | ||
авансы выданные (61) | 234 | ||
прочие дебиторы | 235 | ||
Дебиторская задолженность (платежи по которой ожидаются в течение 12 месяцев после отчетной даты) в том числе: | 240 | 1647 | 2526 |
покупатели и заказчики (62,76,82) | 241 | 679 | 2241 |
векселя к получению (62) | 242 | ||
задолженность дочерних и зависимых обществ (78) | 243 | ||
задолженность участников (учредителей) по взносам в уставный капитал (75) | 244 | ||
авансы выданные (61) | 245 | 113 | |
прочие дебиторы | 246 | 968 | 172 |
Краткосрочные финансовые вложения (56,58,52) в том числе: | 250 | ||
инвестиции в зависимые общества | 251 | ||
собственные акции выкупленные у акционеров | 252 | ||
прочие краткосрочные финансовые вложения | 253 | ||
Денежные средства в том числе: | 260 | 318 | 148 |
касса (50) | 261 | ||
расчетные счета (51) | 262 | 176 | 148 |
валютные счета (52) | 263 | 56 | |
прочие денежные средства (55,56,57) | 264 | 245 | |
Прочие оборотные активы | 270 | ||
ИТОГО по разделу II | 290 | 7363 | 6920 |
III. Убытки | |||
Непокрытые убытки прошлых лет (88) | 310 | 1239 | 1239 |
Непокрытый убыток отчетного года | 320 | ||
ИТОГО по разделу III | 390 | 1239 | 1239 |
БАЛАНС (сумма строк 190 + 290 + 390) | 399 | 22197 | 22124 |
ПАССИВ | Код стр. | На начало года | На конец года |
1 | 2 | 3 | 4 |
IV. Капитал и резервы | |||
Уставный капитал (85) | 410 | 657 | 657 |
Добавочный капитал (87) | 420 | 16047 | 16047 |
Резервный капитал (86) в том числе: | 430 | ||
резервные фонды, образованные в соответствии с законодательством | 431 | ||
резервы, образованные в соответствии с учредительными документами | 432 | ||
Фонды накопления (88) | 440 | ||
Фонд социальной сферы (88) | 450 | ||
Целевые финансирование и поступления (96) | 460 | ||
Нераспределенная прибыль прошлых лет (88) | 470 | ||
Нераспределенная прибыль отчетного года | 480 | 124 | |
ИТОГО по разделу IV | 490 | 16704 | 16828 |
1 | 2 | 3 | 4 |
V. Долгосрочные пассивы | |||
Заемные средства (92,95) в том числе: | 510 | ||
кредиты банков, подлежащие погашению более чем через 12 месяцев после отчетной даты | 511 | ||
прочие займы, подлежащие погашению более чем через 12 месяцев после отчетной даты | 512 | ||
Прочие долгосрочные пассивы | 520 | ||
ИТОГО по разделу V | 590 | ||
VI. Краткосрочные пассивы | |||
Заемные средства (90,94) в том числе: | 610 | ||
кредиты банков | 611 | ||
прочие займы | 612 | ||
Кредиторская задолженность в том числе: | 620 | 5493 | 5296 |
поставщики и подрядчики (60,76) | 621 | 1115 | 306 |
векселя к уплате (60) | 622 | ||
задолженность перед дочерними и зависимыми обществами (78) | 623 | ||
по оплате труда (70) | 624 | 1099 | 67 |
по социальному страхованию и обеспечению (69) | 625 | 450 | 182 |
задолженность перед бюджетом (68) | 626 | 440 | 266 |
авансы полученные (64) | 627 | 2217 | 3956 |
прочие кредиторы | 628 | 172 | 519 |
Расчеты по дивидендам (75) | 630 | ||
Доходы будущих периодов (83) | 640 | ||
Фонды потребления (88) | 650 | ||
Резервы предстоящих расходов и платежей (89) | 660 | ||
Прочие краткосрочные пассивы | 670 | ||
ИТОГО по разделу VI | 690 | 5493 | 5296 |
БАЛАНС (сумма строк 490 + 590 + 690) | 699 | 22197 | 22124 |
Отчет о прибылях и убытках с 1 января по 31 декабря 1999 г.
тыс. руб.
Наименование показателя | Код стр. | За отчетный период | За аналогичный период прошлого года |
Выручка (нетто) от реализации товаров, продукции, работ, услуг (за минусом налога на добавленную стоимость, акцизов и аналогичных обязательных платежей) | 010 | 5812,9 | 2081 |
Себестоимость реализации товаров, продукции, работ, услуг | 020 | 5435,9 | 3598 |
Коммерческие расходы | 030 | ||
Управленческие расходы | 040 | 636,9 | 339 |
Прибыль (убыток) от реализации (строки 010 — 020 — 030 — 040) | 050 | -259,9 | -1856 |
Проценты к получению | 060 | ||
Проценты к уплате | 070 | ||
Доходы от участия в других организациях | 080 | ||
Прочие операционные доходы | 090 | 207 | |
Прочие операционные расходы | 100 | 371 | |
Прибыль (убыток) от финансово-хозяйственной деятельности (строки 050 + 060 + 070 + 080 + 090 — 100) | 110 | -259,9 | -2020 |
Прочие внереализационные доходы | 120 | 1098,4 | 1173 |
Прочее внереализационные расходы | 130 | 416,9 | 16 |
Прибыль (убыток) отчетного периода (строки 110 + 120 — 130) | 140 | 421,6 | -864 |
Налог на прибыль | 150 | 143,2 | |
Отвлеченные средства | 160 | 154,8 | |
Нераспределенная прибыль (убыток) отчетного периода (строки 140 — 150 — 160) | 170 | 123,6 | -864 |
- Алексеева М. М. Планирование деятельности фирмы. -М.: Финансы и статистика, 2000.
- Балабанов И. Т. Анализ и планирование финансов хозяйствующего субъекта. -М.: Финансы и статистика, 1998.
- Балабанов И. Т. Основы финансового менеджмента. -М.: Финансы и статистика, 1999.
- Банковское дело: Учебник для ВУЗов/ Под ред. Лаврушина О. И. – М.: Финансы и статистика, 1999.
- Быкадоров В. Л., Алексеев П. Д. Финансово-экономическое состояние предприятия. – М.: ПРИОР-СТРИКС, 2000.
- Ковалев В. В. Финансовый анализ: Управление капиталом. Выбор инвестиций. Анализ отчетности. -М.: Финансы и статистика, 2000.
- Литвин М. И. Применение матричных балансов для оценки финансового состояния предприятия // Финансы, 1995, №6.
- Павлова Л. Н. Финансы предприятий: Учебник. – М.: Финансы, “ЮНИТИ”, 1998.
- Стоянова Е. С. Финансовый менеджмент: теория и практика. -М.: Перспектива, 1996.
- Уткин Э. А., Кочеткова А. И. Бизнес-план. Как развернуть собственное дело. М.: Экмос, 1999.
- Уткин Э. А. Финансовый менеджмент: Учебник для ВУЗов. – М.: Зеркало, 1998.
- Финансы: Учебник для ВУЗов/ Под ред. Дробозиной Л. А. –М.: Финансы, 1999.
- Финансы: Учебное пособие/ Под ред. Ковалевой А. М. – М.: Финансы и статистика, 1998.
- Финансы: Учебник для ВУЗов/ Под ред. Романовского М. В., Врублевской О. В., Сабанти Б. М. – М.: Юрайт, 2000.
- Экономическая стратегия фирмы: Учебное пособие/ Под ред. Градова А. П. – Спб.: Специальная литература, 1999.