Реферат: Оценка эффективности инвестиционного проекта 7
ФЕДЕРАЛЬНОЕ АГЕНТСТВО ПО ОБРАЗОВАНИЮ РФ
ГОУ ВПО «РОССИЙСКИЙ ЭКОНОМИЧЕСКИЙ УНИВЕРСИТЕТ
им. Г.В.ПЛЕХАНОВА»
Кафедра Финансов и цен
Курсовая работа по дисциплине
«Финансовая политика компании»
на тему:
« Оценка эффективности инвестиционных проектов »
Научный руководитель: Выполнила студентка:
Финансового Факультета
Москва 2010
Содержание:
Введение…………………………………………………………………………...3
Глава 1. Теоретические основы эффективности инвестиционных проектов…4
1.1. Понятие инвестиционного проекта. Проектный цикл……….…………..4
1.2. Классификация инвестиционных проектов……………………………..11
1.3. Система показателей оценки эффективности инвестиционных проектов……………………………………………………………………16
Глава 2. Анализ и оценка инвестиционного проекта ОАО «Альавто»………26
2.1. Краткая характеристика инвестиционного проекта ОАО «Альавто»…...26
2.2. Оценка эффективности проекта ОАО «Альавто» и его анализ………….28
Заключение……………………………………………………………………….34
Список литературы………………………………………………………………35
Приложения……………………………………………………………………...37
Введение:
Проблема привлечения инвестиций и осуществления инвестиционных проектов является необычайно актуальной для большинства российских предприятий. Актуальность объясняется необходимостью обновления основных фондов, вводом новых мощностей и освоением новых видов производств и деятельности.
Осуществление инвестиционных проектов является одним из главных направлений развития предприятия. Благодаря инвестициям расширяются объемы производства, осваиваются новые виды деятельности, поддерживается конкурентоспособность предприятия и требуемый уровень технологического развития.
Целью данной курсовой работы является рассмотрение особенностей инвестирования в реальные активы и капиталовложения, а также проведение анализа конкретного инвестиционного проекта, способа его финансирования, определение его эффективности. Это необходимо, для того чтобы определить целесообразность осуществления данного проекта и для принятия управленческого решения о включении данного проекта в инвестиционный план.
В данной работе я главным образом остановлюсь на понятии инвестиционного проекта, его классификациях, методах оценки его эффективности и системе показателей применяемых для данных целей.
Во второй главе будет рассмотрен реальный инвестиционный проект и посчитаны основные показатели оценки эффективности указанного инвестиционного проекта.
Для этого в работе проведен расчет ряда показателей, которые позволяют сделать вывод об экономической целесообразности осуществления данного инвестиционного проекта.
Итак, перейдём к первой главе данной работы и начнём с теоретических основ эффективности инвестиционных проектов.
Глава 1. Теоретические основы эффективности инвестиционных проектов.
1.1. Понятие инвестиционного проекта. Проектный цикл.
В международной и уже в российской практике план развития предприятия представляется в виде специальным образом оформленного бизнес-плана, который, по существу, представляет собой структурированное описание проекта развития предприятия. Если проект связан с привлечением инвестиций, то он носит название «инвестиционного проекта». Большая часть реальных инвестиций осуществляется в форме инвестиционных проектов. В настоящее время существует несколько определений инвестиционных проектов.
Обычно любой новый проект предприятия в той или иной мере связан с привлечением новых инвестиций. В широком понимании проект — это специальным образом оформленное предложение об изменении деятельности предприятия, преследующее определенную цель[1] .
В наиболее общем смысле под инвестиционным проектом понимают любое вложение капитала на срок с целью извлечения дохода. В специальной экономической литературе по инвестиционному проектированию и проектному анализу инвестиционный проект рассматривается как комплекс взаимосвязанных мероприятий, направленных на достижение определенных целей в течение ограниченного периода времени.
С законодательной точки зрения отдельно вводятся понятия “проект” и “инвестиционный проект”. Так, термин “проект”, понимается в двух смыслах:
•как комплект документов, содержащих формулирование цели предстоящей деятельности и определение комплекса действий, направленных на ее достижение;
•как сам комплекс действий (работ, услуг, приобретений, управленческих операций и решений), направленных на достижение сформулированной цели[2] .
То есть как документация и как деятельность. В данной работе термин “проект” будет применяться во втором смысле.
«Инвестиционный проект» (ИП) определяется как обоснование экономической целесообразности, объема и сроков осуществления капитальных вложений, в том числе необходимая проектно-сметная документация, разработанная в соответствии с законодательством Российской Федерации и утвержденными в установленном порядке стандартами (нормами и правилами), а также описание практических действий по осуществлению инвестиций (бизнес план) [3].
Иными словами, согласно данному определению, инвестиционный проект (investment project) — это, прежде всего, комплексный план мероприятий, включающий проектирование, строительство, приобретение технологий и оборудования, подготовку кадров и т.п., направленных на создание нового или модернизацию действующего производства товаров (работ, услуг) с целью получения экономической выгоды.
Инвестиционный проект всегда порождается некоторым проектом, обоснование целесообразности и характеристики которого он содержит. В связи с этим, под теми или иными свойствами, характеристиками, параметрами ИП (продолжительность, реализация, денежные потоки и т.п.) понимаются соответствующие свойства, характеристики, параметры порождающего его проекта. Такая деятельность в области инвестиционного проектирования должна быть специальным образом организована.
Общая процедура упорядочения инвестиционной деятельности предприятия по отношению к конкретному проекту формализуется в виде так называемого проектного цикла .
Промежуток времени между моментом появления проекта и моментом его ликвидации называется жизненным циклом проекта (проектным циклом).
Проектный цикл – это временные стадии разработки и реализации инвестиционного проекта. Этот цикл характеризует период времени, в течение которого реализуются цели, поставленные в проекте. Жизненный цикл проекта является исходным понятием для исследования проблем финансирования работ по проекту и принятия соответствующих решений[4] .
Данный цикл состоит из нескольких этапов «жизни» инвестиционного проекта:
1. Формулировка проекта (иногда используется термин «идентификация»). На данном этапе высший состав руководства предприятия анализирует текущее состояние предприятия и определяет наиболее приоритетные направления его дальнейшего развития. Результат данного анализа оформляется в виде некоторой бизнес идеи, которая направлена на решение наиболее важных для предприятия задач. Уже на этом этапе необходимо иметь более или менее убедительную аргументацию в отношении выполнимости этой идеи. На данном этапе может появиться несколько идей дальнейшего развития предприятия. Если все они представляются в одинаковой степени полезными и осуществимыми, то далее производится параллельная разработка нескольких инвестиционных проектов с тем, чтобы решение о наиболее приемлемых из них сделать на завершающей стадии разработки.
2. Разработка (подготовка) проекта. После того, как бизнес идея проекта прошла свою первую проверку, необходимо развивать ее до того момента, когда можно будет принять твердое решение. Это решение может быть как положительным, так и отрицательным. На этом этапе требуется постепенное уточнение и совершенствование плана проекта во всех его измерениях — коммерческом, техническом, финансовом, экономическом, институциональном и т.д. Вопросом чрезвычайной важности на этапе разработки проекта является поиск и сбор исходной информации для решения отдельных задач проекта. Необходимо сознавать, что от степени достоверности исходной информации и умения правильно интерпретировать данные, появляющиеся в процессе проектного анализа, зависит успех реализации проекта.
3. Экспертиза проекта. Перед началом осуществления проекта его квалифицированная экспертиза является весьма желательным этапом жизненного цикла проекта. Если финансирование проекта проводится с помощью существенной доли стратегического инвестора (кредитного или прямого), инвестор сам проведет эту экспертизу, например с помощью какой-либо авторитетной консалтинговой фирмы, предпочитая потратить некоторую сумму на этом этапе, нежели потерять большую часть своих денег в процессе выполнения проекта. Если предприятие планирует осуществление инвестиционного проекта преимущественно за счет собственных средств, то экспертиза проекта также весьма желательна для проверки правильности основных положений проекта.
4. Осуществление проекта. Стадия осуществления охватывает реальное развитие бизнес идеи до того момента, когда проект полностью входит в эксплуатацию. Сюда входит отслеживание и анализ всех видов деятельности по мере их выполнения и контроль со стороны надзирающих органов внутри страны и/или иностранного или отечественного инвестора. Данная стадия включает также основную часть реализации проекта, задача которой, в конечном итоге, состоит в проверке достаточности денежных потоков, генерируемых проектом для покрытия исходной инвестиции и обеспечения желаемой инвесторами отдачи на вложенные деньги.
5. Оценка результатов. Оценка результатов производится как по завершению проекта в целом, так и в процессе его выполнения. Основная цель этого вида деятельности заключается в получении реальной обратной связи между заложенными в проект идеями и степенью их фактического выполнения. Результаты подобного сравнения создают бесценный опыт разработчиков проекта, позволяя использовать его при разработке и осуществлении других проектов.
Временный фактор играет ключевую роль в оценке инвестиционных проектов[5]. В условиях рынка период от разработки до реализации проекта принято рассматривать как цикл инвестиционного проекта. В другой интерпретации этот цикл охватывает три фазы: прединвестиционную, инвестиционную, эксплуатационную или производственную. Суммарная продолжительность этих фаз составляет срок жизни проекта («project lifetime» – Рис. 1)[6] .

Рис. 1. График развития инвестиционного проекта
Обозначения:
1 — прединвестиционная фаза;
2 — инвестиционная фаза;
3 – эксплуатационная (производственная) фаза.
Представленный график носит достаточно условный характер, однако на нем можно выделить три основные фазы развития проекта.
— Прединвестиционная фаза (1) – (pre-investment studies) непосредственно предшествует основному объему инвестиций, во многих случаях не может быть определена достаточно точно. На этом этапе проект разрабатывается, готовится его технико-экономическое обоснование, проводятся маркетинговые исследования, осуществляется выбор поставщиков сырья и оборудования, ведутся переговоры с потенциальными инвесторами и участниками проекта. Также здесь может осуществляться юридическое оформление проекта (регистрация предприятия, оформление контрактов и т.д.) и проводится эмиссия акций и других ценных бумаг. Как правило, в конце этой фазы должен быть получен развернутый бизнес-план инвестиционного проекта. Все перечисленные действия требуют не только времени, но и затрат. В случае положительного результата и перехода непосредственно к осуществлению проекта понесенные затраты капитализируются и входят в состав предпроизводственных затрат с последующим отнесением на себестоимость продукции через механизм амортизационных отчислений.
— Следующий отрезок времени отводится под стадию инвестирования (2), или фазу осуществления (investment/implementation phase). Принципиальное отличие этой фазы от предыдущей и последующих фаз состоит, с одной стороны, в том, что начинают предприниматься действия, требующие гораздо больших затрат и носящие уже необратимый характер (закупка оборудования, сырья), а с другой — проект еще не в состоянии обеспечить свое развитие за счет собственных средств. На данной стадии формируются постоянные активы предприятия. Некоторые виды сопутствующих затрат (например, расходы на обучение персонала, проведение рекламных мероприятий и др.) частично могут быть отнесены на себестоимость продукции, как расходы будущих периодов, а частично капитализированы, как предпроизводственные затраты.
— С момента ввода в действие основного оборудования или приобретения недвижимости, или иного актива начинается третья стадия развития инвестиционного проекта (operational) – эксплуатационная (производственная) (3). Этот период характеризуется началом производства продукции или оказания услуг и соответствующими текущими издержками. Значительное влияние на общую характеристику проекта будет оказывать продолжительность эксплуатационной фазы. Очевидно, чем дальше будет отнесена во времени ее граница, тем большей будет совокупная величина дохода.
Таким образом, проблема принятия решения об инвестициях состоит в оценке плана предполагаемого развития событий с точки зрения того, насколько содержание плана и вероятные последствия его осуществления соответствуют ожидаемому результату[7]. В самом общем смысле, инвестиционным проектом называется план или программа вложения капитала с целью последующего получения прибыли.
Формы и содержание инвестиционных проектов могут быть самыми разнообразными — от плана строительства нового предприятия до оценки целесообразности приобретения недвижимого имущества. Во всех случаях, однако, присутствует временной лаг (задержка) между моментом начала инвестирования и моментом, когда проект начинает приносить прибыль.
1.2 Классификация инвестиционных проектов.
В составе инвестиционных проектов наибольшее значение имеют проекты, осуществляемые посредством капитальных вложений. Данные инвестиционные проекты могут быть классифицированы по различным основаниям (рис. 2)[8].В странах Западной Европы и США под мелкими проектами понимаются проекты, имеющие стоимость менее 300 тыс. долл., под средними (традиционными проектами) — проекты, имеющие стоимость от 300 тыс. долл. до 2 млн. долл. Крупные проекты — это проекты, носящие стратегический характер и имеющие стоимость более 2 млн. долл. Мегапроекты представляют собой государственные или международные целевые программы, которые объединяют ряд инвестиционных проектов единого целевого назначения. Стоимость мега-проектов — 1 млрд. долл. и выше. В российской практике (при выделении на конкурсной основе централизованных инвестиционных ресурсов) крупными проектами считаются проекты стоимостью свыше 50 млн. долл.

Рис. 2. Классификация инвестиционных проектов
Цели, которые ставятся инициаторами инвестиционных проектов, могут быть самыми различными. В ряде случаев проекты ориентированы не на прямое извлечение прибыли, а на снижение рисков производства и сбыта, экспансию в новые сферы бизнеса. Государственные инвестиционные проекты могут преследовать социальные или экологические цели. Инвестиционные проекты, в зависимости от целей, подразделяются на:
1. Замена устаревшего оборудования, как естественный процесс продолжения существующего бизнеса в неизменных масштабах. Обычно подобного рода проекты не требуют очень длительных и многосложных процедур обоснования и принятия решений. Многоальтернативность может появляться в случае, когда существует несколько типов подобного оборудования, и необходимо обосновать преимущества одного из них.
2. Замена оборудования с целью снижения текущих производственных затрат. Целью подобных проектов является использование более совершенного оборудования взамен работающего, но сравнительно менее эффективного оборудования, которое в последнее время подверглось моральному старению. Этот тип проектов предполагает очень детальный анализ выгодности каждого отдельного проекта, т.к. более совершенное в техническом смысле оборудование еще не однозначно более выгодно с финансовой точки зрения.
3. Увеличение выпуска продукции и/или расширение рынка услуг. Данный тип проектов требует очень ответственного решения, которое обычно принимается верхним уровнем управления предприятия. Наиболее детально необходимо анализировать коммерческую выполнимость проекта с аккуратным обоснованием расширения рыночной ниши, а также финансовую эффективность проекта, выясняя, приведет ли увеличение объема реализации к соответствующему росту прибыли.
4. Расширение предприятия с целью выпуска новых продуктов. Этот тип проектов является результатом новых стратегических решений и может затрагивать изменение сущности бизнеса. Все стадии анализа в одинаковой степени важны для проектов данного типа. Особенно следует подчеркнуть, что ошибка, сделанная в ходе проектов данного типа, приводит к наиболее драматическим последствиям для предприятия.
5. Проекты, имеющие экологическую нагрузку. В ходе инвестиционного проектирования экологический анализ является необходимым элементом. Проекты, имеющие экологическую нагрузку, по своей природе всегда связаны с загрязнением окружающей среды, и потому эта часть анализа является критичной. Основная дилемма, которую необходимо решить и обосновать с помощью финансовых критериев — какому из вариантов проекта следовать: (1) использовать более совершенное и дорогостоящее оборудование, увеличивая капитальные издержки, или (2) приобрести менее дорогое оборудование и увеличить текущие издержки.
6. Другие типы проектов, значимость которых в смысле ответственности за принятие решений менее важна. Проекты подобного типа касаются строительства нового офиса, покупки нового автомобиля и т. д[9] .
Важное значение при анализе инвестиционных проектов имеет определение степени взаимозависимости инвестиционных проектов. Независимые проекты могут оцениваться автономно, принятие или отклонение одного из таких проектов никак не влияет на решение в отношении другого. Независимые проекты, когда решение о принятии одного проекта не влияет на решение о принятии другого. Для того чтобы инвестиционный проект А был независим от проекта В должны выполняться два условия:
— должны быть возможности (технические, технологические) осуществить проект А вне зависимости от того, будет или не будет принят проект В;
— на денежные потоки, ожидаемые от проекта А, не должно влиять принятие или отказ от проекта В.
Иногда фирма из-за отсутствия средств не может одновременно осуществить два проекта. В такой ситуации принятие одного проекта повлечет за собой отклонение второго. Однако называть проекты зависимыми только на том основании, что у инвестора не хватает средств для их совместной реализации, было бы неправильным.
Альтернативные проекты являются конкурирующими; их оценка может происходить одновременно, но осуществляться может лишь один из них из-за ограниченности инвестиционных ресурсов или иных причин. Взаимосвязанные проекты оцениваются одновременно, при этом принятие одного проекта невозможно без принятия другого. Эти проекты можно подразделить на :
•комплиментарные, когда принятие одного инвестиционного проекта приводит к росту доходов по другим проектам;
•проекты, связанные между собой отношениями замещения, когда принятие нового проекта приводит к некоторому снижению доходов по одному или нескольким действующим проектам. Выявление отношений комплиментарности и замещения подразумевает определение приоритетности инвестиционных проектов не изолировано, а в комплексе, особенно когда принятие проекта по выбранному основному критерию не является очевидным.
Инвестиционные проекты могут различаться по степени риска: более рискованными являются проекты, направленные на освоение новых видов продукции или технологий, менее рискованными — проекты, предусматривающие государственную поддержку.
Инвестиционные проекты могут быть кратко- и долгосрочными. К краткосрочным относятся проекты со сроком реализации до двух лет, к долгосрочным — со сроком реализации свыше двух лет.
В коммерческой практике принято выделять:
а) инвестиции в финансовые активы (реальные, или капиталообразующие, или производственные инвестиции) — инвестиции в производственные здания и сооружения, любые виды машин и оборудования сроком службы более одного года;
б) инвестиции в денежные активы (портфельные инвестиции) — права на получение денежных сумм от других юридических или физических лиц;
в) инвестиции в нематериальные активы — расходы, не связанные с материальным воплощением, но имеющие экономическую ценность. Могут быть материализованы в случае ликвидации предприятия, а также при слиянии и поглощении[10] .
По основной направленности можно разделить проекты на:
— коммерческие, главной целью которых является получение прибыли;
— социальные, ориентированные на решение, например, проблем безработицы в регионе или социальной адаптации бывших военнослужащих;
— экологические, основная направленность которых улучшение среды обитания людей, а также флоры и фауны;
— инновационные, целями внедрения которых являются: повышение конкурентоспособности и имиджа компании; получение в перспективе дохода от капитала, вложенного сегодня.
Несмотря на существенные различия между типами инвестиционных проектов и многообразие условий их реализации, оценки эффективности проектов и их экспертиза должны производиться в определенном смысле единообразно, на основе единых обоснованных принципов.
Выбор инвестиционного проекта осуществляется на основе оценки его эффективности. Для проведения финансовой оценки инвестиционных проектов могут использоваться различные экономические показатели.
1.3 Система показателей оценки эффективности инвестиционных проектов.
Работа по определению экономической эффективности инвестиционного проекта является одним из наиболее ответственных этапов прединвестиционных исследований. Он включает детальный анализ и интегральную оценку всей технико-экономической и финансовой информации, собранной и подготовленной для анализа в результате работ на предыдущих этапах прединвестиционных исследований.
Инвестиционные проекты можно оценивать по многим критериям — с точки зрения их социальной значимости, масштабам воздействия на окружающую среду, степени вовлечения трудовых ресурсов и т.п. Однако центральное место в этих оценках принадлежит эффективности инвестиционного проекта, под которой в общем случае понимают соответствие полученных от проекта результатов — как экономических (в частности прибыли), так и внеэкономических (снятие социальной напряженности в регионе) — и затрат на проект. Эффективность инвестиционного проекта — это категория, отражающая соответствие проекта, порождающего его, целям и интересам участников проекта, под которыми понимаются субъекты инвестиционной деятельности и общество в целом[11]. Поэтому термин “эффективность инвестиционного проекта” понимается как “эффективность проекта”. То же относится и к показателям эффективности.
Методы оценки эффективности инвестиционных проектов основаны преимущественно на сравнении эффективности (прибыльности) инвестиций в различные проекты[12]. При этом в качестве альтернативы вложения средств в рассматриваемое производство выступают финансовые вложения в другие производственные объекты, помещение финансовых средств в банк под проценты или их обращение в ценные бумаги. С позиции финансового анализа реализация инвестиционного проекта может быть представлена как два взаимосвязанных процесса: процесс инвестиций в создание производственного объекта (или накопление капитала) и процесс получения доходов от вложенных средств. Эти два процесса протекают последовательно (с разрывом между ними или без него) или на некотором временном отрезке параллельно. В последнем случае предполагается, что отдача от инвестиций начинается еще до момента завершения вложений. Оба процесса имеют разные распределения интенсивности во времени, что в значительной степени определяет эффективность вложения инвестиций.
Различают две группы методов оценки инвестиционных проектов:
1. Простые или статистические методы;
2. Методы дисконтирования[13] .
Простые или статистические методы базируются на допущении равной значимости доходов и расходов в инвестиционной деятельности, не учитывают временную стоимость денег.
К статистическим методам относят:
а) расчет срока окупаемости (PP);
б) расчет простой нормы прибыли (ARR).
Срок окупаемости (Payback Period – PP) – это ожидаемый период возмещения первоначальных вложений из чистых поступлений, где чистые поступления представляют собой денежные поступления за вычетом расходов. Таким образом, определяется время, за которое поступления от оперативной деятельности покроют затраты на инвестиции. Этот метод ориентирован на краткосрочную оценку и рассматривает, как скоро инвестиционный проект окупит себя. Согласно анализу PP, чем быстрее проект может окупить первоначальные затраты, тем лучше. PP акцентирует внимание на поступлениях от осуществления проекта и на скорость, с которой они возникают, а не на уровень и (или) общую прибыль.
PP = Инвестиционные затраты / Чистые поступления
Основными достоинствами метода PP являются простота расчётов и учёт ликвидности проекта. В силу этого, отсекая наиболее сомнительные и рискованные проекты, в которых основные денежные потоки приходятся на конец периода, метод PP используется как простой метод оценки риска инвестирования. Его используют для небольших фирм с незначительным денежным оборотом, а также для экспресс-анализа проектов в условиях нехватки ресурсов.
Простая норма прибыли (Accounting Rate of Return – ARR)[14] . Коэффициент, рассчитываемый по данному методу, аналогичен коэффициенту рентабельности капитала. Норма прибыли показывает, какая часть инвестиционных затрат возмещается в виде прибыли в течении одного интервала планирования. Сравнивая рассчитанную величину нормы прибыли с минимальным или средним уровнем доходности, инвестор может прийти к заключению о целесообразности дальнейшего анализа данного инвестиционного проекта. ARR рассчитывается как отношение чистой прибыли к инвестиционным затратам.

Дисконтированные методы оценки эффективности инвестиционного проекта характеризуются тем, что они учитывают временную стоимость денег. Процедура приведения разновременных платежей к базовой дате называется дисконтированием. Дисконтирование, как и начисление сложного процента, базируется на использовании ставки процента. В экономическом анализе ставку дисконта определяют как уровень доходности, который можно получить по разным инвестиционным возможностям. При финансовом анализе поступают проще. За ставку дисконта берут типичный процент, под который данная фирма может занять финансовые средства.
При оценке эффективности инвестиционного проекта должен учитываться фактор риска, который выражается в виде возможного уменьшения отдачи от вложенных капитала по сравнению с ожидаемой величиной. В качестве важнейших внешних факторов при данной оценке проекта должны учитываться общий уровень инфляции, вероятное изменение цен по основным категориям затрат, величина ссудного процента по кредитам. Величины указанных показателей должны базироваться на макроэкономических прогнозах экономического развития страны и отрасли.
При экономической оценке эффективности инвестиционного проекта используются широко известные в мировой практике показатели:
• приведенная стоимость ( PV );
• чистая приведенная стоимость ( NPV );
• дисконтированный срок окупаемости ( D PP );
• внутренняя норма доходности ( IRR );
• индекс рентабельности (прибыльности) ( PI ).
Приведенная стоимость ( Present Value — PV ). Задача любого инвестора состоит в том, чтобы найти такое реальное средство, которое принесло бы в конечном итоге доход, превосходящий расходы на его приобретение. При этом возникает сложная проблема: деньги на приобретение реального средства необходимо расходовать сегодня (в момент t =0 ), отдачу же инвестиция обычно дает не сразу, а по прошествии какого-то промежутка времени (в момент t=1 ). Следовательно, для решения поставленной задачи необходимо определить стоимость реального средства с учетом отдаленности во времени будущих поступлений (доходов) от его использования.
В общем случае, чтобы найти приведенную стоимость PV любого средства (реального или финансового), используемого в течение определенного холдингового (инвестиционного) периода, необходимо величину ожидаемого потока дохода от данного средства (С ) умножить на величину 1/(1+ r ):

где r определяет доходность наилучшего альтернативного финансового средства с таким же периодом и аналогичным уровнем риска.
Величину:
называют фактором дисконта (коэффициентом дисконтирования) . Доходность альтернативного финансового средства r называется нормой (ставкой) дисконта . Ставка дисконта определяет издержки упущенной возможности капитала, поскольку характеризует, какую выгоду упустила фирма, инвестировав деньги в реальные активы, а не в наилучшее альтернативное финансовое средство. Чтобы определить целесообразность приобретения реального средства стоимостью C 0 руб. необходимо:
а) оценить, какой поток дохода С n за весь период он ожидает от реального средства;
б) выяснить, какая ценная бумага с таким же периодом имеет, тот же уровень риска, что и планируемый проект;
в) определить доходность r этой ценной бумаги в настоящее время;

г) вычислить приведенную стоимость PV планируемого потока дохода Cn путем дисконтирования будущего потока доходов:
д) сравнить инвестиционные затраты С 0 с приведенной стоимостью PV :
если PV > C 0 , то реальное средство можно покупать;
если PV < C 0 , то приобретать не надо;
если PV = C 0 , то реальное средство можно и покупать, и не покупать (то есть с экономической точки зрения инвестирование в реальное средство не имеет никакого преимущества в сравнении с вложением денег в ценные бумаги или в другие объекты.
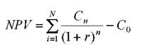
Чистая приведенная стоимость ( Net Present Value — NPV)[15] . Целесообразность приобретения реального средства можно оценивать с помощью чистой приведенной стоимости ( NPV ) , под которой понимают чистый прирост к потенциальным активам фирмы за счет реализации проекта. Иными словами, NPV определяется как разность между приведенной стоимостью PV средства и суммой начальных инвестиций С 0 :

Критерий принятия решений в методе NPV одинаков для любых видов инвестиций и компаний: если значение NPV положительное, инветиционный проект следует принять, и наоборот[16] .
,
где CF – чистый денежный поток;
t – период реализации инвестиционного проекта;
r – стоимость капитала, привлечённого для инвестиционного проекта;
IC — величина исходной инвестиции.
Преимуществами метода NPV можно считать то, что он ориентирован на увеличение благосостояния инвесторов и учитывает временную стоимость денег.
Дисконтированный срок окупаемости (Discounted Payback Period DP Р) . Срок окупаемости проекта это период, в течение которого происходит возмещение первоначальных инвестиционных затрат, или же это количество периодов (шагов расчета, например, лет), в течение которых аккумулированная сумма предполагаемых будущих потоков доходов будет равна сумме начальных инвестиций.
Как правило, фирма сама устанавливает приемлемый срок окончания инвестиционного проекта, например k шагов. Этот срок определяется фирмой на основании своих собственных стратегических и тактических установок: например, руководство фирмы отвергает любые проекты длительностью свыше 5 лет, поскольку через 5 лет фирму планируется перепрофилировать на выпуск иных изделий.
Когда срок k окончания альтернативных проектов определен, то срок окупаемости оцениваемого проекта можно найти, если подсчитать, за какое количество шагов расчета m сумма денежных потоков С 1 +С2 +…+ Cm будет равна или начнет превышать величину начальных инвестиций С0. Иными словами, для определения срока окупаемости проекта необходимо последовательно сравнивать аккумулированные суммы доходов с начальными инвестициями. Согласно правилу срока окупаемости, проект может быть принят, если выполняется условие: m ≤ k.
DPP вычисляет ежегодные чистые денежные поступлення по соответствующей учётной ставке и определяет, какое количество лет потребуется для этих дисконтированных денежных потоков, чтобы они окупили первоначальные затраты на ивестиции. Метод DPP является более совершенным методом оценки инвестиционных проектов по сравнению с предыдущим методом. Он учитывает большее количество денежных потоков от капиталовложений, имеет чёткий критерий приемлемости проектов (при использовании DPP проект принимается, если он окупает себя в течение своего срока жизни), определяет ликвидность проекта. Основным недостатком данного метода является то, что он не принимает в расчёт все денежные потоки после завершения срока осуществления проекта.
Внутренняя норма доходности или рентабельности проекта (Internal Rate of Return — IRR)[17] . Представляет собой расчетную ставку дисконтирования, при которой чистая приведенная стоимость проекта равна нулю, т.е. приведённая стоимость ожидаемых притоков денежных средств равна приведённой стоимости оттоков (при этом возмещается инвестированный капитал) Внутренняя норма доходности находится путем решения следующего уравнения:

Показатель IRR характеризует нижний гарантированный уровень прибыльности ИП. Учитывая инвестиционный риск проекта, в случае, если IRR превышает среднюю стоимость капитала (например, ставку по долгосрочным банковским кредитам) в данной отрасли, этот проект можно считать привлекательным. Преимуществом этого метода можно считать его объективность, информативность, независимость от абсолютного размера инвестиций, а также дать возможность оценки относительной прибыльности проекта и сравнения проектов с различными уровнями риска (проекты с большим уровнем риска должны иметь большую внутреннюю норму доходности). Правило внутренней нормы доходности: принимать необходимо те проекты, у которых ставка дисконта (то есть издержки упущенной возможности капитала) меньше внутренней нормы доходности проекта (r < IRR ).
Под индексом рентабельности (доходности) ( Profitability Index — PI ) понимают величину, равную отношению приведенной стоимости ожидаемых потоков денег от реализации проекта к начальной стоимости инвестиций. анный индекс является модификацией метода NPV и использует ту же самую информацию о дисконтированных денежных потоках, рассчитывается по следующей формуле: ![]()
Индекс PI показывает относительную прибыльность проекта. Если PI >1, то доходность проекта выше, чем требуемая инвесторами, и проект является привлекательным. Таким образом, этот метод может использоваться для ранжирования проектов с различными издержками и ожидаемыми сроками жизни. Это является преимуществом данного метода по сравнению с методом NPV.
Правило индекса рентабельности заключается в следующем: принимать необходимо только те проекты, у которых величина индекса рентабельности превосходит единицу. При оценке двух или нескольких проектов, имеющих положительный индекс рентабельности, следует останавливать выбор на том, который имеет более высокий индекс рентабельности. Индекс рентабельности показывает, сколько получает инвестор на вложенный рубль.
Если критерии NPV, IRR и PI, наиболее часто применяемые в инвестиционном анализе, фактически являются разными версиями одной и той же концепции, вследствие чего их результаты связаны друг с другом. Поэтому для одного проекта можно ожидать выполнения следующих математических соотношений:
если NPV>0, то PI>1 и IRR>R;
если NPV<0, то PI<1 и IRR<R;
если NPV=0, то PI=1 и IRR=R, где R – требуемая норма доходности[18] .
Таким образом, к современным методам оценки эффективности инвестиционных проектов относятся простые методы, не предполагающие дисконтирования, и методы, основанные на дисконтировании денежных потоков. Обычно проект оценивается не одним каким-то методом, а несколькими. Это происходит в силу того, что используемые отдельные методы несовершенны. Для того чтобы наглядно рассмотреть и применить данные методы, перейдем непосредственно к практической части и оценим эффективность реального инвестиционного проекта ОАО «Альавто».
Глава 2. Анализ и оценка эффективности инвестиционного проекта
ОАО «Альавто».
2.1. Краткая характеристика инвестиционного проекта
ОАО «Альавто».
Открытое акционерное общество «Альавто» является промышленным предприятием и осуществляет свою деятельность на базе «Альметьевского авторемонтного завода». Отраслью деятельности предприятия является производство различной трубопроводной арматуры. Материалы и комплектующие на 80% закупаются в России, недостающие материалы и комплектующие импортируется из ближнего зарубежья.
Основными потребителями продукции эмитента являются предприятия всех форм собственности России, в том числе и Калининградской области.
Основные показатели деятельности предприятия за отчетный период приведены в Приложении 1.
Как видно из таблицы, в 2009 году произошло увеличение объема производства и реализации продукции. Об этом свидетельствует увеличение выручки и себестоимости на 10,8 и 11,65% соответственно. Прибыль предприятия также возросла – на 5,42%. Стоимость ОПФ увеличилась на 791,5 тыс. руб., численность работников снизилась на 2 человека, что вместе с увеличением выручки привело к увеличению отдачи от использованию основных средств и увеличению показателя производительности труда[19]. Рентабельность продукции немного снизилась по причине превышения темпа роста себестоимости над темпом роста прибыли.
В последние годы спрос на трубопроводную арматуру и подобную ей продукцию, которую производит и реализует ОАО «Альавто», стабильно растет. Это касается как покупателей на территории Калининградской области, так и за ее пределами. Поэтому руководство приняло решение о необходимости осуществления инвестиционного проекта. Предполагается расширить производство продукции за счет покупки нового оборудования для производства дополнительного объема задвижек DN-100. Данный вид изделия имеет более высокую цену реализации в сравнении с другими изделиями и, следовательно, потенциально более рентабелен.
Финансовое состояние предприятия является очень устойчивым. К тому же предприятие имеет существенные объемы накопленной нераспределенной прибыли. На конец 2009 г. она составила 55034 тыс. руб. Поэтому финансирование инвестиционного проекта целесообразно осуществлять за счет собственных средств, а именно за счет нераспределенной прибыли.
Необходимое оборудование – производственный станок для изготовления задвижек DN-100 – предприятие имеет возможность приобрести в Германии у поставщика. Стоимость самого станка составляет 142 тыс. евро, в переводе на российскую валюту около 6 млн. руб. Если основываться на классификации Максимовой В.Ф. (см. п. 1.2), то данный проект является традиционным проектом по своей сути. То есть
Транспортировка оборудования обойдется организации в 450 тыс. руб. Установка и монтаж – дополнительно 150 тыс. руб. Поскольку налог на добавленную стоимость организация в последующем имеет право поставить к вычету, то его сумма не включается в общую сумму затрат. Таким образом, полная стоимость оборудования составляет 6,6 млн. руб. Предприятие планирует профинансировать приобретение данного оборудования из собственных источников, а именно из нераспределенной прибыли, как и было, сказано выше.
Качество любого принятого решения будет зависеть от правильности оценок затрат и поступлений, представленных в виде денежных потоков. В ходе оценки сопоставляют ожидаемые затраты и возможные выгоды, (оттоки и притоки) и получают представление о потоках денежных средств.
Под денежным потоком (cash flow) инвестиционного проекта понимают поступления и выплаты денежных средств, связанные исключительно с реализацией этого проекта. Чистый денежный поток – это разница между суммой всех поступлений денежных средств и суммой всех платежей за один и тот же период. Именно чистые денежные потоки различных периодов дисконтируются при оценке эффективности проекта.
2.2. Оценка эффективности проекта ОАО «Альавто» и его анализ.
Использование приобретаемого оборудования позволит предприятию производить на нем в течение 5 лет задвижки DN-100. Объем производства и реализации в 2010 г. (первый год использования оборудования) составит 10500 штук, в 2011 г. – 11000 штук, в 2012 г. – 11000 штук, в 2013 г. – 11400 штук, в 2014 г. – 10500 штук. Цена реализации составит 1000 руб. за шт., 1020 руб., 1050 руб., 1100 руб., 1150 руб. соответственно.
Таким образом, объем продаж в стоимостном выражении составит 10,5 млн. руб., 11,22 млн. руб., 11,55 млн. руб., 12,54 млн. руб., 12,075 млн. руб. соответственно.
Переменные затраты в ходе осуществления производства состоят из материальных затрат и затрат на оплату труда. Материальные затраты – это затраты на покупку сырья и материалов. В 2010 г. они составят 6,31 млн. руб., в 2011 г. – 6,67 млн. руб., в 2012 г. – 6,7 млн. руб., в 2013 г. – 7,158 млн. руб., в 2014 г. – 6,74 млн. руб. Трудовые затраты – это затраты на оплату труда рабочих, обслуживающих станок, и отчисления на социальные нужды. Данные расходы составят 830 тыс. руб., 920 тыс. руб., 940 тыс. руб., 1050 тыс. руб., 1030 тыс. руб. соответственно.
Постоянные затраты состоят из амортизации, страховых взносов по имущественному страхованию, налога на имущество, сумм планового ремонта и общехозяйственных и общепроизводственных расходов.
ОАО «Альавто» планирует использовать приобретаемый станок в течение 5 лет. Для начисления амортизации используется линейный метод. Сумма ежегодной амортизации составит 1,32 млн. руб.
Организация планирует застраховать приобретаемый станок. Тариф составит 3% от стоимости имущества. Сумма ежегодных взносов – 198 тыс. руб. Ставка налога на имущество составляет 2,2% от среднегодовой стоимости имущества. Исходя из этого, предприятие заплатит налог на имущество в суммах 130 тыс. руб., 102 тыс. руб., 763 тыс. руб., 29 тыс. руб., 15 тыс. руб. соответственно по годам.
Сумма планового ремонта установлена в размере 80 тыс. руб. ежегодно. Общехозяйственные и общепроизводственные расходы предприятия составят 250 тыс. руб. ежегодно. Они включают в себя часть затрат на оплату труда руководящего персонала, распределенную на данное оборудование, расходы на обслуживание станка, а также непредвиденные затраты.
На основе данных по ожидаемым доходам и расходам можно составить план движения денежных потоков. Он представлен в Приложении 2.
Таким образом, чистый денежный поток во все годы осуществления инвестиционного проекта оказался положительным. Накопленный денежный поток к концу срока реализации проекта составит 14114,88 тыс. руб[20]. Это является свидетельством финансовой состоятельности проекта.
Показатели денежных потоков являются исходными данными для расчета показателей экономической эффективности инвестиционного проекта.
Ставка дисконтирования зависит от минимальной доходности и влияния уровня инфляции. В данном случае под минимальной доходностью понимается ставка по депозитам в наиболее надежных российских банках. Она составляет 7,5% годовых. Уровень инфляции, согласно официальным прогнозам на 2010-2011 гг., – 8,5%. Исходя из этого, формула ставки дисконтирования имеет вид:
(1+E)=(1+R)*(1+I), где
E – ставка дисконтирования,
R – безрисковая ставка,
I – уровень инфляции.
(1+E)=(1+7,5%)*(1+8,5%) = 1,17
Е = 17%.
Расчет периода окупаемости может осуществляться путем постепенного, шаг за шагом вычитания суммы амортизационных отчислений и чистой прибыли за очередной интервал (как правило, за год) планирования из общего объема капитальных затрат. Интервал, за который остаток нивелируется или становится отрицательным, и является тем самым периодом окупаемости.
Расчет срока окупаемости проекта
Год | Поступление, тыс. руб. | Накопленные поступления, тыс. руб. | Дисконтированные поступления, тыс. руб. | Накопленные дисконтированные поступления, тыс. руб. |
2009 | -6600 | -6600 | -6600 | -6600 |
2010 | 2370,32 | -4229,68 | 2025,915 | -4574,085 |
2011 | 2596,8 | -1632,88 | 1896,998 | -2677,087 |
2012 | 2786,04 | 1153,16 | 1739,521 | -937,566 |
2013 | 3185,8 | 4338,96 | 1700,102 | 762,536 |
2014 | 3175,92 | 7514,88 | 1448,573 | 2211,109 |
Простой срок окупаемости проекта, исходя из данных таблицы, превышает 2 года. По истечении 3 года осуществления проекта доходы полностью покрыли вложенные средства.
Дисконтированный срок окупаемости превышает 3 года. Только по истечении 4 года доходы от осуществления проекта полностью покроют понесенные затраты.
Расчёт простой нормы прибыли ( ARR )
Данный метод основан на использовании бухгалтерского показателя прибыль. Показатель определяется отношением средней величины прибыли к средней величине инвестиций. Экономически смысл простой нормы прибыли заключается в оценке того, какая часть инвестиционных затрат возмещается (возвращается) в виде прибыли в течение одного интервала планирования. ARR = Годовые доходы/ Первоначальные затраты
В качестве годовых доходов используется величина чистой прибыли, так как она лучше характеризует ту выгоду, которую получают владельцы предприятия и инвесторы.
Расчет среднегодовой прибыли
20 10 | 2011 | 2012 | 2013 | 2014 | |
Валовая прибыль | 1382 | 1680 | 1929 | 2455 | 2442 |
Налог на прибыль | 331,68 | 403,2 | 462,96 | 589,2 | 586,08 |
Чистая прибыль | 1050,32 | 1276,8 | 1466,04 | 1865,8 | 1855,92 |
Среднегодовая прибыль | 1502,98 | ||||
Первоначальные затраты | 6600 |
ARR = 1502,98 тыс. руб./6600 тыс. руб. = 0,2277, или 22,77%.
Если сравнить полученное значение с показателями текущей рентабельности продаж, активов или собственного капитала, находящихся на уровне 10–12%, то данный уровень нормы доходности можно считать вполне приемлемым.
Расчет NPV
20 10 | 2011 | 2012 | 2013 | 2014 | |
Денежные потоки проекта, тыс. руб. | 2370,32 | 2596,8 | 2786,04 | 3185,8 | 3175,92 |
Коэффициент дисконтирования, 1/(1+r) t | 0,855 | 0,731 | 0,624 | 0,534 | 0,456 |
Дисконтированные потоки, тыс. руб. | 2025,915 | 1896,998 | 1739,521 | 1700,102 | 1448,573 |
Сумма дисконтированных потоков, тыс. руб. | 8811,108 |
NPV = – Со + ∑ CFt /(1+ r ) t
CFt — объем генерируемых проектом денежных средств в периоде t
r – ставка дисконтирования
С0 – первоначальные инвестиционные затраты/
Сумма дисконтированных денежных потоков составляет 8811,108 тыс. руб. Таким образом, NPV данного инвестиционного проекта равен:
NPV = – 6600 тыс. руб. + 8811,108 тыс. руб. = 2211,108 тыс. руб. Чистый дисконтированный доход представляет собой оценку сегодняшней стоимости потока будущих доходов.
Так как выполняется необходимое условие эффективности проекта (NPV>0), положительное значение NPV свидетельствует о целесообразности осуществления проекта.
Расчет индекса рентабельности инвестиций.
Индекс рентабельности PI показывает какая величины современного денежного потока приходится на единицу предполагаемых первоначальных затрат.
PI = ∑ CFt /(1+ r ) t
C0
PI рассматриваемого инвестиционного проекта равен:
PI = 8811,108 тыс. руб./6600 тыс. руб. = 1,34
Исходя из условия рентабельности инвестиционного проекта (PI>1), данный проект можно признать рентабельным.
Оценка экономической эффективности методом внутренней нормы доходности
Алгоритм определения IRR методом подбора можно представить в следующем виде:
Выбираются два значения нормы дисконта и рассчитываются NPV , при одном значении NPV должно быть ниже нуля, а при другом – выше нуля; значения коэффициентов и самих NPV подставляются в следующую формулу (известную еще как интерполяция):
IRR = r н + ( r в – r н )∙ NPV + /( NPV + — NPV - ), где
rн — – норма дисконта, при которой показатель NPV положителен
NPV+ - — величина положительного и отрицательного NPV
rв – норма дисконта, при которой показатель NPV отрицателен
Для нормы дисконта 29% NPV составит 135,24 тыс. руб., для нормы дисконта 30% NPV составит -1,193 тыс. руб.
В данном случае IRR составит 1,2999, или 29,99%. Таким образом, полученное значение IRR>r и, следовательно, проект можно признать эффективным.
Расчет чистого приведенного дохода показал экономическую эффективность проекта, поскольку сумма дисконтированных денежных потоков превысила сумму первоначальных затрат, что является необходимым условием эффективности.
Индекс рентабельности инвестиций PI данного проекта больше 1, что также говори о целесообразности осуществления проекта.
Внутренняя норма доходности превысила показатель расчетной ставки дисконтирования. Это говорит о том, что показатель IRR превышает стоимость капитала, используемого организацией для осуществления проекта.
Инвестиционный проект полностью окупается в ходе его реализации как согласно расчетам простого срока окупаемости, так и дисконтированного. Сроки – 3 и 4 года соответственно. Расчет простой нормы прибыли показал эффективность проекта, поскольку ARR составила 22,77%.
В целом, данный инвестиционный проект можно рекомендовать к реализации, поскольку расчеты показали его экономическую целесообразность.
Заключение:
В данной курсовой работе была рассмотрена тема оценки эффективности инвестиционного проекта. Во второй главе был проведен анализ эффективности конкретного инвестиционного проекта ОАО «Альавто».
Исходя из данных об устойчивом финансовом положении, инвестиционный проект целесообразно осуществлять за счет собственных источников. Данный инвестиционный проект представляет собой приобретение оборудования – производственного станка для изготовления задвижек DN-100.
В работе было приведена краткая характеристика осуществляемого инвестиционного проекта. Был проведен расчет денежных потоков и обоснована ставка дисконтирования. Денежный поток оказался положительным во все годы осуществления проекта.
Также была представлена оценка экономической эффективности данного проекта при помощи расчета ряда показателей.
Расчет чистого приведенного дохода показал экономическую эффективность проекта, поскольку сумма дисконтированных денежных потоков превысила сумму первоначальных затрат, что является необходимым условием эффективности. Индекс рентабельности инвестиций PI данного проекта больше 1, что также говори о целесообразности осуществления проекта. Внутренняя норма доходности превысила показатель расчетной ставки дисконтирования. Это говорит о том, что показатель IRR превышает стоимость капитала, используемого организацией для осуществления проекта. Инвестиционный проект полностью окупается в ходе его реализации как согласно расчетам простого срока окупаемости, так и дисконтированного. Сроки – 3 и 4 года соответственно. В целом, данный инвестиционный проект можно было рекомендовать к реализации, поскольку расчеты показали его экономическую целесообразность, как и поступило предприятие – приняло проект к осуществлению в текущем 2010 г.
Список литературы:
1. Законы, указы, постановления:
1) «Методические рекомендации по оценке эффективности инвестиционных проектов» (утв. Минэкономики РФ, Минфином РФ, Госстроем РФ 21.06.1999 N ВК 477).
2) Федеральный закон от 25 февраля 1999 г. № 39-ФЗ «Об инвестиционной деятельности в Российской Федерации, осуществляемой в форме капитальных вложений» (в ред. Федерального закона от 23.07.2010 N 184-ФЗ).
2. Книги, изданные под фамилией или редакцией автора:
1) Алексеева М.М. Планирование деятельности фирмы. Учебно-методическое пособие, 2007.
2) Белоглазова Г.Н. «Финансы и кредит», 2006.
3) Ефимова О.В. «Финансовый анализ», 2002.
4) Игонина Л.Л. Инвестиции: Учеб. пособие / Под ред. д-ра экон. наук, проф. В.А. Слепова, 2003.
5) Колтынюк Б.А. Инвестиции. Учебник. — СПб.: Изд-во Михайлова В.А. 2003.
6) Максимова В.Ф. Инвестирование, 2007.
7) Максимова В.Ф. Реальные инвестиции. -.М. Изд-во МЭСИ, 2000.
8) Савчук В. П. «Оценка эффективности инвестиционных проектов»,2004.
9) Слепов В.А., Громова Е.И., Кери И.Т. «Финансовая политика компании», 2005.
10) Слепов В.А., Лисицына Е.В., «Финансовый менеджмент», 2005.
11) Топсахалова Ф.М.-Г. Учебно-методическое пособие «Инвестиции», 2010.
12) Шабалин А.Н. Инвестиционное проектирование, 2004.
13) «Финансы, денежное обращение и кредит», издательство «РИОР», 2008.
3. Интернет – ресурсы:
1)www.consultant.ru (Официальный сайт компании «Консультант Плюс»);
2)http://www.altrc.ru/?p=libr_card&item_id=144&group_id=32
(ИКФ «Альт» — Коммерческая оценка инвестиционных проектов. Основные положения методики.);
3) goldinvestor.ru/investicionnyj-proekt
(«Инвестиционные проекты», опубликовано 08 Дек 2009г.);
4)http://www.ceae.ru/ocenka-invest-proekt.htm
(«Центр Экономического Анализа и Экспертизы»);
5) market-pages.ru/invest/6.html («Информационный бизнес портал»).
Приложение 1. Основные показатели деятельности ОАО «Альавто»
№ | Показатель | 2008 г . | 2009 г . | Отклонения | |
Абсолютное | Т РОСТА, % | ||||
1 | Выручка с. 010 (ф. №2), тыс. руб. | 106369 | 117859 | 11490 | 110,80 |
2 | Себестоимость с. 020 (ф. №2), тыс. руб. | (91891) | (102597) | 10706 | 111,65 |
3 | Прибыль (п. 1 – п. 2), тыс. руб. | 14478 | 15262 | 784 | 105,42 |
4 | Среднегодовая стоимость ОПФ (120нг +120кг) /2, тыс. руб. | 16840 | 17631,5 | 791,5 | 104,7 |
5 | Среднесписочная численность работников, чел. | 208 | 206 | – 2 | 99 |
6 | Производительность труда (п. 1 / п. 5), тыс. руб./чел. | 511,39 | 572,13 | 60,74 | 111,88 |
7 | Фондоотдача (с. 010 (ф. №2) / п. 4), тыс. руб./тыс. руб. | 6,32 | 6,68 | 0,36 | 105,7 |
8 | Фондоемкость (п. 4 / с. 010 (ф. №2)), тыс. руб./тыс. руб. | 0,16 | 0,15 | – 0,01 | 93,8 |
9 | Фондовооруженность (п. 4 / п. 5), тыс. руб./чел. | 80,96 | 85,59 | 4,63 | 105,72 |
10 | Рентабельность реализованной | 15,76 | 14,86 | – 0,9 | 94 |
Приложение 2. План движения денежных потоков
Показатель | Значение показателя, тыс. руб. | ||||
2009 | 2010 | 20 11 | 20 12 | 201 3 | 201 4 |
Первоначальные инвестиции | 6600 | ||||
Выручка от реализации | 10500 | 11220 | 11550 | 12540 | 12075 |
Переменные затраты, в т.ч.: | 7140 | 7590 | 7700 | 8208 | 7770 |
– материальные затраты | 6310 | 6670 | 6700 | 7158 | 6740 |
-оплата труда с социальными отчислениями | 830 | 920 | 940 | 1050 | 1030 |
Постоянные затраты без амортизации, в т.ч.: | 658 | 630 | 601 | 557 | 543 |
– страховые взносы | 198 | 198 | 198 | 198 | 198 |
– налог на имущество | 130 | 102 | 73 | 29 | 15 |
– плановый ремонт | 80 | 80 | 80 | 80 | 80 |
– общехозяйственные и общепроизводственные расходы | 250 | 250 | 250 | 250 | 250 |
Амортизация | 1320 | 1320 | 1320 | 1320 | 1320 |
Валовая Прибыль | 1382 | 1680 | 1929 | 2455 | 2442 |
Налог на прибыль | 331,68 | 403,2 | 462,96 | 589,2 | 586,08 |
Прибыль после налогообложения | 1050,32 | 1276,8 | 1466,04 | 1865,8 | 1855,92 |
Чистый денежный поток | 2370,32 | 2596,8 | 2786,04 | 3185,8 | 3175,92 |
[1] Учебно-методическое пособие д.э.н., профессора Ф.М-Г. Топсахаловой «Инвестиции», 2010 г.
[2] «Методические рекомендации по оценке эффективности инвестиционных проектов» (утв. Минэкономики РФ, Минфином РФ, Госстроем РФ 21.06.1999 N ВК 477).
[3] Федеральный закон от 25 февраля 1999 г. № 39-ФЗ «Об инвестиционной деятельности в Российской Федерации, осуществляемой в форме капитальных вложений» (в ред. Федерального закона от 23.07.2010 N 184-ФЗ).
[4] Савчук В. П. «Оценка эффективности инвестиционных проектов» 2004. 646 с.
[5] Колтынюк Б.А. Инвестиции. Учебник. — СПб.: Изд-во Михайлова В.А. 2003. — 848 с.
[6] www.altrc.ru/?p=libr_card&item_id=144&group_id=32 ( ИКФ «Альт» — Коммерческая оценка инвестиционных проектов. Основные положения методики.)
[7] Алексеева М.М. Планирование деятельности фирмы. Учебно-методическое пособие, 2007.
[8] Максимова В.Ф. Реальные инвестиции. -.М. Изд-во МЭСИ, 2000.
[9] Максимова В.Ф. Инвестирование,2007г., с-137.
[10] goldinvestor.ru/investicionnyj-proekt («Инвестиционные проекты», опубликовано 08 Дек 2009г.)
[11] «Методические рекомендации по оценке эффективности инвестиционных проектов» (утв. Минэкономики РФ, Минфином РФ, Госстроем РФ 21.06.1999 N ВК 477).
[12] www.ceae.ru/ocenka-invest-proekt.htm («Центр Экономического Анализа и Экспертизы»).
[13] market-pages.ru/invest/6.html («Информационный бизнес портал»).
[14] Белоглазова Г.Н. «Финансы и кредит», 2006 г.
[15] «Финансы, денежное обращение и кредит», издательство «РИОР», г. Москва, 2008г.
[16] «Финансовый анализ», Ефимова О.В., 2002 г.
[17] Слепов В.А., Лисицына Е.В. «Финансовый менеджмент», 2005 г.
[18] Слепов В.А., Громова Е.И., Кери И.Т. «Финансовая политика компании», 2005 г.
[19] Приложение 1. Основные показатели деятельности ОАО «Альавто».
[20] Приложение 2. План движения денежных потоков.