Реферат: Управление дебиторской задолженностью и пути их решения
ПЛАН:
ВВЕДЕНИЕ…………………………………………………………………...…….3
1. Теоретические аспекты управления дебиторской задолженностью………...5
2. Методы управления дебиторской задолженностью…………………….…..10
2.1 Оценка дебиторской задолженности…………………………………….…..10
2.2 Формирование политики управления дебиторской задолженностью……..16
3. Проблемы управления дебиторской задолженностью и пути их решения..31
3.1 Создание системы управления дебиторской задолженностью…………….31
3.2 Мотивация персонала…………………………………………………………44
3.3 Автоматизация управления дебиторской задолженностью………….…….45
ЗАКЛЮЧЕНИЕ……………………………………………………………..……..50
СПИСОК ИСПОЛЬЗОВАННОЙ ЛИТЕРАТУРЫ…………………..……….….53
ВВЕДЕНИЕ
Дебиторская задолженность является неотъемлемым элементом сбытовой деятельности любого предприятия. Довольно большая ее часть в общей структуре активов снижает ликвидность и финансовую стойкость предприятия и повышает риск финансовых потерь компании.
Современные условия развития экономики нашей страны предусматривают динамизм развития взаиморасчетов между контрагентами. В таких условиях особое внимание необходимо уделять дебиторской задолженности.
Термин «дебиторская задолженность» — чисто бухгалтерский термин, который обозначает долги сторонних лиц перед какой либо организацией. Очень часто ее определяют как составляющую оборотного капитала, которая представляет собой требования к физическим или юридическим лицам относительно оплаты товаров, продукции, услуг.
Существует тенденция отождествлять дебиторскую задолженность с коммерческим кредитом. Коммерческий кредит предоставляется покупателю с учетом его стоимости (ресурсы компании предоставляются в пользование на платной основе) и срочности (срок использования предоставленных средств ограничен).
Согласно стандартам бухгалтерского учета, дебиторская задолженность это сумма задолженности дебиторов предприятию на определенную дату. Дебиторами могут быть как юридические, так и физические лица, которые задолжали предприятию денежные средства, их эквиваленты или другие активы. По данным бухгалтерского учета можно определить сумму задолженности на любую дату, но обычно такая сумма определяется на дату баланса.
Экономическая выгода от дебиторской задолженности выражается в том, что предприятие в результате ее погашения рассчитывает рано или поздно получить денежные средства или их эквиваленты. Соответственно дебиторскую задолженность можно признать активом только тогда, когда существует вероятность ее погашения должником. Если такой вероятности нет, сумму дебиторской задолженности следует списать. Если задолженность невозможно правильно оценить, то есть определить ее сумму, она не может быть признана активом и не должна отображаться в балансе.
Таким образом, дебиторскую задолженность можно определить как оборотный актив предприятия, который возникает в его сбытовой деятельности и характеризует взаимоотношения контрагентов по оплате стоимости полученного товара (работы, услуги).
Работа с дебиторской задолженностью, то есть процесс управления ею, является важным моментом в деятельности любого предприятия и требует пристального внимания руководителей и менеджеров. Определение подходов к управлению дебиторской задолженностью, этапов и методов — проблема, которая не имеет однозначного решения, зависит от специфики деятельности предприятия и личных качеств руководства.
В связи с этим возникает проблема: как определить оптимальный уровень дебиторской задолженности, который позволит получить максимальную прибыль при имеющихся возможностях? Кроме того, для многих компаний актуальна задача выработки целостной кредитной политики в отношении дебиторов. Она должна учитывать финансовые возможности, конкурентные преимущества, стратегические установки и общий стиль работы фирмы. Кредитная политика, четко увязанная с другими элементами финансовой политики, может стать мощнейшим инструментом компании в конкурентной борьбе.
Целью работы является изучение проблем управления дебиторской задолженностью и путей их решения.
Задачи работы:
1. изучение теоретических основ управления дебиторской задолженностью;
2. изучение методов управления дебиторской задолженности;
3. выявление проблем управления дебиторской задолженностью и пути их решения;
4. создание системы управления дебиторской задолженностью.
Работа состоит из введения, 3 глав, заключения и списка использованной литературы.
1 Теоретические аспекты управления дебиторской задолженности.
Дебиторская задолженность — важный компонент оборотного капитала. Под дебиторской задолженностью мы понимаем задолженность организаций и физических лиц данной организации (например, задолженность покупателей за приобретенный товар или оказанные услуги, задолженность подотчетных лиц за выданные им денежные суммы и пр.). Соответственно, организации и лица, являющиеся должниками данной организации, называются дебиторами.
Когда одно предприятие продает товары другому предприятию или организации, совсем не значит, что товары будут оплачены немедленно. Неоплаченные счета за поставленную продукцию (или счета к получению) и составляют большую часть дебиторской задолженности. Специфический элемент дебиторской задолженности — векселя к получению, являющиеся по существу ценными бумагами (коммерческие ценные бумаги). Одной из задач финансового менеджера по управлению дебиторской задолженностью являются определение степени риска неплатежеспособности покупателей, расчет прогнозного значения резерва по сомнительным долгам, а также предоставление рекомендаций по работе с фактически или потенциально неплатежеспособными покупателями.
Управление дебиторской задолженностью непосредственно влияет на прибыльность компании и определяет дисконтную и кредитную политику для малоэффективных покупателей, пути ускорения востребования долгов и уменьшение безнадежных долгов, а также выбор условий продажи, обеспечивающих гарантированное поступление денежных средств.
К приемам управления дебиторской задолженностью относятся: учет заказов, оформление счетов и установление характера дебиторской задолженности. Среди подлежащих рассмотрению моментов есть некоторые, требующие особого внимания, например необходимость поиска путей сокращения среднего промежутка времени между завершением операции по продаже товара и выпиской счета-фактуры покупателю. Также должны оцениваться возможные издержки, связанные с дебиторской задолженностью, т. е. упущенная выгода от не использования средств, вместо их инвестирования.
Для управления дебиторской задолженностью предприятию необходима информация о дебиторах и их платежах: данные о выставленных дебиторам счетах, которые не оплачены на данный момент; время просрочки платежа по каждому из счетов; размер безнадежной и сомнительной дебиторской задолженности, оцененной на основании установленных фирмой нормативов; кредитная история контрагента (средний период просрочки, средняя сумма кредита). Как правило, такие сведения можно получить при исследовании системы бухгалтерского учета. Однако прежде чем приступить к исследованию системы, стоит определить принципы учета и контроля дебиторской задолженности. Предлагается в процессе управления дебиторской задолженностью выделять такие этапы.
Первый этап управления — планирование величины дебиторской задолженности — был, есть и будет одним из важнейших. Это связано с тем, что в процессе реализации работ по планированию величины дебиторской задолженности, необходимо учитывать не только параметры дебиторской задолженности, которые характеризуют ее состояние, но и целый ряд внешних факторов, которые могут существенно повлиять на конечные результаты управления.
В процессе выполнения учета дебиторской задолженности собирается информация о финансовом положении дебиторов, от которых зависит состояние дебиторской задолженности. Основная сложность на данном этапе заключается в определении минимального объема и номенклатуры данных, которые позволяют управляющему субъекту иметь ясное представление о состоянии объекта управления. Данное обстоятельство связано с двумя моментами. Первый момент вызван тем, что для сбора и обработки учетной информации необходимы денежные средства, которые всегда ограничены. Второй момент вызван тем, что информация может дублироваться и опаздывать, а это не способствует принятию обоснованного решения.
Третий этап управления — контроль величины дебиторской задолженности, который предусматривает сравнение фактических данных учета с плановыми или бюджетными. В эпоху централизованного планирования было достаточно разработать плановые показатели, но в рыночных условиях плановые показатели должны формироваться при изучении рынка, что требует разработки бизнес-планов развития, бюджетов. В связи с отсутствием системы плановых показателей деятельности предприятия этап контроля выполняет несколько иные функции, фактически контроль сводится к сравнению бухгалтерских данных только за прошлый и текущий (плановый) период. Поэтому эффективный процесс управления должен базироваться на общей системе управления предприятием.
На четвертом этапе — анализ дебиторской задолженности — исследуются и выделяются факторы, влияние которых привело к появлению отклонений фактических параметров состояния дебиторской задолженности от плановых показателей.
Пятый этап — этап разработки ряда альтернативных решений или определения оптимального решения.
Для формирования нескольких возможных решений, направленных на улучшение той ситуации, в которой находится предприятие, достаточно информации, собранной еще на стадии анализа. На основе этой информации можно создать систему ограничений относительно соответствующей целевой функции, а также провести ранжирование причин, которые больше всего влияют на величину дебиторской задолженности. Та же причина может вызывать несколько последствий, а устранение этих причин моделируется с целью оценки возможных результатов. Таким образом, разрабатывается несколько альтернативных решений или даже определяется оптимальное решение.
Шестой этап — фаза реализации одного или нескольких альтернативных решений — на этом этапе осуществляется выполнение принятого оптимального решения или нескольких альтернативных решений. На этой стадии определяются необходимые средства, а также порядок реализации принятого решения.
Важным вопросом при управлении дебиторской задолженностью является ее классификация. В зависимости от того, какой признак положен в основу ее классификации, можно использовать разнообразные методы управления дебиторской задолженностью.
Традиционная классификация дебиторской задолженности предусматривает ее распределение по правовому критерию на срочную или просроченную. К срочной относится дебиторская задолженность, срок погашения которой еще не наступил или составляет меньше одного месяца и которая связана с нормальными сроками расчетов, определенными в соглашениях. Просроченная — это задолженность с нарушением договорных сроков. Дальше важно разобрать понятие сомнительный долг, который понимается как текущая дебиторская задолженность, относительно которой существует неуверенность ее погашения должником. Понятно, что долги такого вида продолжают значиться на балансе кредитора, пока есть хоть незначительная уверенность в их погашении. Списываться же с баланса они будут только когда станут безнадежными. Поэтому отдельно будем выделять безнадежную дебиторскую задолженность, к которой относим текущую дебиторскую задолженность, относительно которой существует уверенность в ее невозвращении должником или по которой истек срок исковой давности. Согласно ПБУ 10 дебиторская задолженность делится на долгосрочную и краткосрочную. Долгосрочной дебиторской задолженностью признается задолженность, которая не возникает в ходе нормального операционного цикла и будет погашена после 12 месяцев с даты баланса.
У ПБУ 2 «Баланс» дается определение операционного цикла — это промежуток времени между приобретением запасов для осуществления деятельности и получением денежных средств от реализации произведенной из них продукции или товаров и услуг. Определения нормального операционного цикла в стандартах нет, однако, используя приведенное ранее определение операционного цикла, можно сделать вывод, что это операционный цикл в обычных условиях деятельности. Обычно операционный цикл не превышает 12 месяцев, но по некоторым видам деятельности он может продолжаться более одного года. Невзирая на это, задолженность, возникшая в процессе такого операционного цикла, обычно считается не долгосрочной, а текущей.
Следовательно, долгосрочная задолженность — это в основном задолженность, не связанная с операционной деятельностью.
Текущая дебиторская задолженность (краткосрочная) — это задолженность, возникшая в процессе нормального операционного цикла или погашенная на протяжении 12 месяцев с даты баланса.
Таким образом, если задолженность, которая возникла, не связана с операционным циклом, но предусматривается, что она будет погашена в срок менее 12 месяцев, то такая задолженность признается текущей.
Датой баланса обычно является последний день отчетного периода.
Из приведенных ранее определений долгосрочной и текущей дебиторской задолженности следует сделать вывод: поскольку отнесение задолженности к текущей или долгосрочной привязано к дате баланса, на указанную дату следует пересматривать долгосрочную задолженность по отдельным дебиторам по срокам ее погашения. Если окажется, что до срока погашения задолженности осталось меньше 12 месяцев, прежнюю долгосрочную задолженность следует отобразить на дату баланса как текущую. В основу классификации дебиторской задолженности можно положить распределение дебиторской задолженности в зависимости от целевых групп должников. При этом используются маркетинговые подходы, которые основываются на изучении поведения потребителей. Учет различных причин неплатежей и реальных возможностей граждан по оплате возникших долгов решается на основе учетных данных о платежах и задолженностях.
2 Методы управления дебиторской задолженностью.
2.1 Оценка дебиторской задолженности
При оценке стоимости дебиторской задолженности важно проанализировать способы ее образования.
Дебиторская задолженность — комплексная статья, включающая расчеты:
● с покупателями и заказчиками:
● по векселям к получению;
● с дочерними и зависимыми обществами;
● с участниками (учредителями) по взносам в уставный капитал; ● по выданным авансам;
● с прочими дебиторами.
На возникновение и увеличение дебиторской задолженности влияют следующие факторы:
1) стремление к максимизации денежных потоков предприятия;
2) желание снизить издержки фирмы;
3) получение дебитором неявного бесплатного кредита.
В настоящее время не существует общепринятой методики оценки стоимости дебиторской задолженности. Использование при оценке стоимости дебиторской задолженности зарубежного опыта практически невозможно, в силу различия общепринятых правил ведения бухгалтерского учета, составления отчетности, а также потому, что залоговые обязательства иностранных компаний существуют, как правило, в форме векселей, облигаций и других ценных бумаг, свободно обращающихся на биржевом или внебиржевом рынке. Таким образом, проблема оценки стоимости дебиторской задолженности стоит для российских оценщиков особенно остро.
Нельзя сказать, что до сих пор в теории и практике российской оценочной деятельности не предпринималось никаких попыток разработать методику оценки «дебиторки». На сегодняшний день можно насчитать примерно 10 российских методик и методических рекомендаций по оценке дебиторской задолженности. Рассмотрим некоторые из них.
Оценка дебиторской задолженности методом дисконтированных денежных потоков
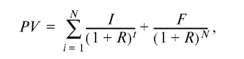
Согласно данной методике стоимость дебиторской задолженности определяется на основе принципа изменения стоимости денег во времени по формуле:

где:
PV — текущая стоимость долгового обязательства;
I — процентный доход, приносимый данным долговым обязательством;
R — ставка дисконтирования;
F — номинальная стоимость долгового обязательства, которая должна быть уплачена должником к определенному сроку погашения;
N — количество периодов (лет) до момента погашения долгового обязательства;
t — количество периодов (лет) с момента оценки до момента уплаты процентного дохода.
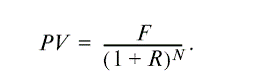
В зависимости от типа долгового обязательства указанная формула может изменяться, но принцип ее работы останется неизменным. Так, например, если не предусматривается выплата периодического процентного дохода, то стоимость такого денежного обязательства определяется по формуле:

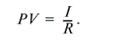
В случае оценки стоимости дебиторской задолженности с периодической выплатой процентов, но без обязательного погашения основного долга (например, бессрочных облигаций), применяется формула капитализации процентных выплат:

При применении данной методики основным вопросом является расчет ставки дисконта.
Основной сферой применения метода дисконтированных денежных потоков является оценка непросроченной дебиторской задолженности, оформленной ценными бумагами (векселями, облигациями), оценка выданных коммерческими банками кредитов. Основным условием применения данной задолженности является непросроченность долговых обязательств.
Среди преимуществ рассматриваемой методики можно отметить относительную простоту ее применения. Основным недостатком методики является узкая область ее применения. В настоящее время в РФ подавляющая часть оцениваемой дебиторской задолженности является просроченной, поэтому на практике применить данную методику удается достаточно редко.
Методика РОО (проект)
Российским обществом оценщиков совместно со специалистами ЗАО «РОСЭКО» в 1998 г. был разработан проект «Методических рекомендаций но анализу и оценке прав требований, принадлежащих организации-должнику как кредитору по неисполненным денежным обязательствам третьих лиц по оплате фактически поставленных товаров, выполненных работ или оказанных услуг (дебиторской задолженности) при обращении взыскания на имущество организаций-должников»
Расчет рыночной стоимости дебиторской задолженности в соответствии с данной методикой состоит из следующих этапов: Проведение инвентаризации дебиторской задолженности предприятия с выделением из общей суммы задолженности, дебиторской задолженности безнадежной для взыскания и дебиторской задолженности длительностью более 3-х месяцев.
Проведение финансового анализа дебиторов на предмет соответствия коэффициента текущей ликвидности и коэффициента обеспеченности собственными средствами предприятия-дебитора установленным нормативным значениям. В случае признания структуры баланса дебитора неудовлетворительной рекомендуется применить дополнительные методы финансового анализа для подтверждения или опровержения неплатежеспособности дебитора.
Определение рыночной стоимости дебиторской задолженности, для чего должен быть рассчитан дисконт (Д) по формуле:

где:
Д — дисконт (или скидка от величины дебиторской задолженности в соответствии с данными баланса), с которым может быть реализована дебиторская задолженность;
Сумма задолженности – дебиторская задолженность в соответствии с бухгалтерским учетом и актом сверки расчетов.
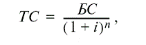
Текущая стоимость задолженности определяется по формуле:

где:
ТС — текущая стоимость дебиторской задолженности, определенная путем дисконтирования будущей стоимости;
БС — будущая стоимость дебиторской задолженности, то есть та сумма дебиторской задолженности, которая подлежит выплате в соответствии с договорами;
i — ставка дисконтирования,
n — число периодов, по прошествии которых ожидается выплата дебиторской задолженности.
Авторами методики было предложено определять ставку дисконтирования кумулятивным методом путем прибавления к безрисковой ставке (предлагалось использовать доходность рублевых векселей Сбербанка РФ) надбавок за риски (риски, учитывающие отраслевые и региональные особенности предприятия-дебитора, и риски с учетом финансового состояния предприятия-дебитора). Последний пункт проекта методики был посвящен анализу «старения» прав требования (дебиторской задолженности) в зависимости от срока ее возникновения. Для его расчета рекомендуется определять коэффициент дисконтирования с учетом сроков возникновения задолженности.
Тогда рыночная стоимость (РС) дебиторской задолженности за соответствующий период рассчитывается по формуле:
PC = коэффициент дисконтирования x балансовая стоимость задолженности
Положительным моментом методики РОО является то, что в ней рассматриваются такие факторы, как экономическая ситуация в стране, регионе, отрасли, более подробно предлагается проводить финансовый анализ дебитора.
Вместе с тем проекту присуща внутренняя противоречивость, что можно объяснить скорее всего тем, что рассматриваемая методика является именно проектом, а не законченным руководством. Например, не определена сфера применения дисконта (Д), остается неясным вопрос о применении коэффициента старения дебиторской задолженности — применять ли его к уже дисконтированной стоимости прав требований, использовать ли отдельно и в каких случаях. Таким образом, данный проект методических указаний требует дальнейшей существенной доработки.
Методика, основанная на расчете кумулятивного коэффициента
уменьшения
Данная методика была разработана коллективом кафедры «Оценочная деятельность и антикризисное управление» Финансовой академии при Правительстве РФ и Института профессиональной оценки в 2001 г.
Предлагаемая авторами методика оценки рыночной стоимости дебиторской задолженности предполагает следующие этапы расчетов:
1. Сбор и анализ информации в отношении должника.
2. Определение суммы оцениваемой дебиторской задолженности по состоянию на дату проведения оценки, которое должно проводиться с учетом начисленных пени и штрафных санкций за просрочку платежа.
3. Расчет величины скидки с полной суммы требований (кумулятивный коэффициент уменьшения, «φ»).
4. Вывод итоговой стоимости долга с учетом дополнительных поправок.
Кумулятивный коэффициент уменьшения может быть рассчитан для дебиторской задолженности конкретного дебитора или для каждой отдельной группы относительно идентичных долгов. Группировка обычно производится по таким параметрам, как: долгосрочные и краткосрочные, просроченные и непросроченные, по группам должников или по отдельным должникам (дебиторам).
Расчет величины кумулятивного коэффициента уменьшения (φ) проводится на основе анализа следующих факторов, определяющих рыночную стоимость дебиторской задолженности:
1. Финансовое положение дебитора.
2. Обеспечение по задолженности (анализ проводится, главным образом, при оценке дебиторской задолженности коммерческих банков).
3. Влияние деловой репутации дебитора на стоимость прав требования.
4. Временная характеристика задолженности.
Для расчета значения самого φ, его элементам должны быть приданы соответствующие веса в зависимости от того, какой из факторов является наиболее достоверным с точки зрения наличия информации и размера вероятной погрешности, а также в соответствии со значимостью для расчета рыночной стоимости оцениваемой дебиторской задолженности.
2.2 Формирование политики управления дебиторской задолженностью.
Формирование политики управления дебиторской задолженностью организации (или ее кредитной политики по отношению к покупателям продукции) осуществляется по следующим основным этапам.
1. Анализ дебиторской задолженности организации в предшествующем периоде.
2. Формирование принципов кредитной политики по отношению к покупателям продукции.
3. Определение возможной суммы оборотного капитала, направляемого в дебиторскую задолженность по товарному (коммерческому) кредиту.
4. Формирование системы кредитных условий.
5. Формирование стандартов оценки покупателей и дифференциации условий предоставления кредита.
6. Формирование процедуры инкассации дебиторской задолженности.
7. Обеспечение использования в организации современных форм рефинансирования дебиторской задолженности.
8. Построение эффективных систем контроля за движением и своевременной инкассацией дебиторской задолженности.
Рассмотрим каждый этап более подробно.
Анализ дебиторской задолженности организации в предшествующем
периоде
Основной задачей этого анализа является оценка уровня и состава дебиторской задолженности организации, а также эффективности инвестированных в нее финансовых средств. Анализ дебиторской задолженности по расчетам с покупателями проводится в разрезе товарного (коммерческого) и потребительского кредита.
На первом этапе анализа оценивается уровень дебиторской задолженности организации и его динамика в предшествующем периоде. Оценка этого уровня осуществляется на основе определения коэффициента отвлечения оборотных активов в дебиторскую задолженность, который рассчитывается по следующей формуле:
КОАдз = ДЗ/ОА, (7)
где КОАдз — коэффициент отвлечения оборотных активов в дебиторскую задолженность;
ДЗ — общая сумма дебиторской задолженности организации (или сумма задолженности отдельно по товарному и потребительскому кредиту);
ОА — общая сумма оборотных активов организации.
На втором этапе анализа определяются средний период инкассации дебиторской задолженности и количество ее оборотов в рассматриваемом периоде. Средний период инкассации дебиторской задолженности характеризует ее роль в фактической продолжительности финансового и общего операционного цикла организации. Этот показатель рассчитывается по следующей формуле:
ПИдз = ДЗср/Оо, (8)
где ПИдз — средний период инкассации дебиторской задолженности;
ДЗср — средний остаток дебиторской задолженности организации (в целом или отдельных ее видов) в рассматриваемом периоде;
Оо — сумма однодневного оборота по реализации продукции в рассматриваемом периоде.
Количество оборотов дебиторской задолженности характеризует скорость обращения инвестированных в нее средств в течение определенного периода. Этот показатель рассчитывается по следующей формуле:
КОдз = ОР/ДЗср, (9)
где КОдз — количество оборотов дебиторской задолженности организации в рассматриваемом периоде;
ОР — общая сумма оборота по реализации продукции в рассматриваемом периоде;
ДЗср — средний остаток дебиторской задолженности организации (в целом или отдельных ее видов) в рассматриваемом периоде.
На третьем этапе анализа оценивается состав дебиторской задолженности организации по отдельным ее «возрастным группам», т.е. по предусмотренным срокам ее инкассации.
На четвертом этапе анализа подробно рассматривается состав просроченной дебиторской задолженности, выделяются сомнительная и безнадежная задолженность. В процессе этого анализа используются следующие показатели:
· коэффициент просроченности дебиторской задолженности:
КПдз = ДЗпр / ДЗ, (10)
где КПдз — коэффициент просроченности дебиторской задолженности;
ДЗпр — сумма дебиторской задолженности, неоплаченной в предусмотренные сроки; ДЗ — общая сумма дебиторской задолженности организации;
· средний «возраст» просроченной (сомнительной, безнадежной) дебиторской задолженности:
ВПдз = ДЗпр / Оо, (11)
где ВПдз — средний «возраст» просроченной (сомнительной, безнадежной) дебиторской задолженности;
ДЗпр — средний остаток дебиторской задолженности, неоплаченной в срок (сомнительной, безнадежной), в рассматриваемом периоде;
Оо — сумма однодневного оборота по реализации в рассматриваемом периоде.
На пятом этапе анализа определяют сумму эффекта, полученного от инвестирования средств в дебиторскую задолженность. В этих целях сумму дополнительной прибыли, полученной от увеличения объема реализации продукции за счет предоставления кредита, сопоставляют с суммой дополнительных затрат по оформлению кредита и инкассации долга, а также прямых финансовых потерь от невозврата долга покупателями (безнадежная дебиторская задолженность, списанная в связи с неплатежеспособностью покупателей и истечением сроков исковой давности). Расчет этого эффекта осуществляется по следующей формуле:
Эдз = Пдз — ТЗдз — ФПдз, (12)
где Эдз — сумма эффекта, полученного от инвестирования средств в дебиторскую задолженность по расчетам с покупателями;
Пдз — дополнительная прибыль организации, полученная от увеличения объема реализации продукции за счет предоставления кредита;
ТЗдз — текущие затраты организации, связанные с организацией кредитования покупателей и инкассацией долга;
ФПдз — сумма прямых финансовых потерь от невозврата долга покупателями.
Наряду с абсолютной суммой эффекта в процессе этого этапа анализа может быть определен и относительный показатель — коэффициент эффективности инвестирования средств в дебиторскую задолженность. Он рассчитывается по следующей формуле:
Кэдз = Эдз / ДЗрп, (13)
где КЭдз — коэффициент эффективности инвестирования средств в дебиторскую задолженность по расчетам с покупателями;
Эдз — сумма эффекта, полученного от инвестирования средств в дебиторскую задолженность по расчетам с покупателями в определенном периоде;
ДЗрп — средний остаток дебиторской задолженности по расчетам с покупателями в рассматриваемом периоде.
Результаты анализа используются в процессе последующей разработки отдельных параметров кредитной политики организации.
Формирование принципов кредитной политики по отношению к
покупателям продукции
В отличие от производственных запасов и незавершенного производства, которые не могут быть резко изменены, дебиторская задолженность представляет собой весьма вариабельный и динамичный элемент оборотных средств, существенно зависящий от принятой в организации политики в отношении покупателей продукции. Поскольку дебиторская задолженность представляет собой обездвижевание собственных оборотных средств, т.е. в принципе она не выгодна организации, то с очевидностью напрашивается вывод о ее максимально возможном сокращении. Дебиторская задолженность может быть сведена до минимума, тем не менее этого не происходит по многим причинам, в том числе и по причине конкуренции.
С позиции возмещения стоимости поставленной продукции продажа может быть осуществлена одним из трех способов:
· предоплата (товар оплачивается полностью или частично до передачи его продавцом);
· оплата за наличный расчет (товар оплачивается полностью в момент передачи товара, т.е. происходит как бы обмен товара на деньги);
· оплата в кредит (товар оплачивается через определенное время после его передачи покупателю).
Вырабатывая политику кредитования покупателей своей продукции, организация должна определиться по следующим ключевым вопросам:
· срок предоставления кредита (чаще всего в организации существует несколько типовых договоров, предусматривающих предельный срок оплаты продукции). Ключевым моментом в управлении дебиторской задолженностью является определение сроков кредита (предоставляемого покупателям) которые оказывают влияние на объемы продаж и получение денег. Например, предоставление более продолжительных сроков кредита, вероятно, увеличит объем продаж. Сроки кредита имеют прямое отношение к затратам и доходу, связанным с дебиторской задолженностью. Если сроки кредита жесткие, у компании будет меньше инвестированных денежных средств в дебиторскую задолженность и потерь от безнадежных долгов, то это может привести к снижению объемов продаж, уменьшению прибылей и негативной реакции покупателей. С другой стороны, если сроки кредита неконкретные, компания может добиться увеличения объемов продаж и большего дохода, но и рискует увеличить долю безнадежных долгов и большими затратами, связанными с тем, что малоэффективные покупатели затягивают оплату. Сроки дебиторской задолженности следует либерализовать, т.е. реализация избыточных товарно-материальных запасов или устаревшей продукции, либо товаров, которые предназначены для сезонных продаж (например, купальные костюмы). Если товар является скоропортящимся, должна использоваться краткосрочная дебиторская задолженность и по возможности практиковать оплату при поставке;
· стандарты кредитоспособности (критерии, по которым поставщик определяет финансовую состоятельность покупателя и вытекающие отсюда возможные варианты оплаты) При оценке платежеспособности потенциального покупателя следует учитывать честность покупателя, финансовую устойчивость и имущественное обеспечение. Кредитную надежность покупателя можно оценить количественными методами анализа регресса, который рассматривает изменение зависимой переменной, имеющей место при изменении независимой (информативной) переменной. Этот метод особенно полезен, когда требуется оценить большое количество некрупных покупателей;
· система создания резервов по сомнительным долгам (предполагается, что, как бы ни была отлажена система работы с дебиторами, всегда существует риск неполучения платежа, хотя бы по форс-мажорным обстоятельствам; поэтому, исходя из принципа осторожности, необходимо заранее создавать резерв на потери в связи с несостоятельностью покупателя). Следует тщательно оценивать возможные потери по безнадежным долгам, если компания продает товары многим покупателям и длительное время не меняет свою кредитную политику;
· система сбора платежей (сюда входят процедуры взаимодействия с покупателями в случае нарушения условий оплаты, совокупность показателей, свидетельствующих о существенности нарушений в оплате, система наказания недобросовестных контрагентов и др.) Следует модифицировать лимиты кредитования и ускорять востребование платежей на основании изменений финансового положения покупателя. Для этого можно удержать продукцию или приостановить оказание услуг, пока не будут произведены платежи, и потребовать имущественный залог в поддержку сомнительных счетов (стоимость имущественного залога должна равняться или превышать остаток на счете). Если необходимо, следует воспользоваться помощью агентства по сбору платежей для востребования денежных средств с не подчиняющихся покупателей.;
· система предоставляемых скидок. Для того чтобы определить, следует ли покупателю предоставлять скидку за авансовые выплаты остатков на счетах, финансовому менеджеру следует сравнить доход от денежных средств, получаемых в результате ускоренных платежей, с суммой скидки.
Как бы ни была эффективна система отбора покупателей, в ходе взаимодействия с ними не исключаются всевозможные накладки, поэтому организация вынуждена создать некоторую систему контроля за исполнением покупателями платежной дисциплины.
Определяя тип кредитной политики, следует иметь в виду, что жесткий (консервативный) ее вариант отрицательно влияет на рост объема операционной деятельности организации и формирование устойчивых коммерческих связей, в то время как мягкий (агрессивный) ее вариант может вызвать чрезмерное отвлечение финансовых средств, снизить уровень платежеспособности организации, вызвать впоследствии значительные расходы по взысканию долгов, а в конечном итоге снизить рентабельность оборотных активов и используемого капитала.
Определение возможной суммы финансовых средств, инвестируемых в дебиторскую задолженность по товарному (коммерческому) и
потребительскому кредиту
При расчете этой суммы необходимо учитывать:
· планируемые объемы реализации продукции в кредит;
· средний период предоставления отсрочки платежа по отдельным формам кредита;
· средний период просрочки платежей, исходя из сложившейся хозяйственной практики (он определяется по результатам анализа дебиторской задолженности в предшествующем периоде);
· коэффициент соотношения себестоимости и цены реализуемой в кредит продукции.
Расчет необходимой суммы финансовых средств, инвестируемых в дебиторскую задолженность, осуществляется по следующей формуле:
Идз = Орк х Кс: ц х (ППКср + ПРср ): 360, (14)
где Идз — необходимая сумма финансовых средств, инвестируемых в дебиторскую задолженность;
Орк — планируемый объем реализации продукции в кредит;
Кс: ц — коэффициент соотношения себестоимости и цены продукции, выраженный десятичной дробью;
ППКср, — средний период предоставления кредита покупателям, в днях;
ПРср — средний период просрочки платежей по предоставленному кредиту, в днях.
Если финансовые возможности организации не позволяют инвестировать расчетную сумму средств в полном объеме, то при неизменности условий кредитования должен быть соответственно скорректирован планируемый объем реализации продукции в кредит.
Формирование системы кредитных условий
В состав этих условий входят следующие элементы:
· срок предоставления кредита (кредитный период);
· размер предоставляемого кредита (кредитный лимит);
· стоимость предоставления кредита (система ценовых скидок при осуществлении немедленных расчетов за приобретенную продукцию);
· система штрафных санкций за просрочку исполнения обязательств покупателями.
Срок предоставления кредита (кредитный период) характеризует предельный период, на который покупателю предоставляется отсрочка платежа за реализованную продукцию. Увеличение срока предоставления кредита стимулирует объем реализации продукции (при прочих равных условиях), однако приводит в то же время к увеличению суммы финансовых средств, инвестируемых в дебиторскую задолженность, и увеличению продолжительности финансового и всего операционного цикла организации. Поэтому, устанавливая размер кредитного периода, необходимо оценивать его влияние на результаты хозяйственной деятельности в комплексе.
Размер предоставляемого кредита (кредитный лимит) характеризует максимальный предел суммы задолженности покупателя по предоставляемому товарному (коммерческому) или потребительскому кредиту. Он устанавливается с учетом типа осуществляемой кредитной политики (уровня приемлемого риска), планируемого объема реализации продукции на условиях отсрочки платежей, среднего объема сделок по реализации готовой продукции (при потребительском кредите — средней стоимости реализуемых в кредит товаров), финансового состояния организации — кредитора и других факторов. Кредитный лимит дифференцируется по формам предоставляемого кредита и видам реализуемой продукции.
Стоимость предоставления кредита характеризуется системой ценовых скидок при осуществлении немедленных расчетов за приобретенную продукцию. В сочетании со сроком предоставления кредита такая ценовая скидка характеризует норму процентной ставки за предоставляемый кредит, рассчитываемой для сопоставления в годовом исчислении. Алгоритм этого расчета характеризуется следующей формулой:
ПСк = ЦСн х 360 / СПк, (15)
где ПСк — годовая норма процентной ставки за предоставляемый кредит;
ЦСн — ценовая скидка, предоставляемая покупателю при осуществлении немедленного расчета за приобретенную продукцию;
в %, СПк — срок предоставления кредита (кредитный период), в днях.
Устанавливая стоимость товарного (коммерческого) или потребительского кредита, необходимо иметь в виду, что его размер не должен превышать уровень процентной ставки по краткосрочному финансовому (банковскому) кредиту. В противном случае он не будет стимулировать реализацию продукции в кредит, так как покупателю будет выгодней взять краткосрочный кредит в банке (на срок, равный кредитному периоду, установленному продавцом) и рассчитаться за приобретенную продукцию при ее покупке.
Система штрафных санкций за просрочку исполнения обязательств покупателями, формируемая в процессе разработки кредитных условий, должна предусматривать соответствующие пени, штрафы и неустойки. Размеры этих штрафных санкций должны полностью возмещать все финансовые потери организации-кредитора (потерю дохода, инфляционные потери, возмещение риска снижения уровня платежеспособности и другие).
Формирование стандартов оценки покупателей и дифференциация
условий предоставления кредита
В основе установления таких стандартов оценки покупателей лежит их кредитоспособность. Кредитоспособность покупателя характеризует систему условий, определяющих его способность привлекать кредит в разных формах и в полном объеме в предусмотренные сроки выполнять все связанные с ним финансовые обязательства.
Формирование системы стандартов оценки покупателей включает следующие основные элементы:
· определение системы характеристик, оценивающих кредитоспособность отдельных групп покупателей;
· формирование и экспертизу информационной базы проведения оценки кредитоспособности покупателей;
· выбор методов оценки отдельных характеристик кредитоспособности покупателей;
· группировку покупателей продукции по уровню кредитоспособности;
· дифференциацию кредитных условий в соответствии с уровнем кредитоспособности покупателей.
Формирование стандартов оценки покупателей и дифференциация кредитных условий осуществляются раздельно по различным формам кредита — товарному и потребительскому. Определение системы характеристик, оценивающих кредитоспособность отдельных групп покупателей, является начальным этапом построения системы стандартов их оценки.
По товарному (коммерческому) кредиту такая оценка осуществляется обычно по следующим критериям:
· объем хозяйственных операций с покупателем и стабильность их осуществления;
· репутация покупателя в деловом мире;
· платежеспособность покупателя;
· результативность хозяйственной деятельности покупателя;
· состояние конъюнктуры товарного рынка, на котором покупатель осуществляет свою операционную деятельность;
· объем и состав чистых активов, которые могут составлять обеспечение кредита при неплатежеспособности покупателя и возбуждении дела о его банкротстве.
По потребительскому кредиту оценка осуществляется обычно по следующим критериям:
· дееспособность покупателя;
· уровень доходов покупателя и регулярность их формирования;
· состав личного имущества покупателя, которое может составлять обеспечение кредита при взыскании суммы долга в судебном порядке.
Цель формирования и экспертизы информационной базы проведения оценки кредитоспособности покупателей — обеспечение ее достоверности. Информационная база, используемая для этих целей, состоит:
· из сведений, предоставляемых непосредственно покупателем (их перечень дифференцируется в разрезе форм кредита);
· из данных, формируемых из внутренних источников (если сделки с покупателем носят постоянный характер);
· из информации, формируемой из внешних источников (коммерческого банка, обслуживающего покупателя; других его партнеров по сделкам и т.п.).
Экспертиза полученной информации осуществляется путем логической ее проверки, в процессе ведения коммерческих переговоров с покупателями, путем непосредственного посещения клиента (по потребительскому кредиту) с целью проверки состояния его имущества и в других формах в соответствии с объемом кредитования. Выбор методов оценки отдельных характеристик кредитоспособности покупателей определяется содержанием оцениваемых характеристик. В этих целях при оценке отдельных характеристик кредитоспособности покупателей, рассмотренных ранее, могут быть использованы статистический, нормативный, экспертный, балльный и другие методы.
Группировка покупателей продукции по уровню кредитоспособности основывается на результатах ее оценки и предусматривает обычно выделение следующих их категорий:
· покупатели, которым кредит может быть предоставлен в максимальном объеме, т.е. на уровне установленного кредитного лимита (группа «первоклассных заемщиков»);
· покупатели, которым кредит может быть предоставлен в ограниченном объеме, определяемом уровнем допустимого риска невозврата долга;
· покупатели, которым кредит не предоставляется (при недопустимом уровне риска невозврата долга, определяемом типом избранной кредитной политики).
Дифференциация кредитных условий в соответствии с уровнем кредитоспособности покупателей наряду с размером кредитного лимита может осуществляться по таким параметрам, как:
· срок предоставления кредита;
· необходимость страхования кредита за счет покупателей;
· формы штрафных санкций и т.п.
Формирование процедуры инкассации дебиторской задолженности
В составе этой процедуры должны быть предусмотрены сроки и формы предварительного и последующего напоминаний покупателям о дате платежей, возможности и условия пролонгирования долга по предоставленному кредиту, условия возбуждения дела о банкротстве несостоятельных дебиторов.
Обеспечение использования в организации современных форм
рефинансирования дебиторской задолженности
Развитие рыночных отношений и инфраструктуры финансового рынка позволяют использовать в практике финансового менеджмента ряд новых форм управления дебиторской задолженностью — ее рефинансирование, т.е. ускоренный перевод в другие формы оборотных активов организации: денежные средства и высоколиквидные краткосрочные ценные бумаги.
Основными формами рефинансирования дебиторской задолженности, используемыми в настоящее время, являются:
· факторинг;
· учет векселей, выданных покупателями продукции;
· форфейтинг.
Построение эффективных систем контроля за движением и
своевременной инкассацией дебиторской задолженности
Такой контроль организуется в рамках построения общей системы финансового контроля в организации как самостоятельный его блок.
Одним из видов таких систем является ABC-система применительно к портфелю дебиторской задолженности организации. В группу «А» включаются при этом наиболее крупные и сомнительные виды дебиторской задолженности (так называемые проблемные кредиты); в группу «В» — кредиты средних размеров; в группу «С» — остальные виды дебиторской задолженности, не оказывающие серьезного влияния на результаты финансовой деятельности организации.
Критерием оптимальности разработанной и осуществляемой кредитной политики любого типа и по любым формам предоставляемого кредита, а соответственно и среднего размера дебиторской задолженности по расчетам с покупателями за реализуемую им продукцию, выступает следующее условие:
ДЗо —> ОПдр ≥ ОЗдз + ПСдз, (16)
где ДЗо — оптимальный размер дебиторской задолженности предприятия при нормальном его финансовом состоянии;
ОПдр — дополнительная операционная прибыль, получаемая предприятием от увеличения продажи продукции в кредит;
ОЗдз — дополнительные операционные затраты организации по обслуживанию дебиторской задолженности;
ПСдз — размер потерь средств, инвестированных в дебиторскую задолженность из-за недобросовестности (неплатежеспособности) покупателей.
Оценка реального состояния дебиторской задолженности, т. е. оценка вероятности безнадежных долгов — один из важнейших вопросов управления оборотным капиталом. Эта оценка ведется отдельно по группам дебиторской задолженности с различными сроками возникновения. Финансовый менеджер может при этом использовать накопленную на предприятии статистику, а также прибегнуть к услугам экспертов-консультантов.
3. Проблемы управления дебиторской задолженностью и пути их
решения.
3.1 Создание системы управления дебиторской задолженностью
Для управления дебиторской задолженностью компании нужна различная информация о дебиторах и их платежах. Как правило, такие сведения можно получить путем доработки системы бухгалтерского учета. Однако, прежде чем приступить к доработке системы, следует определить принципы учета и контроля дебиторской задолженности.
Проблемы управления дебиторской задолженностью, с которыми сталкиваются предприятия, достаточно типичны:
· нет достоверной информации о сроках погашения обязательств компаниями-дебиторами;
· не регламентирована работа с просроченной дебиторской задолженностью;
· отсутствуют данные о росте затрат, связанных с увеличением размера дебиторской задолженности и времени ее оборачиваемости;
· не проводится оценка кредитоспособности покупателей и эффективности коммерческого кредитования;
· функции сбора денежных средств, анализа дебиторской задолженности и принятия решения о предоставлении кредита распределены между разными подразделениями. При этом не существует регламентов взаимодействия и, как следствие, отсутствуют ответственные за каждый этап.
Рассмотрим алгоритм управления дебиторской задолженностью на примере условного предприятия ООО «Посредник»1. Эта фирма закупает крупные партии товара у поставщика на условиях предоплаты с последующей их розничной реализацией с рассрочкой платежа. Отчеты, которые позволяет сформировать система бухгалтерского учета, представлены в сводной таблице 1. Такой отчет по своему содержанию соответствует отчетам, составляемым наиболее типичными бухгалтерскими системами. Очевидно, что на основании этих данных можно определить только суммарный остаток дебиторской задолженности покупателя. Но это не дает никакой информации о том, какая часть дебиторской задолженности просрочена и когда следует ожидать поступления платежей.
Рассмотрим подробнее способы решения перечисленных проблем, а также основные элементы системы управления дебиторской задолженностью.
Таблица 1 Сводные данные по текущей задолженности ООО «Покупатель» на 12.02.09
Документы | № | Дата | Сумма, тыс. руб. |
Счета-фактуры | 103 | 25.12.08 | 100 |
109 | 27.12.08 | 600 | |
141 | 03.01.09 | 650 | |
| |||
Платежные поручения | 245 | 18.01.09 | 16 |
252 | 20.01.09 | 20 | |
265 | 22.01.09 | 50 | |
278 | 23.01.09 | 14 | |
300 | 06.01.09 | 200 | |
312 | 16.01.09 | 200 | |
321 | 22.01.09 | 100 | |
345 | 23.01.09 | 50 | |
356 | 29.01.08 | 50 | |
362 | 22.01.09 | 450 | |
370 | 30.01.09 | 150 | |
| |||
|
Построение системы учета и контроля дебиторской задолженности
Для управления дебиторской задолженностью нужна следующая информация:
· данные о выставленных дебиторам счетах, которые не оплачены на настоящий момент;
· время просрочки платежа по каждому из счетов;
· размер безнадежной и сомнительной дебиторской задолженности, оцененной на основании установленных внутрифирменных нормативов;
· кредитная история контрагента (средний период просрочки, средняя сумма кредита).
Таблица 2 Критический срок оплаты по выставленным счетам для ООО «Покупатель» на 12.02.09
№ счета-фактуры | Дата | Сумма, тыс. руб. | Дата отгрузки | Стоимость отгруженной продукции, тыс. руб. | Условия оплаты | Время в пути, дн. | Отсрочка по договору, дн. | Критический срок оплаты |
103 | 25.12.08 | 100 | 27.12.08 | 100 | От даты получения | 12 | 5 | 13.01.09 |
109 | 27.12.08 | 600 | 29.12.08 | 200 | От даты отгрузки | - | 10 | 08.01.09 |
29.12.08 | 200 | - | 15 | 13.01.09 | ||||
29.12.08 | 150 | — | 20 | 18.01.09 | ||||
29.12.08 | 50 | — | 25 | 23.01.09 | ||||
141 | 03.01.09 | 650 | 08.01.09 | 650 | От даты получения | 2 | 10 | 20.01.09 |
09.01.09 | 150 | 12 | 10 | 31.01.09 |
Таблица 3 Отчет о списании дебиторской задолженности ООО «Покупатель» на 12.02.09
Счета-фактуры выставленные | Платежные поручения полученные | Текущая задолженность на дату поступления платежа, тыс. руб. | Период просрочки, дн. | ||
№ | Критический срок оплаты по выставленному счету | Дата | Сумма, тыс. руб. | ||
103 | 13.01.09 | 18.01.09 | 16 | 100 | 5 |
20.01.09 | 20 | 84 | 7 | ||
22.01.09 | 50 | 64 | 9 | ||
23.01.09 | 14 | 14 | 10 | ||
109 | 08.01.09 | 06.01.09 | 200 | 200 | 2-1 |
13.01.09 | 16.01.09 | 200 | 200 | 3 | |
18.01.09 | 22.01.09 | 100 | 150 | 4 | |
23.01.09 | 50 | 50 | 5 | ||
23.01.09 | 29.01.08 | 50 | 50 | 6 | |
141 | 20.01.09 | 22.01.09 | 450 | 450 | 2 |
31.01.09 | 30.01.09 | 150 | 150 | -1 | |
<1> Отрицательный период просрочки означает, что платеж покупателем был осуществлен до наступления критического срока оплаты. |
Определение критического срока оплаты
Критический срок оплаты — дата, не позднее которой должен быть осуществлен платеж по предоставленному коммерческому кредиту. Для того чтобы иметь возможность контролировать критический срок оплаты, нужно учитывать продолжительность отсрочки платежа, а также дату возникновения дебиторской задолженности. Моментом возникновения дебиторской задолженности считается дата перехода права собственности на продукцию от продавца к покупателю, установленная в договоре. Это может быть дата подписания договора, отгрузки товара со склада продавца, дата поступления продукции к покупателю и т. д.
В большинстве договоров на поставку товаров с рассрочкой платежа критический срок оплаты определяется путем прибавления установленного количества дней к дате возникновения дебиторской задолженности. Для упрощения расчета критического срока оплаты можно порекомендовать выделить типичные для компании условия предоставления отсрочки платежа и реализовать возможность их учета в системе управления дебиторской задолженностью.
При этом следует отметить, что в любой компании могут возникать случаи, когда заключаются договоры, условия оплаты в которых отличаются от типовых. В этом случае очень важно не использовать в учете типовые условия, которые исказят отчетность по погашению дебиторской задолженности, а делить сумму счета, выставленного по этому договору, на такое количество составных сумм, по которому можно для каждой из них однозначно рассчитать критический срок оплаты.
Пример 2
Стандартное условие отгрузки продукции в рассрочку в компании ООО «Посредник» — оплата поставленной продукции в течение установленного в договоре количества дней от даты поступления товара на склад покупателя или от даты отгрузки товара со склада. В соответствии с типовыми условиями предоставления отсрочки платежа в системе управления дебиторской задолженностью была реализована возможность учета периода отсрочки платежа и времени нахождения товаров в пути (см. табл. 2).
На основании данных табл. 2 менеджеры по продажам, ответственные за поступление дебиторской задолженности, могут контролировать своевременность платежей и при необходимости реагировать на возникновение просроченных обязательств со стороны дебиторов.
Порядок соотнесения поступивших платежей с выставленными счетами
Усложняют управление дебиторской задолженностью случаи, когда несколько выставленных счетов погашаются одним платежным поручением или, наоборот, когда один счет погашается несколькими платежными поручениями. В этом случае не всегда ясно, за что расплатился дебитор и какой из счетов просрочен. Если в назначении платежа дебитором не указано иное, рекомендуется использовать метод ФИФО, то есть считать, что покупатели сначала погашают наиболее ранний из выставленных и неоплаченных счетов.
Пример 3
В ООО «Посредник» для контроля поступления платежей и ведения статистики средней просрочки по каждому дебитору формируется отчет о списании дебиторской задолженности (см. табл. 3). Из таблицы видно, что по счету, критический срок оплаты по которому наступает 13.01.09, покупатель осуществил оплату четырьмя платежными поручениями. При этом первый перевод денег состоялся с опозданием на пять дней, а последний платеж — на десять. Средневзвешенный период просрочки составил 8,1 дня.
При средней ставке 14% годовых (0,04% в день), по которой предприятие привлекает денежные средства, затраты, связанные с просрочкой платежа только по одному счету, составят 722 руб. (0,04% х х (100 тыс. руб. х 5 дн. + 84 тыс. руб. х 7 дн. + 64 тыс. руб. х 9 дн. + 14 тыс. руб. х 10 дн.). Если учесть тот факт, что у компании не один выставленный счет, а несколько тысяч, то затраты на обслуживание просроченной дебиторской задолженности составят существенную сумму.
Таблица 4 Реестр инкассации дебиторской задолженности на 12.02.09
№ счета-фактуры | Сумма счета-фактуры, тыс. руб. | Критический срок оплаты | Дата поступления платежа | Сумма оплаты, поступившая в период, тыс. руб. | ||
0 дн. | до 7 дн. | до 30 дн. | до 60 дн. | свыше 60 дн. | ||
ООО «Клиент» | ||||||
146 | 350 | 12.01.09 | 12.01.09 | 50 | ||
17.01.09 | 100 | |||||
18.01.09 | 50 | |||||
27.01.09 | 100 | |||||
12.02.09 | 50 | |||||
147 | 190 | 15.01.09 | 04.02.09 | 190 | ||
Итого | 540 | 50 | 150 | 290 | 50 | |
В % | 100 | 9 | 28 | 54 | 9 | |
Итого по всем дебиторам | 5500 | 2600 | 950 | 750 | 550 | 650 |
Структура дебиторской задолженности, % (коэф. инкассациии) | 100 | 47 | 17 | 14 | 10 | 12 |
Основным инструментом контроля дебиторской задолженности служит реестр старения дебиторской задолженности. Реестр старения представляет собой таблицу, содержащую неоплаченные суммы счетов, которые группируются по периодам просрочки платежа. Группировка осуществляется исходя из политики компании в области кредитования контрагентов. К примеру, менеджмент компании может считать, что просрочка платежа в течение семи дней допустима, при превышении этого срока следует активно работать с контрагентом по возврату дебиторской задолженности, а в случае просрочки более 30 дней обращаться в суд. Соответственно аналогично будут построены группы. Можно порекомендовать сравнивать средневзвешенное время просрочки и периода кредитования по дебитору и в целом по компании с аналогичными показателями предыдущих периодов. Чтобы сравнение было корректным, необходимо из расчета средневзвешенного времени просрочки платежа исключить счета, дебиторская задолженность по которым на текущий момент признана безнадежной. Если из расчета не исключить безнадежную дебиторскую задолженность, это приведет к тому, что вся безнадежная задолженность, возникшая в предыдущих периодах и не списанная компанией, будет отражена в текущем периоде, что не позволит провести корректное сравнение. Сопоставление средневзвешенного времени просрочки и кредитования текущего и отчетного периодов позволит оценить эффективность проводимой компанией политики коммерческого кредитования. Очевидно, что увеличение средневзвешенного периода просрочки в текущем периоде будет свидетельствовать о низкой эффективности работы с дебиторами, и наоборот.
Планирование поступления средств от дебиторов
Используя данные о среднем времени просрочки платежа по контрагентам и в целом по компании по уже погашенным счетам можно значительно повысить точность планирования поступления денежных средств от дебиторов. Это упрощает процедуру построения бюджета движения денежных средств в части прогнозирования поступлений денежных средств. Мы рекомендуем для прогнозирования поступления платежей от покупателей использовать коэффициенты инкассации дебиторской задолженности. Коэффициент инкассации определяется как процент от общей суммы платежа в определенный интервал времени (см. табл. 4).
Понедельный план поступления денежных средств (могут использоваться и другие интервалы времени — декады, месяцы) строится в результате умножения полученных коэффициентов инкассации на запланированный объем продаж. На основании информации о поступлении денежных средств можно достаточно точно прогнозировать кассовые разрывы и планировать привлечение дополнительного финансирования.
Пример 4
ООО «Посредник» для расчета коэффициентов инкассации формирует реестр инкассации дебиторской задолженности по каждому дебитору и по компании в целом (см. табл. 4). Как видно из табл. 4, ООО «Посредник» получает 47% платежей в качестве предоплаты, а 53% уже после отгрузки товара. Из них 17% следует ожидать в течение первой недели, 14% в течение месяца, 10% в течение двух месяцев, а по 12% оплата поступит еще позже. Допустим, за первую неделю марта ООО «Посредник» планирует реализовать продукцию на сумму 500 тыс. руб. На основании рассчитанных коэффициентов инкассации можно спрогнозировать следующие сроки поступления средств в компанию:
— предоплата — 235 тыс. руб. (47% от 500 тыс. руб.);
— до 7 дней — 85 тыс. руб. (17%);
— до 30 дней — 70 тыс. руб. (14%);
— до 60 дней — 50 тыс. руб. (10%);
— свыше 60 дней — 60 тыс. руб. (12%).
Разработка кредитной политики
Процесс управления дебиторской задолженностью невозможен без кредитной политики — свода правил, регламентирующих предоставление коммерческого кредита и порядок взыскания дебиторской задолженности. Кредитная политика принимается на год, по истечении которого уточняются цели и задачи, принятые стандарты, подходы и условия. Приведем типичную структуру этого документа:
1. Цели кредитной политики.
2. Тип кредитной политики.
3. Стандарты оценки покупателей.
4. Подразделения, задействованные в управлении дебиторской задолженностью.
5. Действия персонала.
6. Форматы документов, используемых в процессе управления дебиторской задолженностью.
Цели проводимой кредитной политики
Целями кредитной политики должны быть повышение эффективности инвестирования средств в дебиторскую задолженность, увеличение объема продаж (прибыли от продаж) и отдачи на вложенные средства.
Помимо формализации целей управления дебиторской задолженностью в кредитной политике следует определить задачи, решение которых позволит достичь целевых значений (например, выход на новые рынки сбыта, завоевание большей доли существующего рынка, формирование репутации, минимизация стоимости кредитных ресурсов). Каждая сформулированная задача должна иметь количественное измерение и сроки выполнения.
Тип кредитной политики
Принято выделять три типа кредитной политики:
· консервативная;
· умеренная;
· агрессивная.
Стандарты оценки покупателей
Покупатели, как правило, имеют различные возможности по объемам закупок, своевременности оплаты и претендуют на различные условия предоставления отсрочки платежа.
Для того чтобы дифференцировать условия коммерческого кредитования, но при этом избежать злоупотреблений со стороны менеджеров отдела продаж, необходимо разработать алгоритм оценки покупателей.
Создание алгоритма дифференциации условий предоставления отсрочки платежа предполагает выполнение ряда шагов.
1. Отбор показателей, на основании которых будет проводиться оценка кредитоспособности контрагента (своевременность погашения ранее предоставленных отсрочек платежа, прибыльность бизнеса, ликвидность, размер чистых оборотных активов и т. д.).
2. Определение принципов присвоения кредитных рейтингов клиентам компании. Рейтинг присваивается на определенный период, по истечении которого должен пересматриваться, например, раз в месяц.
3. Разработка кредитных условий для каждого кредитного рейтинга, то есть определение:
— цены реализации;
— времени отсрочки платежа;
— максимального размера коммерческого кредита;
— системы скидок и штрафов.
Таблица 5 Значения кредитных рейтингов
Платежная дисциплина | Объем поставок | ||
Просрочка оплаты, дн. | Рейтинг | Сумма реализации за год, руб. | Рейтинг |
Больше 60 | Е | Больше 1 млн | Е |
Меньше 60 | D | Больше 7 млн | D |
Меньше 30 | С | Больше 10 млн | С |
Меньше 7 | В | Больше 50 млн | В |
А | Больше 100 млн | А |
Пример 5
В качестве двух наиболее важных характеристик кредитоспособности покупателя руководство ООО «Посредник» выделяет платежную дисциплину и объем продаж (в денежном выражении) в предшествующие периоды (см. табл. 5). Сначала клиенты ранжируются по платежной дисциплине. Получившие рейтинг «D» или «E» к ранжированию по объему продаж не допускаются. Для компаний, получивших рейтинги «А», «В» и «С», рекомендованы следующие условия работы:
— рейтинг «С»: работа с такой компанией только при условии наличия залога;
— рейтинг «B»: обязательное описание в договорах системы штрафов и пеней и их строгое исполнение;
— рейтинг «А»: предоставление отсрочки платежа без использования санкций со стороны компании.
На основании рейтинга объема поставок определяется максимально допустимый объем товарного кредита и цены на реализуемую продукцию. К примеру, для компании с рейтингом объема поставок «В» размер товарного кредита не должен превышать 50 млн. руб. в год, а цена реализации устанавливается на 5% ниже базовой, для рейтинга «А» кредитный лимит не больше 100 млн. руб. в год, а цена -на 10% ниже базовой.
Подобное ранжирование удобно в повседневной деятельности для принятия оперативных решений.
При необходимости принятия стратегического решения, например при выборе из двух покупателей наиболее перспективного, следует учитывать более широкий набор факторов, чем объем закупок и платежная дисциплина. Могут использоваться такие показатели, как рентабельность продаж и перспективный объем реализации покупателю. Также немаловажно рассмотрение неколичественных характеристик: репутация клиента на рынке и существование гарантов (обеспечителей). Для проведения комплексной оценки стратегической привлекательности того или иного клиента могут использоваться балльные системы оценки перечисленных выше показателей.
Уровни ответственности
Разделы кредитной политики призваны разграничить уровни управления дебиторской задолженностью. Необходимо строго распределить ответственность за управление дебиторской задолженностью между коммерческой, финансовой и юридической службами. Нередко за продажи и взыскание задолженности отвечают разные подразделения, имеющие противоречивые задачи. К примеру, менеджер по продажам (коммерческий отдел) мотивирован продать как можно больше, а менеджер по работе с дебиторами (финансовая служба) — получить денежные средства и минимизировать уровень задолженности. Это приводит к недовольству со стороны клиентов и конфликту подразделений.
Оправданна схема распределения ответственности, при которой коммерческая служба отвечает за продажи и поступления, финансовая служба берет на себя информационную и аналитическую поддержку, а юридическая служба обеспечивает юридическое сопровождение (оформление кредитного договора, работа по взиманию задолженности через суд).
Необходимо не только распределить ответственность между подразделениями, но и описать действия всех занятых в управлении дебиторской задолженностью сотрудников.
Пример 6
Ответственность сотрудников компании ООО «Посредник» закреплена в регламенте управления дебиторской задолженностью (см. табл. 6 ).
Таблица 6 Регламент управления задолженностью в ООО «Посредник»
Этап управления дебиторской задолженностью | Процедура | Ответственное лицо (подразделение) |
Критический срок оплаты не наступил | Заключение договора | Менеджер по продажам |
Контроль отгрузки | Коммерческий директор | |
Выставление счета | Финансовая служба | |
Уведомления об отгрузке (номера вагонов, машин, даты, вес) | ||
Уведомление о сумме и расчетных сроках погашения дебиторской задолженности | ||
За 2-3 дня до наступления критического срока оплаты — звонок с напоминанием об окончании периода отсрочки, а при необходимости — сверка сумм | ||
Просрочка до 7 дней | При неоплате в срок — звонок с выяснением причин, формирование графика платежей | Менеджер по продажам |
Прекращение поставок (до оплаты) | Коммерческий директор | |
Направление предупредительного письма о начислении штрафа | Финансовая служба | |
Просрочка от 7 до 30 дней | Начисление штрафа | Финансовая служба |
Предарбитражное предупреждение | Юридический отдел | |
Ежедневные звонки с напоминанием | Менеджер по продажам | |
Переговоры с ответственными лицами | ||
Просрочка от 30 до 60 дней | Командировка ответственного менеджера, принятие всех возможных мер по досудебному урегулированию | Менеджер по продажам |
Официальная претензия (заказным письмом) | Юридический отдел | |
Просрочка более 60 дней | Подача иска в арбитражный суд | Юридический отдел |
3.2 Система мотивации персонала.
Неотъемлемой частью управления дебиторской задолженностью является также мотивация сотрудников компании, вовлеченных в процесс.
Для повышения эффективности системы мотивации, ориентированной на снижение объема просроченной дебиторской задолженности, каждый сотрудник должен быть заинтересован в достижении запланированного уровня дебиторской задолженности. Например, менеджер по продажам премируется не только за выполнение плана по продажам, но и за исполнение обязательств теми контрагентами, которым он произвел отгрузку с рассрочкой платежа. Система премий должна быть уравновешена системой наказаний (замечания, предупреждения, лишение премии, служебное расследование, увольнение сотрудника). Но штрафовать нужно не за образовавшуюся просроченную дебиторскую задолженность, а за нарушение регламента и процедур управления дебиторской задолженностью. Система мотивации персонала должна быть закреплена в нормативных документах компании в соответствии с трудовым законодательством.
К примеру, сотрудники могут лишатья бонусов за следующие действия:
· оформление заявки на отгрузку продукции при существовании распоряжения о прекращении отгрузки данному клиенту;
· ошибочное начисление процентов;
· нарушение регламента предоставления информации о существующих дебиторах;
· предоставление неверной информации;
· нарушение установленных правил документооборота и т. д.
Менеджер не может нести всю ответственность за нарушение контрагентом своих обязательств, особенно в тех случаях, когда существует кредитная комиссия, которая принимает решение о возможности предоставления рассрочки платежа.
3.3 Автоматизация управления дебиторской задолженностью
Одно из основных требований, предъявляемых к информационной системе управления дебиторской задолженностью, — способность структурировать покупателей на группы по степени надежности. Для оценки надежности того или иного дебитора необходимо изучить статистические данные, характеризующие полноту и своевременность погашения задолженности в предыдущие периоды. Информационная система, при помощи которой осуществляется управление дебиторской задолженностью, должна позволять учитывать дату признания дебиторской задолженности, условия отгрузки по каждому контрагенту, а также срок исполнения обязательств.
Современные информационные системы помимо перечисленного позволяют:
· автоматически осуществлять рассылку писем с предупреждением о сроках платежа и информацией о том, какие меры будут применены к должнику при неисполнении обязательств в срок;
· автоматически блокировать отгрузку, если превышен лимит или период просрочки исполнения обязательств по предыдущей поставке превысил допустимые значения;
· на основании договорных условий начислять пени и штрафы;
· оперативно обновлять данные о состоянии дебиторской задолженности и поступлении платежей от компаний-дебиторов.
Основная причина, по которой многие компании отказались от ведения учета и контроля дебиторской задолженности в Excel, связана с трудностью оперативного обновления данных и настройки обязательных для исполнения процедур утверждения.
Рассмотрим типовую ситуацию в торговой компании, в которой ведением платежей и выверкой балансов с покупателями занимается бухгалтерия, а отгрузками — менеджеры по продажам. Менеджерам приходится согласовывать каждую отгрузку с бухгалтерией, чтобы не допустить превышения кредитных лимитов. А бухгалтерия в свою очередь должна всегда иметь актуальные данные по задолженности клиента. Этот дополнительный этап согласования может привести к возможным человеческим ошибкам и излишнему напряжению из-за конфликта интересов. Выходом из сложившейся ситуации может стать автоматический контроль за дебиторской задолженностью в комплексной системе управления компанией. Выбирая систему для автоматизации предприятия, необходимо проверить, входят ли в ее состав стандартные инструменты управления дебиторской задолженностью, которые в дальнейшем нужно будет только настроить под конкретные требования компании. Примером таких систем являются решения для управления предприятиями среднего и малого бизнеса, предлагаемые компанией SAP.
Надо отметить, что при внедрении той или иной автоматизированной системы очень помогает наличие в ней модуля управления дебиторской задолженностью, который нужно только настроить под конкретные нужды компании. Такой подход реализован в SAP. Это экономит время и деньги.
Преимущества информационной системы по управлению
дебиторской задолженностью.
Информационная система по управлению дебиторской задолженностью — это полноценная система управления отношениями с контрагентами, которая не допускает потери средств компании, оптимизирует работу первого руководителя, замещает дорогостоящие консультации профессиональных юристов. Тем более, разработчики системы могли бы предусмотреть возможность импорта данных из распространенных информационных систем, в том числе, бухгалтерских программ, путем копирования и последующего применения в работе счетов, счетов-фактур, перечня контрагентов, договоров, заявок, сумм долга — то есть самой важной информации, необходимой в процессе управления дебиторской задолженностью. Один бухгалтер, параллельно работая с бухгалтерской программой, не обладая специальными юридическими познаниями, смог бы осуществлять основные действия по взысканию дебиторской задолженности с большого количества контрагентов.
Информационная система в первую очередь выявляет неоплаченную дебиторскую задолженность. Общеизвестно, что в потоке информации сосредотачивается внимание на наиболее крупных должниках и отодвигает на задний план «мелких» дебиторов. В свою очередь, большое количество «мелких» задолженностей зачастую составляют в общей сумме долгов значительную часть. Многие дебиторы заинтересованы отсрочить оплату на неопределенное время. Причины такого поведения могут быть абсолютно разные:
· должник может иметь намерение обеспечить себе более комфортные условия для осуществления своей деятельности, т.е. получить, по сути, беспроцентный кредит на неопределенный срок;
· должник действительно может испытывать финансовые трудности;
· политика должника, которой он придерживается при ведении бизнеса, может подразумевать то, что оплата производится только после многократного напоминания со стороны кредитора;
· должник может просто безответственно вести свои дела, постоянно терять финансовые документы, адреса и телефоны кредитора;
· должник никогда не платит добровольно.
Все вышеуказанные особенности могли бы быть учтены рассматриваемой информационной системой, ведь формализованный подход к работе с каждым контрагентом позволяет своевременно обрабатывать историю взаимоотношений с ним, устанавливать и контролировать абсолютно всех дебиторов, вне зависимости от суммы долга и от сроков платежа, контролировать сроки взыскания задолженности посредством автоматических напоминай и подготовки соответствующих документов, а значит исключить риски истечения сроков исковой давности по задолженности.
Кроме того, информационная система должна предусматривать возможность автоматического формирования необходимых для пользователя отчетов в целях принятия управленческих решений.
Например, при формировании отчета о степени надежности дебиторов, система самостоятельно могла бы «разбивать» их на несколько групп:
· проблемные дебиторы, которые не погасили задолженность в добровольном порядке, в связи с чем пользователю пришлось обратиться в арбитражный суд;
· дебиторы повышенного риска, которые погасили задолженность в добровольном порядке, но по истечению срока платежа, предусмотренного обязательством;
· надежные дебиторы, которые исполняют свои обязательства в соответствии с требованиями договора.
Анализ данной информации, предоставленный в удобной для пользователя форме, поможет организации оценить риски неплатежей со стороны определенного контрагента при заключении нового контракта и, либо отказаться от заключения сделки, либо предусмотреть повышенные гарантии исполнения обязательств:
· включить в договор условие о предоплате;
· установить высокую ставку штрафных санкций за неисполнение обязательств в сроки, предусмотренные договором;
· установить бонусы в случае досрочного исполнения обязательств со стороны контрагента;
· совместно с контрагентом разработать инструменты снижения риска неплатежа (например, обеспечить обязательство банковской гарантией);
· использовать с этим контрагентом аккредитивную форму расчетов;
· застраховать свои кредиторские риски и т.д.
Также система могла бы формировать отчет по общему количеству дебиторов, разбивая их на группы в зависимости от места осуществления их деятельности (например, количество организаций-дебиторов, находящихся в г. Тюмени или в г. Кургане). Данные отчеты представляют интерес для организаций и предприятий, располагающих многочисленными обособленными подразделениями в различных субъектах Российской Федерации.
Руководитель головного предприятия, просмотрев этот отчет и установив, что наибольшее количество дебиторов организации осуществляют свою деятельность в определенном регионе, может сделать вывод о временном прекращении обслуживания этих дебиторов, о технических или производственных проблемах, испытываемых юридическим отелом (ответственным лицом) филиала или принять иное управленческое решение в зависимости от специфики деятельности этой фирмы.
Подводя итоги вышесказанному можно сделать выводы относительного, того какие положительные результаты для любой организации предоставляет возможность использования информационной системы. Так, по моему мнению, внедрение такой системы в организации:
· не позволило бы втянуть ее в длительные судебные разбирательства;
· полностью автоматизировало бы процесс работы с дебиторами;
· существенно сократило бы «бумажные потоки» в организации;
· снизило бы риски утраты данных, содержащихся на бумажных носителях;
· обеспечило бы осуществление контроля со стороны одного сотрудника организации и за своевременностью выставления счета, и за подготовку претензии, и за оплату по ним;
· обеспечило бы своевременное принятие управленческих решений;
· создало бы условия для реализации стратегических планов компании.
Внедрение такой информационной системы в любой организации это очень простой и эффективный вариант решения проблемы по комплексному подходу к управлению дебиторской задолженностью. Утверждая подобным образом, можно исходить из того, что наверняка мы не предусмотрели всех возможностей предлагаемой информационной системы, а уровень современных технологий, профессиональных знаний и навыков предоставляет возможности для любой организации максимально усовершенствовать информационную систему по управлению дебиторской задолженностью в соответствии со спецификой хозяйственной деятельности именно этой компании.
ЗАКЛЮЧЕНИЕ
Многие российские предприятия несут серьезные риски, сталкиваясь с проблемой неплатежеспособности, ненадежности своих партнеров. Из-за роста дебиторской задолженности возникает дефицит оборотных средств, а это уже грозит платежеспособности самой компании.
Проблема неплатежей актуальна не только для России, но и для большинства зарубежных стран. Важное различие состоит лишь в том, что за границей существуют отработанные методы управления дебиторской задолженностью. Для российских же предприятий в большинстве случаев характерны неэффективное планирование необходимой величины оборотных средств, в том числе дебиторской задолженности, нерациональное их использование, а также недостатки организационной структуры компаний. Это еще раз подчеркивает необходимость управления дебиторской задолженностью.
Поэтому руководителям хозяйствующих субъектов, финансовым менеджерам приходится решать следующие задачи:
1 выбор условий продаж, обеспечивающих гарантированное поступление денежных средств;
2 ограничение приемлемого уровня дебиторской задолженности;
3 определение скидок или надбавок для различных групп покупателей;
4 ускорение истребования долгов;
5 уменьшение бюджетных долгов;
6 оценка упущенной выгоды от неиспользования средств, замороженных в дебиторской задолженности.
Эти задачи решает политика управления дебиторской задолженностью. Такая политика, как часть общей политики управления оборотными средствами, заключается в оптимизации общего размера этой задолженности и обеспечении своевременного ее взыскания.
Целью управления дебиторской задолженностью можно считать оптимизацию ее величины, поскольку на предприятие оказывает негативное влияние как увеличение размера дебиторской задолженности, так и резкое ее снижение.
Так, с одной стороны, получение платежей от должников порой является значимым источником поступления средств на предприятие, и резкое снижение дебиторской задолженности может быть негативным сигналом, свидетельствующим о снижении объема реализации (потеря покупателей продукции или о сокращении продажи в кредит). С другой стороны, предприятия не заинтересованы в росте дебиторской задолженности, так как она представляет собой отвлечение денежных средств из оборота и, как следствие, возрастает потребность в привлечении дополнительных ресурсов для своевременного погашения своих обязательств.
Дебиторской задолженностью необходимо управлять на всех этапах ведения хозяйственной деятельности начиная от проведения преддоговорных процедур до исполнения договорных операций. На всех этапах ведения хозяйственной деятельности необходимо:
· постоянно следить за соотношением дебиторской и кредиторской задолженности, так как значительный рост долга создает угрозу финансовой устойчивости предприятия;
· своевременно выявлять недопустимые виды дебиторской задолженности, к которым относятся отгруженные товары, не оплаченные в срок, поставщики и покупатели по претензиям, задолженность по расчетам возмещения материального ущерба, по статье «Прочие дебиторы»;
· прогнозировать поступление денежных средств от дебиторов на основе коэффициентов инкассации;
· оценивать реальную стоимость существующей дебиторской задолженности.
Но на практике может оказаться так, что предприятия самостоятельно не могут обеспечить возврат дебиторской задолженности или максимизировать ее, свести к минимуму возможные потери. В этих случаях могут быть приняты меры по досудебному взысканию задолженности, защита страхованием или факторинговые операции.
Сегодня финансовый кризис признали все. Из «виртуальной» для большинства из нас области фондового рынка, он перекинулся в сферу реальной экономики.
Большинство представителей бизнеса уже осознали, что ситуация изменилась, но четкого понимания того, что же будет в дальнейшем, нет. Все замерли в ожидании, заморозив крупные инвестиционные проекты и приостановив реализацию стратегий развития.
В последние годы большинство компаний и предприятий активно питались кредитами. Бизнес финансировался и рефинансировал свои долги. Однако сейчас доступ к капиталам практически прекращен и это привело к резкому увеличению дебиторской задолженности у большинства компаний. Ситуация обостряется тем, что рассчитывать компаниям в ближайшем будущем можно будет только на свои силы и средства, а вот отдавать долги надо, причем во многих случаях уже по новым ставкам и в условиях гораздо худшей рыночной коньюктуры. В связи со сложившейся ситуацией большинство компаний вынуждено изыскивать источники пополнения своих счетов путем оптимизации работы с менее ликвидными активами, т.к. необходимо не только гасить кредиты, но и поддерживать свой бизнес в рабочем состоянии. Кроме того, решение данной задачи дает возможность компаниям не только сохранить долю рынка, но и увеличивать ее за счет ухода с рынка более слабых игроков.
Одним из видов ликвидных оборотных активов является дебиторская задолженность, поэтому многие предприятия в первую очередь начали оптимизацию своей деятельности за счет повышения эффективности управления дебиторской задолженностью
В условиях финансового кризиса, затронувшего все компании, необходимо помнить, что работа с дебиторской задолженностью это лишь небольшая часть необходимых комплексных мер по выводу компании из кризиса ликвидности. Действия, которые необходимо предпринять в дальнейшем затрагивают необходимость корректировок во всех сферах: в продуктах и услугах, маркетинговом плане, плане производства, управленческо-кадровом плане и, конечно же, в финансовом планировании.
СПИСОК ИСПОЛЬЗОВАННОЙ ЛИТЕРАТУРЫ
1. Г.Б.Поляк и др. «Финансовый менеджмент», Москва, ЮНИТИ, 1997г.
2. Ковалев В.В. «Финансовый анализ», Москва, Экономика, 1998г.
3. «Финансовое управление фирмой», Москва, Экономика, 1998г.