Реферат: Высокомолекулярные соединения
Министерство образования Российской Федерации
Санкт-Петербургский Государственный Горный Институт
(Технический Университет)
Кафедра общей и физической химии.
РЕФЕРАТ
Высокомолекулярные соединения, их свойства и применение.
Выполнили:
студенты гр. ИЗ-99-1
Борисов Д.В.
Брук Б.М.
Проверил:
Григорьева Л.В.
Санкт-Петербург
2001г.
Оглавление.
1. Введение.
2. Органические и неорганические ВМС.
3. Общие свойства ВМС.
4. Молекулярный вес полимеров.
5. Дробное поведение макромолекул.
6. Геометрическая форма макромолекул.
7. Особенности реакций полимеров.
8. Полиминералогичные превращения.
9. Роль ВМС в природе.
10. Значения ВМС в технике.
11. Использованная литература.
Введение.
Среди многочисленных веществ, встречающихся в природе, резко выделяется группа соединений, отличающихся от других особыми физическими свойствами, высокой вязкостью растворов, способностью образовывать волокна, пленки и т.д. К этим веществам относятся целлюлоза, лигпин, пентозаны, крахмал, белки и нуклеиновые кислоты, широко распространенные в растительном и животном мире, где они образуются в результате жизнедеятельности организмов.
Высокомолекулярные соединения получили свое название вследствие большой величины их молекулярного веса, отличающие их от низкомолекулярных веществ, молекулярный вес которых лишь сравнительно редко достигает нескольких сотен. В настоящее время принято относить к ВМС вещества с молекулярным весом более 5000.
Молекулы ВМС называют макромолекулами, а химию ВМС – химией макромолекул и макромолекулярной химией.
В результате многочисленных соединений, осуществленных огромной армией химиков, физиков и технологов, было установлено не только строение некоторых природных ВМС, но и найдены пути синтеза их заменителей из доступных видов сырья. Возникли новые виды промышленности, началось производство синтетического каучука, искусственных синтетических волокон, пластических масс, лаков и красок, заменителей кожи и т.д. На первых парах синтетические материалы носили характер заменителей природных материалов. В настоящее время в результате успехов в химии и физике ВМС и усовершенствования технологий их производства, благодаря принципиальной возможности сочетать в одном веществе любые желаемые свойства, синтетические ВМС постепенно проникают во все области промышленности, где они становятся совершенно незаменимыми конструкционными и антикоррозийными материалами.
Органические и неорганические ВМС.
Органические ВМС являются основой живой природы входящие в состав растений, — полисахариды, лигпин, белки, пектиновые вещества – высокомолекулярны. Ценные механические свойства древесины, хлопка, льны обусловлены значительным содержанием в них высокомолекулярного полисахарида – целлюлозы. Главной составной частью картофеля, пшеницы, ржи, овса, риса, кукурузы, ячменя являются другой высокомолекулярный полисахарид – крахмал. Торф, бурый уголь, каменные угли представляют собой продукты геологического превращения растительных тканей, главным образом целлюлозы и лигнина, а также должны быть отнесены к высокомолекулярным соединениям.
В основе живого мира также лежат ВМС – белки, являющиеся главной составной частью почти всех веществ животного происхождения. Мышцы, соединительные ткани, мозг, кровь, кожа, волосы, шерсть, рог состоят в основном из высокомолекулярных белковых веществ.
Неорганические высокомолекулярные соединения играют такую же большую роль и так же распространены в минеральном мире, как органические ВМП в живой природе.
Основная часть земной коры состоит из окислов кремния, алюминия и других многовалентных элементов, соединенных, по-видимому, в макромолекулы. Наиболее распространен среди этих окислов кремниевый ангидрид [SiO2 ]n, являющийся, бесспорно, высокомолекулярным соединением. Более 50% всей массы земного шара состоит из кремниевого ангидрида, а в наружной части земной коры содержание его достигает 60%. Наиболее распространенной модификацией кремниевого ангидрида является кварц – важнейшая составная часть большинства горных пород и песка.
Общие свойства ВМС.
Для высокомолекулярных соединений характерны некоторые общие свойства, которые позволяют выделить химию высокомолекулярных соединений в самостоятельную науку. Эти свойства не могут быть описаны с помощью представлений классической химии. Для рассмотрения свойств высокомолекулярных соединений необходимо ввести принципиально новые понятия, общие для всего класса соединений.
Молекулярный вес полимеров.
Первой особенностью химии высокомолекулярных соединений является совершенно новое понятие молекулярного веса.
Для низкомолекулярных соединений величина молекулярного веса — это константа, характеризующая индивидуальность химического соединения. Изменение молекулярного веса всегда свидетельствует о переходе к другому веществу и сопровождается заметным изменением свойств. С переходом от одного представителя гомологического ряда к другому (т. е. с изменением величины молекулярного веса) физические свойства веществ изменяются настолько, что, пользуясь этим изменением, удается отделить гомологи друг от друга.
Рис. 1. Кривые распределения по молекулярным весам.
Молекулярный Вес
На рис. 1 показаны кривые распределения по молекулярному весу двух полимеров с одинаковой средней степенью полимеризации, но с различной полидисперсностью. Полимер, который характеризуется кривой 1, более однороден по молекулярному весу, чем полимер с кривой распределения 2.
Степень полидисперсности является не менее важной характеристикой полимера, чем средний молекулярный вес.
С изменением физических свойств по мере увеличения молекулярного веса непосредственно связана еще одна особенность высокомолекулярных соединений. С увеличением молекулярного веса давление паров химических соединений уменьшается и задолго до достижения значений молекулярных весов, характерных для высокомолекулярных соединений, падает практически до нуля. При нагревании высокомолекулярных соединений не наблюдается заметной летучести, а при определенной температуре наступает термическое разложение вещества с разрывом химических связей и перегруппировкой атомов. Высокомолекулярные соединения практически нелетучи и не могут быть переведены в газообразное состояние.
В отличие от низкомолекулярных соединений, для которых известны три агрегатных состояния: твердое тело, жидкость, газ, — для высокомолекулярных соединений известны только два агрегатных состояния: твердое тело, жидкость.
Дробное поведение макромолекул.
Характерной особенностью химии высокомолекулярных соединений является то, что наименьшей «частицей», участвующей в реакции или физико-химическом процессе, является не молекула, как в классической химии, а элементарное звено (при химическихреакциях) или участок цепи (при физико-химических и физико-механических процессах).
Такое поведение молекул высокомолекулярных соединений в физико-химических и физико-механических процессах связано с гибкостью макромолекул. Молекулярные цепи разных полимеров обладают различной гибкостью, которая определяется величиной потенциального барьера свободного вращения атомов относительно друг друга. Величина потенциального барьера в свою очередь зависит от химического строения полимера и характера функциональных групп, имеющихся в цепи.
Макромолекулы линейных полимеров характеризуются высокой степенью асимметрии. Поэтому отдельные участки вытянутой молекулярной цепи настолько удалены друг от друга, что взаимное влияние становится ничтожно малым. Вследствие этого некоторые участки молекулярной цепи при растворении (когда подвижность и гибкость цепи возрастает) и в процессах деформации полимеров ведут себя как кинетически самостоятельные единицы. Такие участки молекулярной цепи называют сегментами. Величина участка молекулярной цепи, проявляющего кинетическую независимость (сегмента), не является постоянной и зависит от условий, в которых находится полимер (температура и концентрация раствора, природа растворителя, температура, величина и скорость приложения нагрузки при деформации). Это приводит к появлению некоторых особенностей в свойствах растворов и в процессах деформации полимеров.
Простейшей «частицей», самостоятельно участвующей в химических реакциях, является элементарное звено макромолекулы полимера. Следовательно, реакции функциональных групп полимеров — это химические реакции элементарных звеньев.
Следует отметить, что под функциональными группами полимера обычно подразумевают функциональные группы, входящие в состав элементарных звеньев цепи. В макромолекулах большинства полимеров имеются также концевые функциональные группы, как правило отличающиеся от функциональных групп элементарных звеньев. Однако при большом молекулярном весе полимера и малом числе концевых групп реакциями концевых групп в подавляющем большинстве химических превращений полимеров можно пренебречь.
В классической химии полноту протекания химической реакции обычно характеризуют числом молей превращенного вещества или выходом продуктов реакции, причем под «молем» понимают вполне определенную величину — молекулярный вес вещества, выраженный в конкретных весовых единицах.
Иначе обстоит дело в химии высокомолекулярных соединений. Так, при этерификации поливинилового спирта один моль уксусного ангидрида расходуется на одно элементарное звено полимера, и понятие «моль» становится условным. В химии высокомолекулярных соединений молем* называют молекулярный вес элементарного звена полимера, выраженный в конкретных весовых единицах.
Соответственно полноту химической реакции характеризуют числом прореагировавших элементарных звеньев. Поскольку эти звенья находятся в одной молекулярной цепи, число элементарных звеньев, участвующих в реакции, показывает не выход конечного продукта реакции, как в реакциях низкомолекулярных соединений, а степень химического превращения высокомолекулярного соединения. К тому же исходные и конечные продукты реакции объединены в одной молекулярной цепи, что меняет представления «классической» химии о чистом веществе. Поэтому результаты химических превращений высокомолекулярных соединений приходится оценивать статистически.
В тех случаях, когда в результате реакции достигнута исчерпывающая полнота превращения всех функциональных групп, полученный продукт, согласно понятиям классической химии, все равно не является чистым веществом вследствие неоднородности полимера по молекулярному весу. Таким образом, вводятся новые понятия: однородность вещества по молекулярному весу и однородность вещества по химическому составу.
Наряду с реакциями элементарных звеньев очень важное значение имеют макромолекулярные реакции полимеров. В этих реакциях макромолекула ведет себя как единое целое и поэтому стехиометрические соотношения реагирующих веществ резко отличаются от стехиометрических соотношении веществ в реакциях элементарных звеньев полимеров.
К макромолекулярным реакциям полимеров относятся межмолекулярные реакции, в результате которых между макромолекуламиобразуются химические связи и линейные полимеры превращаются в пространственные, а также реакции химической деструкции полимеров, протекающие под влиянием химических реагентов.
В реакциях элементарных звеньев полимера, вследствие соизмеримости молекулярных весов элементарного звена и реагирующего с ним низкомолекулярного вещества, участвуют обычно соизмеримые количества полимера и низкомолекулярного соединения. При образовании же межмолекулярных связей в реакции участвует, с одной стороны, макромолекула полимера, а с другой — молекула низко* молекулярного соединения, молекулярный вес которого в сотни или тысячи раз меньше молекулярного веса полимера. Например, для образования химической связи между двумя макромолекулами полиакриловой кислоты достаточно одного атома двухвалентного металла:
При этом макромолекулы полиакриловой кислоты теряют свою кинетическую самостоятельность, полимер приобретает пространственное строение, в результате чего резко изменяются физические свойства системы.
Весовая доля низкомолекулярного вещества, участвующего в макромолекулярной реакции, ничтожно мала, так как она определяется соотношением молекулярных весов низкомолекулярного соединения и полимера. Этим обусловлена одна из важных особенностей высокомолекулярных соединений — резкое изменение свойств под влиянием малых добавок некоторых веществ.
При реакциях химической деструкции полимеров на разрыв одной связи в полимере расходуется одна молекула низкомолекулярного вещества. Например, при гидролизе полиамидов для омыления одной амидной связи требуется одна молекула воды:

Геометрическая форма макромолекул.
Третья особенность химии высокомолекулярных соединений — это резкая зависимость свойств полимеров от геометрической формы макромолекул. В химии низкомолекулярных соединений от геометрии молекулы зависят лишь свойства отдельных ее атомов. Физико-химические свойства низкомолекулярных соединений, как правило, не рассматриваются в связи с формой молекулы.
В химии высокомолекулярных соединений форма макромолекулы приобретает очень важное значение. Так, макромолекула линейного полимера в зависимости от геометрии элементарных звеньев и порядка их чередования (если они различаются по химическому составу и стереометрии) может по своей форме приближаться к жесткой палочке (полифенилены, полиацетилены), свертываться в спираль (амилоза, нуклеиновые кислоты, пептиды) или в клубок (глобулярные белки). В зависимости от формы макромолекулы линейные полимеры могут значительно различаться по свойствам. Но в то же время они имеют ряд общих свойств, характерных именно для •линейных полимеров, которые отличают их от полимеров с иной геометрической формой молекул.
Все линейные полимеры принципиально могут быть переведены в раствор. Растворы линейных полимеров даже при относительно небольших концентрациях обладают высокой вязкостью, в десятки и сотни раз превышающей вязкость соответствующих растворов низкомолекулярных соединений. Многие линейные полимеры могут плавиться без разложения, причем их расплавы также обладают очень высокой вязкостью. Линейные полимеры, отличаются хорошими физико-механическими свойствами: большой прочностью и эластичностью. Гибкость макромолекулы линейных полимеров способствует их растворению и плавлению, а способность гибкой макромолекулы изменять форму под влиянием внешних усилий обусловливает высокие эластические свойства. Значительная разрывная прочность линейных полимеров объясняется главным образом тем, что линейные макромолекулы могут достигать высокой степени ориентации относительно друг друга и иметь большую плотность упаковки, что приводит к возникновению многочисленных межмолекулярных связей свысокой суммарной энергией.
Эти особенности свойств линейных полимеров вытекают из их строения. Наличие двух типов связей (химических валентных связей и физических межмолекулярных взаимодействий), различающихся по энергетической характеристике, определяет возможность растворения и плавления линейных полимеров. Высокой степенью асимметрии макромолекул обусловлена высокая вязкость растворов и расплавов линейных полимеров.
Разветвленные полимеры также могут быть переведены в раствор, причем при одинаковом химическом составе и молекулярном весе растворимость разветвленных полимеров выше растворимости линейных полимеров.
Прочность разветвленных полимеров и вязкость их растворов зависят от степениитипа разветвления. Полимеры, имеющие относительно небольшое число боковых цепей, очень близки по свойствам к линейным полимерам. Сильноразветвленные полимеры, вследствие значительно меньшей степени асимметрия молекул, образуют растворы пониженной вязкостью. Прочность таких полимеров ниже прочности соответствующих линейных полимеров той же природы.
Сетчатые полимеры резко отличаются по свойствам от линейных и разветвленных полимеров. Они не плавятся без разложения и не могут быть переведены в раствор. Это связано с тем, что в сетчатых полимерах преобладают прочные химические связи между макромолекулами. Физические и физико-механические свойства этих полимеров зависят от числа межмолекулярных химических связей и от регулярности их расположения. С увеличением числа межмолекулярных связей твердость вещества увеличивается, повышается модуль упругости и уменьшается величина относительной деформации, т.е. свойства сетчатого (пространственного) полимера приближаются к свойствам кристалла (примером кристаллического полимера с правильной пространственной решеткой является алмаз).
Особенности реакций полимеров.
Химические превращения полимеров дают возможность создавать многочисленные новые классы высокомолекулярных соединений и в широком диапазоне изменять свойства и области применения готовых полимеров.
Лучше всего изучены химические свойства природных высокомолекулярных соединений (целлюлозы, крахмала, белков), которые были известны за много десятков лет до появления синтетических полимеров. Наибольшее внимание уделялось химическим превращениям целлюлозы, обладающей ценными техническими свойствами.и являющейся наиболее широко распространенным природным органическим полимером. Путем химических превращений целлюлозы получают ацетаты целлюлозы, применяемые для производства волокна, лаков, пленок, пластмасс; нитраты целлюлозы для производства пластмасс, пленок, лаков и бездымного пороха; многочисленные простые эфиры целлюлозы, имеющие весьма разнообразное применение для производства лаков, пленок, электроизоляционных материалов, в качестве отделочных средств в текстильной промышленности, а также присадок при бурении нефтяных скважин.
Когда появились синтетические полимеры, единственным способом изменения их состава и свойств был подбор новых исходных иономеров. Однако, как выяснилось впоследствии, некоторые полимеры нельзя получить непосредственным синтезом из низкомолекулярных соединений вследствие неустойчивости этих мономеров. Так,
например, поливиниловый спирт, используемый для производства синтетического волокна, а также в качестве эмульгатора, для шлихтовки тканей и в пищевой промышленности, не может быть получен полимеризацией мономера. Его получают омылением готового полимера — поливинилацетата. Ацеталированием поливинилового спирта получают различные поливинилацетали, используемые в производстве лаков и покрытий. Только путем взаимодействия природных и синтетических каучуков с серой и другими полифункциональными соединениями (вулканизация) могут быть получены различные сорта резины и эбонита. Дубление белков, обеспечивающее возможность их технического использования, также основано на химическом взаимодействии белков с альдегидами или другими бифункциональными соединениями. Наконец, к химическим превращениям относится направленная деструкция полимеров, часто применяемая для регулирования молекулярного веса полимеров, перерабатываемых в различных отраслях промышленности. На полном гидролизе целлюлозы основан Процесс получения гидролизного спирта. Механическая деструкция полимеров используется в промышленном масштабе для изменения физико-химических свойств полимеров, а также для синтеза новых типов сополимеров.
Несмотря на широкое промышленное использование химических превращений полимеров, до сих пор не проводилось достаточно систематических исследований их химических свойств, и в химии высокомолекулярных соединений главное внимание уделялось методам синтеза полимеров лишьв последние годы реакции высокомолекулярных соединений становятся предметом большого числа исследований, которые должны открыть новые возможности синтеза полимеров с ценными свойствами, а также помочь в выяснении механизма превращений высокомолекулярных соединений в живой природе.
Химические реакции высокомолекулярных соединений не отличаются от реакций классической органической химии, но большая величина и сложность строения макромолекул вносят в эти превращения свои особенности.
В химии высокомолекулярных соединений различают реакции звеньев полимерной цепи и макромолекулярные реакции. Реакции звеньев полимерной цепи приводят к изменению химического состава полимера без существенного изменения степени полимеризации. Такие реакции называются полимераналогичными превращениями:
Это внутримолекулярные химические превращения полимера и реакции его функциональных групп и атомов с низкомолекулярными соединениями.
Макромолекулярные реакции всегда приводят к изменению степени полимеризации, а иногда и структуры основной цепи полимера. К этим реакциям относятся реакции деструкции полимеров, сопровождающиеся уменьшением молекулярного веса, и межмолекулярные реакции, в результате которых образуются пространственные структуры и резко возрастает молекулярный вес полимера.
Особое место среди макромолекулярных реакций занимают реакции концевых групп полимеров, которые, вследствие малого числа этих групп при достаточно большом молекулярном весе полимера, практически не сказываются ни на составе и строении полимера, ни на степени его полимеризации.
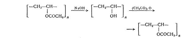
Полиминералогичные превращения.
Реакции этого типа были использованы Штаудингером для доказательства макромолекулярного строения природных, а затем и синтетических полимеров. Поливинилацетат был превращен им в поливиниловый спирт, а последний — снова в поливинилацетат:

При этом оказалось, что степень полимеризации продуктов превращения не отличается (в пределах ошибки измерения) от степени полимеризации исходных полимеров.
Нитраты целлюлозы также можно получить без деструкции макромолекулы, если нитровать целлюлозу смесью азотной и фосфорной кислот и фосфорного ангидрида при 0°С. Этот метод нитрования целлюлозы используют для последующего определения ее молекулярного веса.
При полимераналогичных превращениях реакционная способность функциональных групп и атомов не зависит от молекулярного веса полимера. Так, например, реакции щелочного гидролиза протекают практически с одинаковой скоростью и одинаковой энергией активации (28 и 27,5 ккал/моль). Константы скорости гидролиза поливинилацетата и винилацетата одинаковы и т. д.
Свойства функциональных групп при переходе от мономера к полимеру изменяются не больше, чем при переходе от одноатомных низкомолекулярных соединений к многоатомным.
Реакция дегидратации одноатомных спиртов под действием серной кислоты или ее солей является классическим методом получения простых эфиров. В образовании молекулы эфира участвуют две молекулы спирта. Реакция дегидратации гликолей в аналогичных условиях протекает в двух направлениях: с образованием линейных полигликолей или с внутримолекулярной циклизацией (если возможно образование ненапряженных пяти- или шестичленных циклов). Этиленгликоль под действием серной кислоты образует полигликоли или шестичленный циклический эфир 1, 4-диоксан:

Гликоли, у которых гидроксильные группы разделены двумя или тремя метиленовыми группами, дегидратируются с образованием пяти- или шестичленных циклических соединений с эфирной связью.

Роль ВМС в природе.
Живая природа представляет собой форму существования высокомолекулярных соединений. Она развивается в окружении и действии с неорганическим миром, построенным в основном из ВМС. Только вода и воздух распространены на земном шаре так же широко, как ВМС.
Человечество для удовлетворения своих нужд так же создает и использует высокомолекулярные материалы. По своей значимости для человечества с высокомолекулярные материалами конкурируют лишь металлы, как конструкционные материалы, топливо как источник энергии и пищевые продукты. Такое широкое распространение и необычайно высокое значение ВМС вытекает из их общих свойств, обусловленных громадной величиной и сложностью макромолекул.
Как известно из огромного опыта, накопленного химией, с увеличением молекулярного веса химических соединений подвижность молекул уменьшается. Полезно подчеркнуть, что устойчивость ВМС, особенно органических, является следствием не низкого термодинамического потенциала, а малой подвижности громоздких макромолекул и малой скорости диффузионных процессов. Всякие же физико-химические изменения тел – плавление, растворение, кристаллизация, испарение, деформация – неизбежно связаны с перемещением молекул. Для химических превращений, которые невозможны без непосредственного контакта между молекулами реагирующих веществ, тем более требуется перемещение, диффузионное проникновение одного компонента в массу другого. Естественно, что небольшие молекулы низкомолекулярных соединений, будучи значительно подвижнее макромолекул, гораздо легче подвергаются химическим и физико-химическим превращениям. Долговечность объектов живой и мертвой природы была бы ничтожной, если бы он состояли из низкомолекулярных соединений. Органические высокомолекулярные соединения легче подвергаются изменениям, чем неорганические, а поэтому развитие и эволюция живой природы протекают интенсивней развития и эволюции мертвой. Стабильность неорганических высокомолекулярных тел столь велика, что заметные изменения неживой природы требуют огромных периодов времени, составляющих геологические эры.
Благодаря большому числу атомов в макромолекуле, высокомолекулярные соединения могут иметь невообразимое число изомеров даже при простейшем элементарном составе. Так, для предельного углеводорода, содержащего 14 углеродных атомов, число только структурных изомеров равно 1558, а для углерода с 20 углеродными атомами оно достигает 366314, хотя эти углеводороды еще не являются ВМС.
Многообразие ВМС неограниченно. Отсюда вытекает еще большее многообразие явлений природы, особенно жизненных явлений, т.к. подавляющее большинство природных процессов представляют собой процессы образования, изменения и превращения высокомолекулярных тел. Характеризуя значения многообразия органических ВМС, один из создателей макромолекулярной химии – Герман Штаудингер в 1932г. указывал, что для понимания жизненных процессов биологическая химия требует бесконечного числа органических веществ, и, соответственно, бесконечного ряда возможных реакций.
Устойчивость к физико-химическим превращениям и многообразие ВМС являются теми фундаментальными принципами, которые определяют их роль и распространение в природе.
В условиях земного шара непрерывно протекают разнообразные взаимные превращения низко- и высокомолекулярных соединений. Чередование процессов образования и распада ВМС является чрезвычайно важной специфической особенностью конкретного выражения химического движения материи в температурных условиях земного шара. При более высоких температурах должны преобладать взаимные превращения атомов и простейших молекул или процессы в которых наиболее сложные частицы будут свободные атомы.
Низкомолекулярные соединения благодаря своей подвижности легко перемещаются в пространстве, быстро вступают в соприкосновение и взаимодействие друг с другом или с высокомолекулярными соединениями, образуя, видоизменяя или расщепляя последние. Они являются, таким образом, переносчиками макромолекул в природе. Сложность и малая подвижность макромолекул обусловливают длительное существование высокомолекулярных тел и их многообразие.
Конкретные пути образования, изменения и распада высокомолекулярных соединений очень сложны и специфичны. Вместе с тем в природе наблюдается поразительная воспроизводимость процессов образования и превращения сложнейших высокомолекулярных соединений, например белков.
Ответственная роль в биохимическом синтезе белков принадлежит нуклеиновым кислотам, которые определяют его специфичность. В самой структуре нуклеиновых кислот заключены основы точного их воспроизведения и направленного синтеза белковых молекул, а также передачи наследственных признаков организма. В то же время белок-фермент способствует синтезу нуклеиновых кислот, полисахаридов и других высокомолекулярных соединений. Сложный комплекс веществ — белков, нуклеиновых кислот, углеводов и регуляторов их химических превращений — ферментов, гормонов, витаминов — составляет основу жизненного цикла организма.
Значение высокомолекулярных соединений в технике.
Высокомолекулярные соединения являются основной составной частью большого числа конструкционных материалов, применение которых связано с, выполнением тех или иных механических функций. Такие материалы должны обладать высокой прочностью, эластичностью, твердостью, и в этом отношении с высокомолекулярными соединениями могут соперничать лишь металлы.
Только немногие отрасли промышленности перерабатывают высокомолекулярные природные материалы без применений каких-либо химико-технологических процессов, методами чисто механической технологии. Такова, например, деревообделочная промышленность. Гораздо многочисленнее отрасли промышленности, где при переработке природных высокомолекулярных материалов сочетаются процессы механической и химической технологии. При этом, например, в производстве хлопчатобумажных, шерстяных и льняных текстильных волокон, натурального шелка, в меховой и кожевенной промышленности преобладают процессы механической технологии, однако для выпуска готового изделия необходимы и такие важные химико-технологические процессы, как крашение волокон, тканей, меха, окраска и дубление кожи и т. д. В целлюлозно-бумажной промышленности, частично в резиновой (наоснове натурального каучука), в производстве эфироцеллюлозных и белковых пластических масс, кинопленки, искусственного волокна, наоборот, преобладают химикотехнологические процессы обработки.
Некоторые отрасли промышленности занимаются расщеплением природных высокомолекулярных веществ с целью получения ценных пищевых продуктов и технических низкомолекулярных материалов. Сюда относятся гидролизная промышленность (производство этилового спирта гидролизом древесины), крахмалопаточное, пивоваренное и другие производства, использующие процессы брожения.
С каждым годом возрастает производство синтетических полимеров, т.е. высокомолекулярных соединений, получаемых из низкомолекулярных исходных продуктов. Быстро развиваются такие отрасли промышленности, как промышленность пластических масс,
синтетических волокон, синтетического каучука, лаков (лакокрасочная промышленность) и.клеев, электроизоляционных материалов
и др. Промышленность пластических масс располагает в настоящее
время большим количеством синтетических полимерных материалов
с разнообразными свойствами. -Некоторые из них превосходят по
химической стойкости золото и платину, сохраняют свои механические свойства при охлаждении до -50°С и при нагревании до
+500°С. Другие не уступают по прочности металлам, а по твердости
приближаются к алмазу. Из синтетических полимеров получают исключительно легкие и прочные строительные материалы, прекрасную
электроизоляцию, непревзойденные материалы для химической аппаратуры. Резиновая промышленность располагает теперь материала
ми, превосходящими по многим показателям.натуральный каучук,
например газонепроницаемыми, устойчивыми к бензину и маслам, не
теряющими эластических свойств при температуре от -80°С до
+300°С. Новые синтетические волокна во много раз прочнее при
родных, из них получаются красивые, несминаемые ткани, прекрасные искусственные меха. Технические ткани из синтетических волокон пригодны для фильтрования, кислот и щелочей.
К отраслям промышленности, использующим высокомолекулярные соединения, можно также отнести стекольную, керамическую, промышленность силикатных строительных материалов. Высокомолекулярные соединения используются в ракетной технике.
Разрыв любой связи в макромолекуле полимера приводит к образованию двух кинетически самостоятельных молекул и уменьшению вдвое средней величины молекулярного веса. В этом случае весовая доля низкомолекулярного соединения, принимающего участие в реакции, также очень мала.
Использованная литература.
1. А.А. Стрепихеев – Основы химии ВМС. Изд. «Химия». М-1967г.
2. Ю.С. Липатов – Физико-химические свойства и синез ВМС. Изд. «Наукова Думка» Киев – 1976г.
3. А.М. Шур – Высокомолекулярные соединения. Изд. «Высшая Школа» М-1966г.
4. Г.Г. Элиас – Мегамолекулы. Изд. «Химия» Ленинград – 1990г.