Реферат: Разнообразие систем, формируемых дифильными веществами
Контрольная работа по химии
Разнообразие систем, формируемых дифильными веществами
2009
1. Разнообразие систем
Самоорганизация поверхностно-активных веществ в растворе приводит к возникновению различных структур; некоторые из них представлены на рис. Системы, содержащие ПАВ, удобнее классифицировать на гомогенные и гетерогенные. Однофазные системы в свою очередь можно разделить на изотропные растворы, твердые и жидкокристаллические фазы. Для твердых кристаллических фаз характерны как дальний, так и ближний порядок, однако степень ближнего порядка зависит от вида фазы. Изотропные растворы характеризуются отсутствием порядка на ближних и дальних расстояниях, в то время как в жидкокристаллических фазах нет ближнего порядка, но есть определенный порядок на больших расстояниях. И в изотропных растворах, и в жидкокристаллических фазах состояние неполярной алкильной цепи можно отнести к «жидкообразному». В кристаллах, образованных ниже «температуры плавления цепи», состояние алкильной цепи можно считать более или менее «твердообразным». Начало образования мицелл — критическая концентрация мицеллообразования.
При измерении различных физико-химических свойств водных растворов поверхностно-активного вещества или липида, наблюдается ряд особенностей, которые проиллюстрированы на рис. на примере ионного ПАВ.
При низких концентрациях большинство свойств раствора ионного ПАВ аналогично свойствам растворов простых электролитов. Можно отметить только одно исключение: поверхностное натяжение раствора быстро уменьшается с увеличением концентрации ПАВ. При некоторой более высокой концентрации, специфической для каждого ПАВ, наблюдаются необычные изменения. Например, поверхностное натяжение и осмотическое давление становятся почти постоянными, в то время как светорассеяние начинает увеличиваться, а коэффициент самодиффузии ПАВ — уменьшаться. Эти данные указывают на перестройку системы от молекулярного раствора ПАВ к системе, в которой молекулы ПАВ все в большей и большей степени оказываются в самоорганизованном состоянии. Далее мы подробно обсудим образующиеся структуры, а также механизмы, обусловливающие их возникновение. Здесь же отметим лишь две характерные особенности. Концентрация начала самоорганизации определяется достаточно четко и тем точнее, чем длиннее алкильная цепь молекулы ПАВ. Образующиеся агрегаты обычно сначала имеют сферическую форму. Эти агрегаты называют мицеллами. Концентрацию, при которой они начинают образовываться, принято называть критической концентрацией мицеллообразования. Структуру такой мицеллы иллюстрирует рис.

В результате самоассоциации ПАВ реализуется серия различных структур:
а) Сферические мицеллы, внутренняя часть которых состоит из углеводородных цепей, а на поверхности расположены полярные группы, обращенные к воде. Сферические мицеллы характеризуются низким значением числа ПАВ и большой положительной самопроизвольной кривизной. Радиус углеводородного ядра близок к длине вытянутой алкильной цепи.
б) Цилиндрические мицеллы, внутренняя часть которых образована углеводородными цепями, а поверхность — полярными группами, обращенными к воде. Поперечное сечение углеводородного ядра по величине близко к поперечному сечению сферических мицелл. Длина мицелл может существенно изменяться, поэтому цилиндрические мицеллы полидисперсны.
в) Бислои ПАВ, образующие ламелярные жидкокристаллические фазы, в системах ПАВ-вода имеют толщину углеводородных прослоек -80% от длины двух вытянутых алкильных цепей.
г) Обращенные мицеллы имеют водное ядро, окруженное полярными группами ПАВ. Алкильные цепи вместе с неполярным растворителем образует непрерывную среду. Как и обычные мицеллы, обращенные мицеллы могут превращаться в цилиндрические.
1.1 Общая классификация систем, формируемых дифильными веществами
Гомогенные системы Твердые фазы Множество разнообразных структур Жидкокристаллические фазы Ламелярные Гексагональные Обращенные гексагональные Кубические: известно несколько структур, которые можно подразделить на кубические с водной дисперсионной средой, кубические с неполярной дисперсионной средой и биконтинуальные «Промежуточные» и «деформированные» фазы, в том числе лиотропные нематические структуры Изотропные растворы Разбавленные и концентрированные мицеллярные растворы Обращенные мицеллярные растворы Микроэмульсии Везикулярные дисперсии Гетерогенные системы Эмульсии Суспензии Везикулы, липосомы Пены Адсорбционные слои и другие пленки ПАВ Гели |

Схематическое представление концентрационных зависимостей некоторых физических свойств растворов мицеллообразующих ПАВ
Критическая концентрация мицеллообразования — единственная и наиболее важная характеристика ПАВ, использующаяся при рассмотрении всех вопросов практического использования поверхностно-активных веществ. Прежде чем обсудить факторы, влияющие на ККМ, остановимся на способах измерения этой величины. Существуют два наиболее распространенных и часто применяемых метода определения ККМ: по измерениям поверхностного натяжения и солюбилизации. В случае ионных ПАВ для измерения KKM можно использовать также кондуктометрический метод. Многие физико-химические свойства чувствительны к мицеллообразованию, поэтому существует множество других возможностей для определения ККМ, например, по изучению самодиффузии, спектров ЯМР или флуоресценции. Как будет показано ниже, KKM не является точно определенной величиной, что вызывает сложности при ее измерении. KKM длинноцепочечных ПАВ измеряется достаточно точно, и в этом случае различные методы дают совпадающие результаты. Однако для ко-роткоцепочечных, слабо ассоциирующихся ПАВ это не так, и требуется большая тщательность не только при измерениях, но и при оценке KKM из экспериментальных данных.

Рис. 3. Схема сферической мицеллы, подчеркивающая жидкообразной характер неупорядоченного углеводородного ядра и шероховатость поверхности мицеллы
1.2 Зависимость KKM от строения молекул ПАВ
Значения ККМ, измеренные при 25°С для различных ПАВ, приведены в табл. 2.2, а в табл. 2.3 представлены аналогичные данные для ряда неионных ПАВ.
Из приведенных и других известных данных можно сделать несколько главных выводов о зависимости KKM от строения молекул ПАВ.
1. KKM сильно снижается с увеличением длины алкильной цепи ПАВ. Как правило, KKM снижается приблизительно в два раза для ионных ПАВ и в три раза для неионных ПАВ при увеличении алкильной цепи на одну метиленовую группу. Значения KKM для ПАВ различных классов следует сравнивать для веществ с одинаковым числом атомов углерода в алкильной цепи.
Значения KKM некоторых ПАВ

Значения KKM неионных ПАВ

2. KKM неионных ПАВ существенно ниже KKM ионных ПАВ. Соотношение этих величин зависит от длины алкильной цепи, но приблизительно разница составляет два порядка.
3. По сравнению с указанным выше основным различием ионных и неионных ПАВ влияние на KKM природы полярных групп не столь значительно. KKM катионных ПАВ всегда несколько больше, чем анионных. В случае неионных ПАВ при варьировании числа оксиэтиленовых групп наблюдается небольшое увеличение KKM при увеличении размера полярной группы.
4. Величина KKM сильно зависит от природы противоиона. Простые однозарядные неорганические противоионы не влияют на ККМ. Двухзарядные противоионы уменьшают KKM приблизительно в 4 раза. Органические противоионы снижают KKM так же, как неорганические противоионы, и тем больше, чем больше неполярная часть противоиона.
5. В случае разветвленных алкильных цепей, а также при наличии двойных связей, ароматических групп или при любом другом увеличении полярности гидрофобной части молекул наблюдается ощутимое изменение ККМ. Особенно сильное снижение KKM наблюдается при перфорировании алкильных цепей. Частичное фторирование неполярных цепей ПАВ может приводить к увеличению ККМ, например при фторировании концевой метальной группы величина KKM удваивается. Аномальное поведение частично фторированных ПАВ объясняется энергетически невыгодным взаимодействием углеводородных и фторуглеродных групп.

Таблица 2.4. KKM сильно уменьшается при увеличении длины алкильных цепей ПАВ. При этом выполняется следующее соотношение: Ig =A- Bnci где пс — число атомов углерода в алкильной цепи

Зависимость Ig KKM от числа атомов углерода в алкильной цепи ПАВ имеет линейный характер. Для неионных ПАВ, а также для ионных ПАВ в присутствии соли наклон прямых больше, нежели для ионных ПАВ без добавок электролита

Зависимость Ig KKM от числа атомов углерода в алкильной цепи октамоноалкилэфиров при различных температурах
2. Влияние температуры и растворенных веществ на KKM
В первом приближении можно считать, что KKM мало зависит от температуры. В качестве подтверждения на рис. 2.6 представлена температурная зависимость KKM додецилсульфата натрия. KKM изменяется немонотонно приблизительно на 10-20% в широком диапазоне температур. Неглубокий минимум вблизи 25°С сопоставим с аналогичным минимумом растворимости углеводородов в воде. Неионные оксиэтилированные ПАВ ведут себя по-другому. Обычно они обнаруживают монотонное, гораздо более сильное снижение KKM с увеличением температуры. Зависимость свойств НПАВ от температуры вообще отличается от аналогичных зависимостей, установленных для ПАВ других классов. Давление мало влияет на KKM вплоть до очень высоких значений.

Температурная зависимость KKM додецилсульфата натрия и пентамонодецилового эфира
Влияние растворенных веществ на KKM — это важная и обширная тема, к которой мы будем неоднократно возвращаться. Наиболее важный вопрос относится к влиянию добавок электролитов на KKM ионных ПАВ. На рис. представлены данные для простейшего, но очень важного случая введения инертного электролита в раствор одновалентного ПАВ.

Влияние добавок хлорида натрия на KKM алкилсульфатов натрия. Сплошные линии — предсказания электростатической теории, cs – концентрация соли
При этом наблюдаются следующие закономерности.
1. Введение соли приводит к сильному понижению ККМ, которое может составлять порядок величины.
2. Эффект умеренный для короткоцепочечных ПАВ и намного сильнее для длинноцепочечных ПАВ.
3. Как следствие, при высоких концентрациях соли изменение KKM с ростом числа атомов углерода в цепи проявляется сильнее, чем в отсутствие электролита. Скорость изменения KKM при высоких концентрациях соли становится подобна скорости изменения KKM для НПАВ.
4. Влияние солей можно количественно оценить с помощью простой модели электростатических взаимодействий, т. е. на основании уравнения Пуассона-Больцмана.
5. Влияние добавленной соли на величину KKM сильно зависит от величины зарядов ионов. Наиболее сильно KKM зависит от заряда вводимого противоиона.
6. Простые соли оказывают слабое влияние на KKM НПАВ; возможно незначительное уменьшение или увеличение значений ККМ.
Другие низкомолекулярные растворенные вещества вызывают изменение KKM в разной степени в зависимости от их полярности. При этом возможно как увеличение, так и уменьшение ККМ. Незначительное или умеренное повышение KKM может наблюдаться при добавлении веществ, очень хорошо растворимых в воде. Причина в том, что вода является наиболее подходящим растворителем для самоассоциации ПАВ. Более частым и интересным случаем является понижение ККМ, наблюдаемое при добавлении ряда водорастворимых незаряженных веществ. Степень понижения KKM зависит от полярности растворенного вещества, что можно убедительно показать на примере простых спиртов. Спирты менее полярны, чем вода и распределяются между объемом раствора и мицеллами. Причем чем выше сродство спирта к мицеллам, тем больше молекулы спирта их стабилизируют. С увеличением длины алкильной цепи возрастает невыгодность растворения в воде и выгодность локализации молекул спирта в мицеллах. Таким же образом действуют любые другие неионные дифильные вещества, в том числе НПАВ, приводя к понижению ККМ.
2.1 Зависимость растворимости ПАВ от температуры
Известно много важных и весьма интригующих проявлений влияния температуры на самоассоциацию ПАВ. Одно из них, имеющее огромное практическое значение, — сильная температурная зависимость растворимости ПАВ, в основном характерная для ионных ПАВ. Их растворимость при низких температурах может быть очень незначительной, но резко увеличивается в относительно узком температурном интервале. Эту закономерность обычно называют явлением Крафта, а температуру начала резкого возрастания растворимости — точкой Крафта или температурой Крафта. Температурная зависимость растворимости ПАВ в этой области показана на рис.
Добавление простых спиртов приводит к понижению KKM, причем понижение KKM практически линейно зависит от концентрации спирта. Наклон зависимостей резко увеличивается с уменьшением полярности спирта.
Точка Крафта может сильно изменяться при незначительных вариациях в строении молекулы ПАВ. Для ПАВ с алкильными цепями характерны следующие закономерности.

1. Точка Крафта возрастает с увеличением длины алкильной цепи, причем возрастание не регулярное, проявляется различие между «хвостами» с четным и нечетным числом атомов С.
2. Точка Крафта сильно зависит от природы полярной группы и противоиона. Добавление солей обычно приводит к повышению точки Крафта. В то же время многие другие растворенные вещества ее понижают. Общие закономерности, связывающие точку Крафта и природу противоиона, не установлены. Например, точка Крафта щелочных алканоатов увеличивается при уменьшении атомного номера противоиона, тогда как для щелочных сульфатов или сульфонатов наблюдается прямо противоположная зависимость. В случае катионных ПАВ точка Крафта обычно выше для бромидов, чем для хлоридов, и еще выше для иодидов. В случае двухзарядных противоинов точка Крафта обычно заметно повышается.
Эффект Крафта легко объясняется одновременным проявлением температурной зависимости молекулярной растворимости ПАВ и температурной зависимости ККМ. Как уже было сказано выше, KKM настолько слабо зависит от температуры, что в первом приближении можно считать, что она вообще не зависит от температуры. В тоже время распад мицелл на составные сольватированные ионы увеличивается с температурой, как это характерно для простых солей. Если такое растворение происходит ниже ККМ, мицеллы не образуются и общая растворимость ПАВ лимитируется низкой молекулярной растворимостью. Если же молекулярная растворимость достигает ККМ, то могут возникать мицеллы. Как мы увидим далее, характерная особенность процесса мицеллообразования состоит в том, что при увеличении концентрации мицелл практически не происходит изменения активности молекулярно растворенного ПАВ. Этот факт и высокая растворимость мицелл объясняют, почему при совсем небольшом увеличении молекулярной растворимости наблюдается резкое увеличение общей растворимости ПАВ.

Температурная зависимость растворимости ПАВ в области точки Крафта
Точка Крафта определяется соотношением энергий ПАВ в твердом кристаллическом состоянии и в мицеллярных растворах. Энергия мицеллярных растворов слабо изменяется в различных случаях, например в зависимости от природы противоиона, в то время как из-за параметров упаковки энергия кристаллического состояния может изменяться очень резко. Чтобы понять явление Крафта, необходимо разобраться в эффектах упаковки и электростатических взаимодействиях ионов в твердом теле.
Если растворимость ПАВ очень низка, то оно не будет иметь практического значения. Поскольку длинноцепочечные ПАВ обычно более эффективны, то при молекулярном дизайне поверхностно-активных веществ следует соблюдать тонкий баланс. Снизить точку Крафта обычно удается, варьируя состояние твердого ПАВ. Наряду с изменением противоиона, что не всегда возможно, следует иметь в виду особенности пространственной упаковки гидрофобных цепей. Разработка ПАВ с пониженными точками Крафта обычно основана на уменьшении выгодности упаковки цепей в твердом состоянии. Для этого используют следующие приемы:
1) введение метальных групп или других заместителей для разветвления цепей;
2) ведение двойных связей в алкильные цепи;
3) введение полярных сегментов между алкильной цепью и ионной группой.
Эти же общие принципы используют при производстве ПАВ, совместимых с жесткой водой. Контроль «плавления» цепей также очень важен для биологических систем, в частности для биомембран, и достигается регулированием ненасыщенности углеводородных цепей.
3. Движущие силы мицеллообразования и термодинамические модели
3.1 Гидрофобные взаимодействия
Уже неоднократно говорилось о дифильности как о важной характеристике ПАВ и полярных липидов. Взаимодействие воды с гидрофобными группами невыгодно. Это создает движущую силу выталкивания их из водного окружения, что может быть достигнуто в результате макроскопического разделения фаз или «маскировки» неполярных групп каким-то другим способом. Известно множество других проявлений гидрофобных эффектов и гидрофобных взаимодействий.
На молекулы углеводорода в воде действует сила, стремящаяся перенести их в углеводородную фазу или любое другое неполярное окружение. Если к углеводородной молекуле присоединить полярную группу, возникает противоположная сила, препятствующая макроскопическому разделению на фазы. Если эта сила невелика, разделение будет происходить. Если она больше гидрофобного эффекта, дифильное вещество может оставаться молекулярно растворенным или присутствовать в виде небольших агрегатов, например димеров. Самоассоциация ПАВ всегда сопряжена с балансом гидрофобных и гидрофильных взаимодействий.
Гидрофобные взаимодействия усиливаются с увеличением длины алкильной цепи алкана или гидрофобной группы ПАВ. Снижение растворимости алканов с увеличением числа атомов углерода в молекуле коррелирует с изменением KKM ПАВ.
Явления, контролируемые гидрофобными взаимодействиями, т.е. стремлением устранить контакт между водой и неполярными молекулами или неполярными поверхностями: а — вода и масло не смешиваются друг с другом, при этом возникает сильная движущая сила, выталкивающая молекулы углеводородов из воды; б — самоорганизация молекул поверхностно-активных веществ; в — другие типы ассоциации углеводородных цепей; г — фолдинг белков; д — сильная адгезия неполярных поверхностей в воде; е — несмачивание водой гидрофобных поверхностей; — быстрая коагуляция гидрофобных частиц в воде; з — прикрепление гидрофобных частиц к пузырькам воздуха.
Заметим, что мицеллообразование можно рассматривать как промежуточное явление между разделением на фазы и образованием комплексов; это проявляется и в подходах к моделированию мицеллообразования с точки зрения термодинамики. Образование мицелл обычно рассматривают в рамках одной из следующих моделей.
4. Модель фазового разделения
В этой модели образование мицелл рассматривается как процесс, аналогичный фазовому разделению, причем мицеллы являются новой фазой, а KKM — концентрацией насыщения раствора молекулярным ПАВ. Избыток ПАВ сверх ККМ, следовательно, влияет только на концентрацию мицелл. Эта модель мицеллообразования особенно удобна для интерпретации экспериментальных данных. В результате физико-химических измерений получают среднюю величину по различным состояниям, в которых могут находится молекулы ПАВ. Ниже KKM существуют только отдельные молекулы ПАВ, и среднее значение величины Q равно
![]()
Для концентраций выше ККМ, учитывая, что Cm ic = Ctot — KKM и Caq = ККМ, получим:
![]()
Для концентраций существенно выше KKM <Q> приближается к Qmc· Модель фазового разделения не вызывает трудностей при ее использовании, она наглядна и подходит для описания многих систем. Она выполняется тем
лучше, чем выше числа агрегации ПАВ в мицеллах.
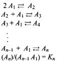
4.1 Модель, основанная на законе действующих масс
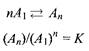
Предположим, что мицеллярный комплекс одного типа находится в равновесии с мономерной формой ПАВ А\\

К — константа равновесия. Согласно этой модели, числа агрегации можно получить из вариации Qua ^ вблизи ККМ. Причем чем более плавно происходит изменение системы, тем меньше число агрегации и тем больше для описания такой системы применима модель, основанная на законе действующих масс, а не модель фазового разделения. Зависимости доли ПАВ, входящего в состав мицелл, от общей концентрации ПАВ показаны на рис. для разных чисел агрегации.

Зависимость доли ПАВ, переходящего в мицеллы, от общей концентрации ПАВ для систем с разными числами агрегации N.
При очень больших числах агрегации N на этих зависимостях наблюдается резкий скачок, и вариация в пределе будет такой же, как предсказывается моделью фазового разделения.
В реальности мицеллы не монодисперсны, поскольку всегда есть некоторое распределение по числам агрегации и мицеллы образуются постепенно, что учитывает следующая модель мицеллообразования.
4.2 Модель множественных равновесий
Данные равновесия описывают поведение неионных ПАВ. Чтобы учесть ассоциацию противоионов с мицеллами, необходимо записать равновесия для противоинов. Вообще говоря, это не совсем правильный подход, поскольку оперирование константами равновесия подразумевает взаимодействия на малых расстояниях с образованием определенных комплексов. Распределение противоионов контролируется электростатическими взаимодействиями, действующими на больших расстояниях. Именно поэтому невозможно приписать определенные характеристики противоионам, связанным с мицеллами. В то же время это не означает, что связывание противоионов или их ассоциация с мицеллой теряет физический смысл. Таким образом, необходимо представлять ограничения соответствующих моделей при анализе данных.
