Реферат: Силикагель и его применение в высокоэффективной жидкостной хроматографии
Введение
В современной промышленности и науке особое место среди сорбентов принадлежит силикагелю, представляющему собой высушенный гель кремниевой кислоты. По масштабам применения силикагель существенно превосходит активную окись алюминия и цеолиты. Химическая инертность, высокая термостойкость, легкость регулирования пористой структуры — весь этот комплекс свойств дает возможность приготовления на основе силикагеля сорбентов, катализаторов и носителей с высокой удельной поверхностью при оптимальной пористости структуры.
Одним из важнейших направлений применения силикагеля в качестве сорбента является ВЭЖХ.
Благодаря высокому уровню развития экспериментальной техники и инструментальной оснащения современная ВЭЖХ позволяет с большой степенью надежности и воспроизводимости решать сложные аналитические задачи. Наряду с высоким качеством используемого оборудования, большое значение имеет правильный выбор системы разделения. Новое поколение сорбентов, полученных на основе высокочистого сферического силикагеля, обладающего инертной поверхностью и высокой химической стабильностью, позволяет найти оптимальные варианты выполнения аналитических задач и повысить эффективность многих методов.
В настоящее время в практике отечественной фармацевтической промышленности активно проводится внедрение международных стандартов и нормативов GMP (Good Manufacturing Practice) на технологию и качество продукции, в связи с чем существенно увеличивается потребность фармацевтической промышленности в системах аналитической и препаративной жидкостной хроматографии. Современные хроматографические системы для ВЭЖХ позволяют не только контролировать качество сырья и готовых лекарственных препаратов, они используются также в технологических процессах разделения и очистки многокомпонентных смесей широкого круга лекарственных веществ различного действия.
ВЭЖХ может в значительной мере помочь решить проблемы, накопившиеся в отечественном фармацевтическом производстве за последнее десятилетие, связанные с производством чистых субстанций. С одной стороны, метод ВЭЖХ позволят доводить до необходимых требований чистоты относительно дешевые, но зачастую некачественные субстанции, в частности, приобретаемые в странах Азии. С другой стороны, на применении промышленной ВЭЖХ базируются новые или воссоздаваемые технологии получения и выделения лекарственных веществ, в том числе синтетических и природных пептидов, геноинженерных продуктов.
На эффективность и экономичность процесса хроматографического разделения влияют такие факторы, как инертность поверхности сорбента, узость фракционного состава, форма частиц, доступные в промышленных масштабах количество и ассортимент фаз.
За последнее десятилетие произошли существенные изменения в качестве промышленных сорбентов для ВЭЖХ. Технология их получения аккумулирует все лучшее, что достигнуто в производстве сорбентов для аналитической ВЭЖХ. Сорбенты с частицами нерегулярной формы практически полностью вытеснены с рынка сферическими сорбентами на основе сверхчистого силикагеля.
Возрастающий в последние годы интерес отечественных производителей фармацевтических препаратов к современным хроматографическим методам анализа и получения высокочистых препаратов позволяет надеяться на широкое развитие и внедрение в практику производства и применения фармацевтических препаратов современных методов ВЭЖХ, как аналитических, так и промышленных. Практическое использование методов на основе ВЭЖХ для анализа и технологий очистки, несомненно, приведет к возрождению отечественного приборостроения, разработке новых сорбентов и колонн и дальнейшему развитию самого метода хроматографии.
1. Литературный обзор
1.1 Основные направления практического применения силикагеля
Одним из наиболее практически важных соединений кремния является двуокись кремния SiO2. Отличительной особенностью двуокиси кремния является склонность давать коллоидные растворы и образовывать с водой гели, называемые силикагелями.
Силикагель представляет собой высушенный гель кремниевой кислоты пористого строения с сильно развитой внутренней поверхностью. Эта особенность обуславливает ценнейшие свойства силикагеля – адсорбента, носителя каталитически активного вещества и катализатора.
Силикагель находит все более широкое применение в самых разнообразных отраслях промышленности. Ввиду гидрофильных свойств поверхности силикагеля его часто используют для осушки воздуха [1–3], углекислого газа, водорода, кислорода, азота, хлора и других промышленных газов [4].
Способность силикагеля поглощать значительные количества воды существенна также для осушки различных жидкостей, в особенности в том случае, когда обезвоживаемая жидкость плохо растворяет воду (например, сушка галогенированных жидкостей типа фреона [4]). Силикагели служат также осушителями при консервации оборудования для предохранения его от коррозии.
Наряду с водой силикагель хорошо сорбирует пары многих органических веществ. Этим его свойством пользуются для улавливания (рекуперации) паров ценных органических растворителей — бензина, бензола, эфира, ацетона и т.п. из воздуха, бензола из газовых коксовых печей и бензина из природных газов [1–4].
Свойство силикагеля поглощать многие вещества из жидкой фазы используют в промышленной очистке различных масел, а также при удалении из нефти высокополимерных смолистых веществ [3, 4].
Силикагель катализирует многие химические реакции. Он обнаруживает значительную каталитическую активность в тех случаях, когда реакция сопровождается образованием или потреблением воды, например в реакциях этерификации, превращения ароматических галоидпроизводных в соответствующие фенолы [4, 5–7] и т.д. В то же время он является распространенным катализатором многих других химических процессов, таких как полимеризация, конденсация, окисление, восстановление органических веществ и др. [8].
Силикагель является одним из распространенных носителей катализаторов и служит компонентом многих сложных контактов. Он используется как носитель самых различных каталитически активных веществ — металлов Рt, Рd, Ni и др., окислов, кислот, оснований — для процессов окисления, гидратации, гидрирования, полимеризации, конденсации и многих других реакций [7].
В последнее время силикагели широко используются как иониты для разделения радиоактивных изотопов, очистки промышленных сточных вод от ионов различных металлов и средств медицинской помощи при интоксикации радиоактивными веществами [4].
Интерес к силикагелю связан с сочетанием в нем ряда ценных качеств: высокой адсорбционной способности, избирательности адсорбционного действия, способности подвергаться многократной регенерации без потери адсорбционной активности, относительно большой прочности зерен, термостойкости, возможности получения его в гранулированном и порошкообразном состоянии и др.
Важнейшим преимуществом силикагеля по сравнению с природными пористыми материалами (пемза, асбест) является возможность изменения его структуры в процессе формирования. Это обстоятельство является особенно важным потому, что степень и характер пористости силикагеля обусловливают эффективность его применения в различных процессах. При данной пористой структуре адсорбционная активность определяется концентрацией адсорбируемого вещества и размером его молекул.
Эффективность процессов адсорбции и катализа зависит от рационального выбора пористой структуры силикагеля, которая определяется условиями его приготовления [4].
1.2 Генезис и строение силикагелей
Процесс приготовления стекловидного силикагеля состоит из получения золя кремневой кислоты и застудневания его, созревания, синерезиса, промывки и сушки геля.
Золь кремневой кислоты получают различными способами: взаимодействием щелочного силиката с кислотами или кислыми солями [4, 8]; гидролизом четыреххлористого кремния; омылением метилового или этилового эфиров кремневой кислоты; окислением силана SiH4 озоном в водном растворе; электролизом щелочных силикатов; пропусканием водного раствора силиката натрия через колонку, заполненную катионитом в водородной форме [4]. Все эти методы, за исключением первого, применяются, главным образом, в лабораторных условиях. Мировая промышленность в основном изготовляет силикагель из растворимого стекла действием на него серной кислоты. Получение кремневой кислоты по этому методу схематически изображается реакцией
Na2 SiO3 + Н2 SO4 → Na2 SO4 + Н2 SiO3 ↓
Первой стадией процесса, независимо от способа приготовления, является образование истинно растворенной кремниевой кислоты SiO2 [4, 8]. Затем простые кремниевые кислоты конденсируются до поликремневых кислот, молекулярный вес которых постепенно увеличивается. Развитие процесса полимеризации приводит к образованию коллоидного раствора (золя) [10, 11]. Общее уравнение процесса полимеризации представляется следующим образом:
n Si(ОН)4 → (SiO2 )n + 2n Н2 O.

Рисунок 1.1. Схематическое строение глобул скелета силикагеля
Частицы золя шаровидны, состоят из неправильно упакованных кремнекислородных тетраэдров, поверхностный слой которых заканчивается гидроксилами. Схематически строение такой частицы представлено на рис. 1.1 [4].
Золь не представляет собой истинно равновесной системы, а ее стремление к уменьшению свободной энергии проявляется в самопроизвольном переходе золя в студень. Гидрогель с течением времени также претерпевает изменения в результате тех же конденсационных процессов, которые приводят к дальнейшему укрупнению и срастанию первичных частиц.
Скорость застудневания зависит от целого ряда факторов и, в первую очередь, от концентрации SiO2 в золе, температуры, рН среды и природы минеральной кислоты.
Механизм гелеобразования кремниевой кислоты процесса полностью еще не выяснен. Наибольшее распространение и признание получила мицеллярная или фибриллярная теория [4], по которой гель образуется в результате последовательной химической конденсации низкомолекулярных кремниевых кислот, сопровождающейся выделением воды. Цепи конденсированных поликремниевых кислот, в свою очередь, соединяются между собой перекрестными связями, образуя эластичную структуру, способную, благодаря капиллярным силам, удерживать большое количество воды или разбавленного раствора силиката. По этой гипотезе структурной основой всей гелеобразной системы являются частицы высокополимера, взаимно связанные между собой.
Конденсационный механизм гелеобразования лучше других объясняет такие свойства коллоидной кремнекислоты, как нечувствительность золя к малым добавкам солей, влияние концентрации водородных ионов на скорость застудневания, необратимость геля, эластичность и др. [4, 8].
Процесс получения геля может быть изображен следующей схемой [4]:
![]()
Si(OH)4полимеризация коллоидные частицы (золь) агрегация сетка частиц (гель)
На первом этапе молекулы Si(ОН)4 конденсируются до размеров коллоидных частиц с образованием связей.
На втором этапе такая же конденсация между первичными частицами ведет к образованию геля. Различие между этими стадиями заключается в том, что на первой из них конденсация приводит к сплошным массивным частицам кремнезема, а на второй они смыкаются только в отдельных местах. При этом получается очень открытый, но непрерывный скелет, распространяющийся по всей среде и поэтому придающий всей системе некоторую степень твердости.
Особый интерес для теории формирования пористой структуры силикагеля представляет гипотеза Планка [4]. Как и многие другие исследователи, Планк предполагает, что в основе гелеобразования кремниевой кислот лежит реакция конденсации с образованием кислородных мостиков между атомами кремния. Однако этой реакции предшествует промежуточная стадия образования водородных связей. Картина гелеобразования с такой точки зрения представляется следующим образом. На первой стадии образуются мицеллы (первичные частицы сферической формы), состоящие из коротких цепей SiO2, соединенных между собой в трехмерную пространственную сеть. При этом предполагается, что связи, соединяющие короткие цепи в мицелле, представляют собой водородные связи (нитрамицеллярные связи):
Мицеллы соединяются в цепи во время коагуляции посредством водородных связей через молекулы воды, образуя структуру (интермицеллярные связи):
![]() |
Влияя на прочность обоих видов связей на стадиях застудневания, синерезиса и промывки гидрогеля, можно управлять размерами первичных частиц и мицеллярных цепей и, следовательно, структурой силикагеля. Так, любой фактор, вызывающий разрыв водородных связей между мицеллами (пептизация интермицеллярных связей), приводит к образованию коротких мицеллярных цепей. В результате они ориентируются в более плотную упаковку, и получается мелкопористый силикагель. В том же направлении влияет пептизация интрамицеллярных связей, приводя к уменьшению размеров частиц. Таким образом, Планк и Дрейк [4] пришли к заключению, что пористая структура силикагеля определяется размерами и плотностью упаковки составляющих гель частиц.
Обобщая изложенное, основные положения корпускулярной теории строения силикагеля можно сформулировать следующим образом:
— полимеры, вырастающие при конденсации кремневой кислоты в виде цепочек и сеток кремнекислородных тетраэдров, срастаются в частицы шаровидной формы;
— эти частицы не теряют своей индивидуальности на стадиях превращения золь — гель — силикагель;
— силикагели представляют собой систему соприкасающихся шаровидных частиц, размеры и плотность упаковки которых зависят от способа приготовления;
— пористость определяется размерами и плотностью упаковки составляющих силикагель частиц.
Геометрическая структура силикагеля не является единственным фактором, определяющим его адсорбционную активность. При этом важную роль играет химическая природа его поверхности, которую можно варьировать термической дегидратацией, проведением на поверхности силикагеля самых различных реакций, дающих новые соединения. К таким реакциям относятся алкоксилирование, хлорирование, взаимодействие поверхности силикагеля с алкил- и арилхлорсиланами и т.д.
Придание силикагелю специфичности в отношении адсорбции тех или иных веществ значительно расширяет области его применения. В связи с этим перспективным является химическое модифицирование силикагелей органическими радикалами с различными функциональными группами.
1.3 Химически модифицированные силикагели
Адсорбционные свойства силикагелей наряду с геометрией структуры и пористостью в значительной степени зависят от химической природы их поверхности.
Поверхность силикагелей покрыта гидроксильными группами. Адсорбционные и другие свойства силикагелей зависят от количества и концентрации на их поверхности гидроксильных групп. Изменение химической природы поверхности силикагелей в результате термической дегидратации, регидратации или вследствие замещения гидроксилов на различные атомы или органические радикалы вызывает резкое изменение адсорбционных и технологических свойств силикагеля.
В связи с тем, что электронная d -оболочка кремния не заполнена, распределение электронной плотности в гидроксильных группах поверхности силикагеля таково, что в них отрицательный заряд сильно смещен к атому кислорода, а атом водорода частично протонизирован, образуя протонный кислотный центр [12]. Это обеспечивает специфическое взаимодействие поверхности силикагеля со связями или звеньями молекул, обладающих сосредоточенной на периферии электронной плотностью [12]. Поэтому естественно, что при частичном или полном замещении гидроксильных групп силикагеля атомами фтора или органическими радикалами, благодаря выключению из адсорбционного процесса всех или части гидроксилов, наблюдается уменьшение адсорбции веществ, у которых в адсорбционном взаимодействии играет роль донорно-акцепторная компонента.
Модифицирование поверхности силикагелей органическими радикалами с четко выраженными основными или кислотными свойствами приводит к получению специфических адсорбентов, избирательно поглощающих вещества кислотного или основного характера, для которых такие радикалы являются активными центрами адсорбции. Характер адсорбционных свойств модифицированных силикагелей с функциональными группами определяется как размерами радикалов, так и его химическими свойствами.
Одним из направлений применения химически модифицированных силикагелей в химическом анализе является ВЭЖХ.
1.4 Использование сорбентов на основе силикагеля в хроматографических методах анализа
Хроматография — это метод разделения компонентов смеси, основанный на различии в равновесном распределении их между двумя несмешивающимися фазами, одна из которых неподвижна, а другая подвижна. Чем сильнее сродство компонента к неподвижной фазе, тем сильнее он сорбируется и дольше задерживается на сорбенте; тем медленнее его продвижение вместе с подвижной фазой. Поскольку компоненты смеси обладают разным сродством к сорбенту, при перемещении смеси вдоль сорбента произойдет разделение: одни компоненты задержатся в начале пути, другие продвинутся дальше. В хроматографическом процессе сочетаются термодинамический (установление равновесия между фазами) и кинетический (движение компонентов с разной скоростью) аспекты.
Различные методы хроматографии можно классифицировать по агрегатному состоянию фаз, механизму разделения, аппаратурному оформлению процесса (по форме) и по способу перемещения подвижной фазы и хроматографируемой смеси [13].
По агрегатному состоянию фаз различают жидкостную и газовую хроматографию.
По технике выполнения хроматографию подразделяют на колоночную (разделение веществ проводится в специальных колонках) и плоскостную: тонкослойную и бумажную. В тонкослойной хроматографии разделение проводится в тонком слое сорбента, в бумажной — на специальной бумаге.
Хроматография как метод была открыта в 1903 г. русским ученым-ботаником М.С. Цветом, который использовал для разделения растительных пигментов на их составляющие колонки, заполненные порошком мела [14]. При вымывании пигментов петролейным эфиром они перемещались вдоль колонки, разделяясь при этом на кольца разного цвета. Метод оказался очень удобным и был позднее назван Цветом хроматографией (цветописью).
Отправной точкой бурного развития многих методов хроматографического анализа является работа лауреатов Нобелевской премии A. Мартина и Р. Синджа. Ими был предложен и разработан метод распределительной хроматографии (1941 г.). В 1952 г. А. Мартином и Л. Джеймсом были получены первые результаты в области газожидкостной хроматографии. Эти работы вызвали огромное число исследований, направленных на развитие метода газовой хроматографии.
За короткое время были усовершенствованы конструкции систем ввода проб, созданы чувствительные детекторы. Метод газовой хроматографии — первый из хроматографических методов, получивших инструментальное обеспечение. Если в 50-е и 60-е годы методы хроматографии в тонких слоях (бумажная и тонкослойная) в значительной мере заменили колоночную как более быстрые, удобные и простые, то 70-е годы характеризуются гигантским прогрессом именно высокоэффективной (инструментальной) жидкостной хроматографии, где для ускорения процесса хроматографирование проводят под давлением.
ВЭЖХ в настоящее время не только в большой мере вытеснила классическую колоночную, бумажную и тонкослойную хроматографию (далее по тексту ТСХ), но и обогнала газовую хроматографию по темпам развития. Быстрый рост применения ВЭЖХ связан с освоением и серийным выпуском как отдельных узлов (насосов, инжекторов, детекторов), так и комплектных жидкостных хроматографов. Немалую роль сыграли также разработка теоретических основ ВЭЖХ, организация выпуска высокочистых растворителей и химикатов для ВЭЖХ. Особенно следует отметить организацию выпуска узкодисперсных сорбентов зернением от 3 до 10 мкм на основе силикагеля, в том числе и с химически привитыми неподвижными фазами, и разработку способов заполнения ими высокоэффективных колонок для ВЭЖХ [15].
Причин быстрого развития ВЭЖХ несколько. Прежде всего, следует назвать большой диапазон молекулярных масс веществ, с которыми можно работать: от нескольких единиц до десятков миллионов, что существенно шире, чем в газовой хроматографии. Кроме того, мягкость условий ВЭЖХ (почти все разделения можно проводить при температурах, близких к комнатной, при отсутствии контакта с воздухом) делает ее особенно пригодным, а зачастую единственным методом исследования лабильных соединений, в частности, биологически активных веществ и биополимеров [17].
Среди разнообразных методов анализа ВЭЖХ отличается самой высокой степенью информативности благодаря одновременной реализации функций разделения, идентификации и определения; избирательностью; низким пределом обнаружения, а также возможностью автоматизации и компьютеризации процесса разделения, обнаружения и количественного определения. Хроматографический метод анализа универсален и применим к разнообразным объектам исследования (нефть, лекарственные препараты, вещества растительного и животного происхождения, биологические жидкости, пищевые продукты и др.) [17].
По механизму разделения анализируемых или разделяемых веществ ВЭЖХ делится на: адсорбционную; распределительную; ионообменную; эксклюзионную [17].
В адсорбционной хроматографии разделение веществ, входящих в смесь и движущихся по колонке в потоке растворителя, происходит за счет их различной способности адсорбироваться и десорбироваться на поверхности адсорбента с развитой поверхностью [17, 18].
В распределительной ВЭЖХ разделение происходит за счет разной растворимости разделяемых веществ в неподвижной фазе, как правило, химически привитой (модифицированной) к поверхности неподвижного носителя, и подвижной фазе растворителе. Этот метод разделения наиболее популярен, особенно в случае, когда привитая фаза представляет собой неполярный алкильный остаток от C8 до C18, а подвижная фаза более полярна, например смесь метанола или ацетонитрила с водой. Этим вариантом, так называемой обращенно-фазной (или обратно-фазной, или с обращением фаз) хроматографии в настоящее время проводят около двух третей разделений в ВЭЖХ. Термин «обращенно-фазная ВЭЖХ» произошел от обратного, по сравнению с таковым в классическом адсорбционном варианте, соотношения полярности сорбента и растворителя: полярный сорбент и неполярная подвижная фаза для адсорбционной и, наоборот, неполярный сорбент и полярная подвижная фаза для обращенно-фазного варианта распределительной хроматографии [17].
В ионообменной хроматографии молекулы веществ смеси, диссоциировавшие на катионы и анионы в растворе, разделяются при движении через сорбент, на поверхности которого привиты катионные или анионные центры, способные к обмену с ионами анализируемых веществ за счет их разной скорости обмена [19].
В эксклюзионной (ситовой, гель-проникающей, гель-фильтрационной) хроматографии молекулы веществ разделяются по размеру за счет их разной способности проникать в поры носителя. При этом первыми выходят из колонки наиболее крупные молекулы (наибольшей молекулярной массы), способные проникать в минимальное число пор носителя. Последними выходят вещества с малыми размерами молекул, свободно проникающие в поры сорбента [17].
Большинство проводимых методом ВЭЖХ разделений основано на смешанном механизме взаимодействия веществ с сорбентом, обеспечивающим большее или меньшее удерживание компонентов в колонке.
Сорбенты, используемые для ВЭЖХ, делят на несколько групп, каждая из которых, в свою очередь, подразделяется на типы. Общепринятым является разделение сорбентов на группы по химической природе матрицы (основы) сорбента, а по типам — по методу химической обработки матрицы, делающей ее пригодной для использования в определенном виде хроматографии.
Основными группами сорбентов являются: 1) поверхностно-пористые сорбенты, представляющие собой непроницаемое для растворителя твердое ядро из стекла, на поверхность которого занесен тонкий слой пористого абсорбента, обычно силикагеля; 2) пористые сорбенты на основе силикагеля; 3) пористые сорбенты на основе оксида алюминия; 4) пористые сорбенты на полимерной основе.
Сорбенты первой группы были исторически первыми, стимулировавшими быстрый рост ВЭЖХ. Они представляют собой стеклянные микрошарики размером 35-50 мкм, на поверхности которых различными способами закрепляется слой силикагеля или оксида алюминия толщиной в 1-2 мкм. Наряду с достоинствами поверхностно-пористых сорбентов (возможность упаковки в колонки сухим способом, легкость фракционирования, широкий ассортимент привитых и нанесенных фаз) обнаружились их серьезные недостатки. Главными следует считать малую емкость по пробе, связанную с малой поверхностью сорбента в колонке (основной объем сорбента занимает непористое ядро, не участвующее в разделении), большое гидравлическое сопротивление длинных колонок, их малую производительность, сложную технологию получения сорбентов и их высокую цену, недостаточную эффективность колонок и длительность анализа [15].
В настоящее время поверхностно-пористые сорбенты практически не используют для аналитической работы. Единственная область применения, которая для них сейчас осталась, это использование в предколонках. Предколонки устанавливают перед аналитической колонкой для улавливания необратимо сорбируемых загрязнений из проб.
Дальнейшее быстрое развитие ВЭЖХ базировалось на новом поколении сорбентов: микрочастицах диаметром от 3 до 10 мкм, главным образом на основе силикагеля, частично оксида алюминия, а в последнее время на основе пористых полимеров.
Силикагель всегда содержит большие, или меньшие количества адсорбированной воды. Кроме того, технический силикагель содержит другие оксиды, прежде всего оксид алюминия, также железа, который придает техническому силикагелю желтоватый или даже коричневый цвет. Силикагель имеет разную поверхность, составляющую обычно 100-600 м2 /г, и значительный объем пор (0,5-1,2 мл/г) с преобладанием пор диаметром от 5 до 15 нм.
Силикагель получают разными способами, позволяющими варьировать его чистоту и другие свойства. Наиболее общим является метод получения силикагеля из так называемого жидкого стекла, представляющего собой натриевую соль поликремневой кислоты, путем его обработки кислотами с последующим высушиванием образующейся поликремневой кислоты, разлом получающегося кускового силикагеля и выделением нужной фракции рассеиванием. Такой метод был исторически первым, использовавшимся для получения силикагеля, применяемого в колоночной (классической) и тонкослойной хроматографии. На базе такого же силикагеля были получены первые сорбенты специально для ВЭЖХ типа партисил (фирма «Ватман») и лихросорб (фирма «Мерк»). Получали их путем сепарирования на специально разработанных воздушных сепараторах силикагеля для ТСХ [17].
В дальнейшем были разработаны способы получения силикагелей специально для ВЭЖХ путем направленного формования в процессе синтеза силикагеля микросфер нужной фракции с преобладанием частиц размером 3-12 мкм (фирмы Дюпон», «Мерк», «Мэчери-Нэгель», «Фейз Сепарейшн», «Сепарейшенс Груп», «Шендон Саусерн» и др.) под торговыми марками соответственно зорбакс, лихросфер, нуклеосил, сферисорб, видак, хайперсил. Стадии формирования силикагеля торговой марки зорбакс представлены на рис. 1.2 [15].

Рисунок 1.2. Стадии формирования сорбента Zorbax-Rx-SIL
В настоящее время разные фирмы производят более 200 сорбентов для ВЭЖХ на основе силикагеля, как с неправильной формой частиц, так и в виде микросфер. Ассортимент их непрерывно расширяется за счет появления новых привитых фаз к известным силикагелям для ВЭЖХ или же новых вариантов прививки тех же фаз, появления новых силикагелевых матриц с более широкими порами или более узко сепарированных, появления новых фирм-производителей [15, 17].
Химия поверхности силикагеля для ВЭЖХ независимо от способа его получения примерно одна и та же. На рис. 1.3 [17] схематически представлен поверхностный слой силикагеля, который в дальнейшем работает как адсорбент или же служит той матрицей, к которой прививают химически неподвижную фазу. На поверхности силикагеля можно обнаружить несколько видов групп, способных к взаимодействию с веществами в процессе последующего хроматографического анализа или в процессе прививки неподвижной фазы. Прежде всего, это может быть силанольная группа со свободным гидроксилом (тип I). Во-вторых, это может быть силанольная группа, свободный гидроксил которой образует с соседним атомом кислорода за счет его неподеленной пары электронов водородную связь (тип II), при этом образуется устойчивый шестичленный цикл. В-третьих, это может быть силоксановый мостик, который образуется за счет отщепления молекулы воды от двух силанольных групп (тип III). Последний тип связи может за счет обратимой реакции гидролиза превратиться в две силанольные группы (тип I).

Рисунок 1.3. Группы на поверхности силикагеля: I – свободная силанольная; II – силанольная, связанная водородной связью; III – силоксановая
Количество групп как силанольных, так и силоксановых на единицу массы силикагеля зависит от ряда факторов. Так, чем больше удельная поверхность силикагеля (она меняется в пределах от 1000 до 15 м2 /г), тем больше групп обоих типов находится на сорбенте в колонке и, следовательно, сильнее удерживание взаимодействующих с ними веществ [17].
Соотношение силоксановых и силанольных групп на поверхности силикагеля зависит от длительности и условий сушки в процессе его получения. При сушке геля поликремневой кислоты исходного продукта для силикагеля сначала идет поликонденсация с выделением воды и образованием жесткого скелета силикагеля. При нагревании до 200°С вся физически сорбированная вода удаляется, а поверхность остается полностью гидроксилированной, т.е. количество силанольных групп будет максимальным, а силоксановых минимальным [15, 17]. Если продолжить нагревание, силанольные группы начнут отщеплять воду с образованием силоксановых групп; этот процесс заканчивается примерно при 1000°С.
Силанольные группы, располагающиеся на поверхности силикагеля, обладают слабокислыми свойствами и способны, поэтому сильнее удерживать вещества с основными свойствами. Силоксановые группы могут в процессе работы за счет гидролиза переходить в силанольные, что меняет свойства поверхности сорбента и удерживание веществ [15, 17].
Поверхность и структура применяемого для хроматографии оксида алюминия похожи на силикагелeвые, однако не идентичны и обеспечивают в ряде случаев селективность, отличающуюся от селективности силикагеля. Однако применение оксида алюминия в ВЭЖХ имеет ограниченный характер. Это связано с тем, что микрочастицы оксида алюминия выпускают не все фирмы-производители сорбентов, а привитые фазы на этой основе не выпускаются совсем. Тем не менее, в некоторых случаях, когда требуется селективность, отличная от селективности силикагеля, оксид алюминия применяют [17].
Сорбенты с химически привитыми фазами на основе силикагеля появились позже сорбентов, на которые неподвижная фаза (в виде индивидуальных веществ или, чаще, полимеров различной структуры и полярности) наносилась физически. Нанесенная фаза довольно быстро смывается растворителем (гораздо быстрее, чем она испаряется или изменяется в газожидкостной хроматографии), параметры удерживания постоянно меняются, препаративно собираемые фракции загрязняются фазой. Использование растворителя, насыщенного неподвижной фазой, позволило несколько повысить стабильность таких сорбентов и колонок, однако большинство недостатков при этом осталось.
Эти проблемы можно решить, если химически привить органическую неподвижную фазу к силикагелевой матрице. Силанольные группы, находящиеся в большом количестве на поверхности силикагеля (особенно полностью гидроксилированного), обладают слабокислыми свойствами и довольно легко вступают в многочисленные реакции. Первые из полученных таким путем привитофазных сорбентов, названных «щеточные» (привитые молекулы, как щетина в щетке, покрывали поверхность силикагеля), изготовляли этерификацией силанолов спиртами с образованием простой эфирной связи. Однако, обратимость реакции, особенно в кислой и щелочной средах и в присутствии водных подвижных фаз, в большой мере ограничивала, как срок работы таких сорбентов, так и области их применения. Позднее были разработаны методы получения привитых фаз разного типа с использованием гораздо более прочных и устойчивых к гидролизу связей Si-О–Si и Si-С. Практически все имеющиеся в продаже привитофазные сорбенты относятся к этому типу, их более 200 [15, 17].
Привито-фазные сорбенты сейчас наиболее популярны, несмотря на их высокую стоимость. Более 60% разделений методом ВЭЖХ выполняют с использованием только обращенно-фазных привитых сорбентов, основным из которых является сорбент с привитой фазой C18 .
Можно отметить следующие преимущества, обеспечивающие преобладающее использование привитых сорбентов на основе силикагеля: механическая устойчивость к высоким давлениям; отсутствие перехода привитой фазы в растворитель в процессе хроматографического разделения (если не протекают реакции, приводящие к химическому отщеплению привитой фазы); устойчивость к действию растворителей, температуры, воды, рН; возможность варьировать в широких пределах селективность за счет изменения степени прививки, дополнительной химической обработки и замены растворителя.
2. Экспериментальная часть
2.1 Выбор и описание метода проведения эксперимента
Целью курсовой работы является экспериментальное исследование зависимости свойств сорбентов на основе силикагеля от пористости структуры и химической природы поверхности («привитой фазы») методом обращено-фазной высокоэффективной жидкостной хроматографии (далее по тексту ОФ ВЭЖХ).
ОФ ВЭЖХ — вариант распределительной хроматографии, в котором используют сорбент с привитыми неполярными (как правило, длинными алкильными или алкилсилильными) группами и полярный растворитель.
При проведении анализов методом ОФ ВЭЖХ хроматографическую колонку промывают подвижной фазой, обладающей меньшей сорбируемостью, чем любое из разделяемых веществ. При этом подвижную фазу, вводимую в слой неподвижной фазы, называют элюентом, а подвижную фазу, выходящую из колонки и содержащую разделенные компоненты, — элюатом. После промывания в колонку вводят разделяемые вещества, растворенные в элюенте, и продолжают непрерывно пропускать элюент (процесс элюирования). Разделяемые вещества перемещаются вдоль колонки с разными скоростями в соответствии с их сорбируемостью. Если скорости перемещения компонентов достаточно различаются, то на выходе из колонки сначала вместе с элюатом появляется наименее сорбируемый компонент, затем следующий компонент и т.д. Хроматограмма, полученная таким образом, представляет собой несколько пиков, имеющих форму гауссовой кривой (рис. 2.1).

Рисунок 2.1. Хроматограмма, полученная методом элюентной хроматографии – сорбируемость веществ увеличивается в ряду А<В<С
Самый простой вариант элюирования — изократический, при котором состав элюента не меняется. Его используют при разделении соединений с близким сродством к неподвижной фазе. В некоторых случаях используют градиентное элюирование, при котором состав элюента в процессе разделения компонентов изменяют по заданному закону. В этом случае элюирующая сила подвижной фазы возрастает, в результате чего сокращается время удерживания сильно сорбируемых веществ и улучшается разделение смеси.
Простое эмпирическое правило для оценки удерживания в ОФ ВЭЖХ можно сформулировать так: чем гидрофобнее соединение, тем сильнее оно удерживается.
Самой распространенной неподвижной фазой для ОФ ВЭЖХ является силикагель, химически модифицированный алкилсиланами Сl-Si(CH3 )2 -R, где R – алкильная цепь с числом атомов углерода от 1 до 18 (рис. 2.2).

Рисунок 2.2. Распределительная хроматография с привитой фазой
Среди химически модифицированных силикагелей наибольшее распространение получили фазы с восемью (С8 ) и восемнадцатью (С18 или октадецилсилильный силикагель) атомами углерода. Также в ОФ ВЭЖХ применяются силикагели Фенил (R= – (CH2 )3 Ph) и Циано (R= – (СH2 )3 CN). Строение поверхности силикагеля с «привитыми» октильными (С8 ) группами показано на рис. 2.3 [15].

Рисунок 2.3. Строение поверхности силикагеля с «привитыми» октильными (С8 ) группами
Основной характеристикой обращенно-фазного адсорбента на основе силикагеля является массовая доля углерода. Эта величина отражает гидрофобность неподвижной фазы и, таким образом, и ее адсорбционную способность. Массовая доля углерода стандартной С8 фазы составляет величину порядка 12%; стандатной С18 фазы – 16–20%.
ОФ ВЭЖХ как метод анализа обладает рядом преимуществ по сравнению с другими методами ВЭЖХ:
— в настоящее время разработаны и внедрены в производство сорбенты для этого метода, имеющие привитые алкилсилильные группы разной длины (от С2 до С32 с прямой алкильной цепью, фенильной и дифенильной группами);
— растворители, используемые в обращенно-фазных разделениях, относительно легко растворяют практически все важнейшие группы веществ, находящихся в организме человека, биологических объектах, используемых в виде лекарственных препаратов, пестицидов, гербицидов широко используемых в органической химии, нефтехимии, биоорганической химии;
— сорбенты в ОФ ВЭЖХ быстро приходят в равновесие с новыми растворителями и при изменении состава растворителя, что позволяет переходить от одной методики к другой с использованием одной и той же колонки. Сорбенты дают возможность использовать растворители в широком диапазоне свойств, а также добавки разных типов (соли, кислоты и основания, органические модификаторы);
— загрязненный сорбент в колонке может быть промыт и приведен снова в рабочее состояние при прокачивании через колонку растворителей, удаляющих загрязнения.
Для оценки селективности сорбента и эффективности колонки в целом используют основные параметры хроматографического разделения.
2.2 Основные параметры хроматографического разделения
Основными хроматографическими параметрами, характеризующими поведение вещества в колонке, являются время удерживания компонента смеси и удерживаемый объем. Время от момента ввода анализируемой пробы до регистрации максимума пика называют временем удерживания (элюирования) tR. Время удерживания складывается из двух составляющих — времени пребывания вещества в подвижной t0и неподвижной ts фазах [13]:
tR .= t0 + ts. (2.1)
Значение t0фактически равно времени прохождения через колонку адсорбируемого компонента. Значение tR не зависит от количества пробы, но зависит от природы вещества и сорбента, а также упаковки сорбента и может меняться от колонки к колонке. Поэтому для характеристики истинной удерживающей способности следует ввести исправленное время удерживания t′R [13]:
t′R = tR — t0. (2.2)
Для характеристики удерживания часто используют понятие удерживаемого объема VR — объем подвижной фазы, который нужно пропустить через колонку с определенной скоростью, чтобы элюировать вещество [13]:
VR = tR F, (2.3)
где F – объемная скорость потока подвижной фазы, см3 с-1 .
Объем для вымывания несорбируемого компонента (мертвый объем) выражается через t0: V0= t0F, и включает в себя объем колонки, не занятый сорбентом, объем коммуникаций от устройства ввода пробы до колонки и от колонки до детектора. Исправленный удерживаемый объем V′R соответственно равен [13]:
V′R = VR — V0. (2.4)
При постоянных условиях хроматографирования (скорость потока, давление, температура, состав фаз) значения tR и VR строго воспроизводимы и могут быть использованы для идентификации веществ.
Любой процесс распределения вещества между двумя фазами характеризуют коэффициентом распределения D. Величина D отношением cs /c0, где ст и с0 – концентрации вещества в подвижной и неподвижной фазах соответственно. Коэффициент распределения связан с хроматографическими параметрами.
Характеристикой удерживания является также коэффициент емкости k', определяемый как отношение массы вещества в неподвижной фазе к массе вещества в подвижной фазе: k' = mн /mп. Коэффициент емкости показывает, во сколько раз вещество дольше находится в неподвижной фазе, чем в подвижной. Величину k' вычисляют из экспериментальных данных по формуле [13]:
(2.5)
Важнейшим параметром хроматографического разделения является эффективность хроматографической колонки, количественной мерой которой служат высота Н, эквивалентная теоретической тарелке, и число теоретических тарелок N.
Теоретическая тарелка – это гипотетическая зона, высота которой соответствует достижению равновесия между двумя фазами. Чем больше теоретических тарелок в колонке, т.е. чем большее число раз устанавливается равновесие, тем эффективнее колонка. Число теоретических тарелок легко рассчитать непосредственно из хроматограммы, сравнивая ширину пика w и время пребывания tR компонента в колонке [13]:
(2.6)
Определив N и зная длину колонки L, легко вычислить Н :
(2.7)
Эффективность хроматографической колонки также характеризует симметричность соответствующего пика: чем более симметричен пик, тем более эффективной является колонка. Численно симметричность выражают через коэффициент симметрии KS, который может быть определен по формуле [13]:
, (2.8)
где b 0.05 – ширина пика на одной двадцатой высоты пика; А – расстояние между перпендикуляром, опущенным из максимума пика, и передней границей пика на одной двадцатой высоты пика.
Для оценки воспроизводимости хроматографического анализа используют относительное стандартное отклонение (RSD ), характеризующее рассеяние результатов в выборочной совокупности [13]:
, (2.9)
где n – количество параллельных хроматограмм; х — содержание компонента в пробе, определенное путем расчета площади или высоты соответствующего пика на хроматограмме;
– среднее значение содержания компонента, рассчитанное на основании данных параллельных хроматограмм; s 2 – дисперсия полученных результатов.
Результаты хроматографического анализа считаются вероятными, если выполняются условия пригодности хроматографической системы [19]:
— число теоретических тарелок, рассчитанное по соответствующему пику, должно быть не менее требуемого значения;
— коэффициент разделения соответствующих пиков должен быть не менее требуемого значения;
— относительное стандартное отклонение, рассчитанное для высоты или площади соответствующего пика, должно быть не более требуемого значения;
— коэффициент симметрии соответствующего пика должен быть в требуемых пределах.
2.3 Аппаратурное оформление эксперимента
В современной жидкостной хроматографии используют приборы различной степени сложности — от наиболее простых систем, до хроматографов высокого класса, снабженных различными дополнительными устройствами.
На рис. 2.4 представлена блок-схема жидкостного хроматографа, содержащая минимально необходимый набор составных частей, в том или ином виде присутствующих в любой хроматографической системе.

Рисунок 2.4. Блок-схема жидкостного хроматографа: 1 — сосуд для подвижной фазы; 2 — насос; 3 — инжектор; 4 — колонка; 5 — термостат; 6 — детектор; 7 — регистрирующая система
В качестве сосудов для подвижной фазы (1 ) чаще всего используют стеклянные бутылки вместимостью 0,7-1 л. Большое значение имеет тщательная дегазация подвижной фазы. Предпочтительнее выполнять эту операцию непосредственно в рассматриваемом сосуде, чтобы исключить переливание растворителя.
Современные насосы (2 ) для жидкостной хроматографии представляют собой прецизионные устройства, обеспечивающие постоянную подачу растворителя в колонку и способные создавать давления до нескольких десятков МПа. Конструкция насоса определяется, прежде всего, рабочим давлением в системе.
Инжекторы (3 ) обеспечивают ввод проб от 0,1 мкл до нескольких миллилитров с высокой воспроизводимостью при давлениях до 30-50 МПа. Инжекторы должны работать при повышенных температурах и в среде активных растворителей и реагентов.
Колонки (4 ) для ВЭЖХ представляют собой толстостенные трубки из нержавеющей стали длиной 10, 15, 25 см с внутренним диаметром 4-5,5 мм, способные выдержать высокое давление. Большую роль играет плотность и равномерность набивки колонки сорбентом. Постоянство температуры обеспечивается термостатом.
Повышение температуры разделения улучшает эффективность колонок в ОФ ВЭЖХ. Стабилизация температуры также повышает точность количественных определений, поэтому использование термостатов (5 ) весьма желательно, а иногда обязательно. В ВЭЖХ чаще всего применяют воздушные термостаты с интенсивным перемешиванием воздуха, в которых расположены теплообменник для подогрева растворителя, дозатор и колонки.
Детекторы (6 ) для жидкостной хроматографии имеют проточную кювету, в которой происходит непрерывное измерение какого-либо свойства протекающего элюента. Наиболее популярными типами детекторов общего назначения являются дифференциальные рефрактометры, измеряющие показатель преломления системы проба-элюент, и спектрофотометрические детекторы, определяющие оптическую плотность растворителя на фиксированной длине волны (как правило, в ультрафиолетовой области — УФ-детекторы).
Регистрирующая система (7) в простейшем случае состоит из дифференциального усилителя и самописца. В сложных хроматографических системах используется блок интерфейса, соединяющий хроматограф с персональным компьютером, который осуществляет не только сбор и обработку информации, но и управляет прибором.
2.4 Методика проведения эксперимента
В экспериментальной части курсовой работы была поставлена задача подобрать опытным путем хроматографическую колонку на основе химически модифицированного силикагеля для методики количественного определения эналаприла малеата, а также сравнить эффективность хроматографического разделения в зависимости от используемого сорбента.
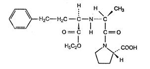
Структурная формула эналаприла приведена на рис. 2.5 [20].

Рисунок 2.5. Структурная формула эналаприла
Субстанция эналаприла малеата представляет собой белый кристаллический порошок, плохо растворимый в воде, растворимый в этаноле и метаноле. Эналаприла малеат является биологически активным веществом, применяемым в качестве лекарственного средства для лечения артериальных гипертензий и застойной сердечной недостаточности, а также в комплексной терапии инфаркта миокарда.
Оборудование:
— весы аналитические электронные Mettler Toledo AG204;
— ультразвуковой очиститель Elma T710DH;
— жидкостной хроматограф Agilent 1100, соединенный с персональным компьютером.
Материалы:
— колонка размером 4,6х250 мм, заполненная силикагелем цианосилильным для хроматографии [19], с размером частиц 5 мкм Waters RP-CN;
— колонка размером 4,6х250 мм, заполненная силикагелем цианосилильным для хроматографии [19], с размером частиц 5 мкм Zorbax XDB-CN;
— колонка размером 4,6х250 мм, заполненная силикагелем октадецилсилильным для хроматографии [19], с размером частиц 5 мкм Waters Symmetry C18 ;
— колонка размером 4,6х250 мм, заполненная силикагелем октасилильным для хроматографии [19], с размером частиц 5 мкм Waters Symmetry C8 ;
— колонка размером 4,6х250 мм, заполненная силикагелем октасилильным для хроматографии [19], с размером частиц 5 мкм Zorbax SB C8 ;
— колонка размером 4,6х250 мм, заполненная силикагелем октадецилсилильным для хроматографии [19], с размером частиц 5 мкм Zorbax SB C18 ;
— колонка размером 4,6х150 мм, заполненная циркония оксидом для хроматографии [19], с размером частиц 5 мкм Discovery ZR-РBD;
— мерная колба вместимостью 25 мл;
— микропипетка автоматическая 100–250 мкл.
Реактивы:
— ацетонитрил для хроматографии CH3 CN [19];
— вода для хроматографии [19];
— дикалия гидрофосфат K2 HPO4 [19];
— кислота фосфорная концентрированная H3 PO4 [19];
— субстанция эналаприла малеата C20 H28 N2 O5 ·C4 H4 O4 .
Методика [21]:
Испытуемый раствор. Близко 100 мг (точная навеска) субстанции эналаприла малеата помещают в мерную колбу вместимостью 25 мл, растворяют в 20 мл воды для хроматографии, доводят объем раствора водой для хроматографии до метки и перемешивают. 2,5 мл полученного раствора помещают в мерную колбу вместимостью 50 мл, доводят объем раствора подвижной фазой до метки и перемешивают. Срок годности раствора – 1 сутки.
Буферный раствор. 1,74 г. дикалия гидрофосфата растворяют в 800 мл воды, доводят рН до значения 2,0±0,1 [19] кислотой фосфорной, доводят объем водой для хроматографии до 1000,0 мл и перемешивают.
Хроматографируют 10 мкл раствора сравнения на жидкостном хроматографе с УФ-детектором при таких условиях:
— подвижная фаза – буферный раствор – ацетонитрил для хроматографии (75:25), дегазированная на ультразвуковом очистителе;
— скорость подвижной фазы 1,5 мл/мин;
— детектирование при длине волны 215 нм;
— температура колонки 60о С.
Хроматографическая система считается пригодной, если:
— число теоретических тарелок, рассчитанное по пику эналаприла, не менее 6000;
— коэффициент симметрии пика эналаприла не более 1,7.
2.5 Анализ полученных результатов
В ходе эксперимента для оценки удерживающей способности химически модифицированных силикагелей на примере вещества эналаприла малеата были использованы колонки на основе цианосилильного силикагеля (Waters RP-CN 4,6х250 мм, Zorbax XDB-CN 4,6х250 мм), а также колонки на основе октадецилсилильного (Waters Symmetry C18 4,6х250 мм, Zorbax SB C18 4,6х250 мм) и октасилильного (Waters Symmetry C8 4,6х250 мм, Zorbax SB C8 4,6х250 мм) силикагелей. Апробированные колонки имеют одинаковую геометрию (высоту и длину колонки, размер частиц сорбента), но различаются «привитыми» фазами. Также в конце эксперимента для оценки зависимости удерживающей способности от природы самого сорбента была апробирована колонка на основе оксида циркония (IV). Ввиду дороговизны колонок на основе оксида циркония (IV) использовалась колонка размером 4,6х150 мм (Discovery ZR-РBD 4,6х150 мм).
Полученные данные, приведенные в табл. 2, показывают существенные различия в удерживании эналаприла малеата в зависимости от «привитой фазы».
На силикагелях, модифицированных группами С18 и С8 времена удерживания эналаприла малеата достаточно велики для его полного разделения, однако эффективность колонок не соответствует поставленным требованиям (число теоретических тарелок — менее 6000, коэффициент симметрии пика — более 1,7).
Времена удерживания в цианосилильной колонке Waters RP-CN 4,6х250 мм, а также в колонке на основе оксида циркония (IV) Discovery ZR-RBD 4,6х150 мм малы и сопоставимы со временем выхода неудерживаемого компонента. Кроме того, эти колонки отличаются наименьшим числом теоретических тарелок, что указывает на низкую эффективность разделения.
Таким образом, для методики количественного определения эналаприла малеата оптимальной хроматографической колонкой, отвечающей поставленным требованиям (п. 2.4), при данных условиях хроматографирования является колонка размером 4,6х250 мм, заполненная силикагелем цианосилильным для хроматографии [19], с размером частиц 5 мкм Zorbax XDB-CN.
Таблица 2. Экспериментальные данные для вещества эналаприла малеата
Колонка | Время удерживания | Коэффициент симметрии пика | Число теоретических колонок |
Waters RP-CN 4,6х250 мм, 5 мкм | 3.812 | – | 3504 |
Zorbax XDB-CN 4,6х250 мм, 5 мкм | 6.228 | 1.518 | 6772 |
Waters Symmetry C18 4,6х250 мм, 5 мкм | 7.618 | 2.280 | 5254 |
Waters Symmetry C8 4,6х250 мм, 5 мкм | 9.382 | 2.314 | 6779 |
Zorbax SB C8 4,6х250 мм, 5 мкм | 8.483 | 1.987 | 5035 |
Zorbax SB C18 4,6х250 мм, 5 мкм | 7.724 | 2.313 | 4284 |
Discovery ZR-РBD 4,6х150 мм, 5 мкм | 1.969 | 1.395 | 1343 |
Выводы
В курсовой работе рассмотрены важнейшие области применения силикагеля в промышленности, технике и науке, теоретическое обоснование зависимости адсорбционных свойств силикагеля от способа его получения и дальнейшей обработки, а также применение силикагелей в аналитической высокоэффективной жидкостной хроматографии.
На основании проведенных исследований можно сделать следующие выводы:
— адсорбционная способность силикагелей зависит от пористости структуры: чем меньше размер частиц силикагеля, тем лучше его адсорбционные свойства;
— важнейшим преимуществом силикагеля по сравнению с другими пористыми материалами является возможность изменения его структуры в процессе формирования;
— придание силикагелю специфичности в отношении тех или иных веществ путем химического модифицирования возможно благодаря наличию силанольных и силоксановых групп на его поверхности, что значительно расширяет область его применения;
— одним из наиболее перспективных применений силикагеля является применение его в колонках для ВЭЖХ в качестве неподвижной фазы, ставшее возможным вследствие получения на основании современных технологий силикагелей с размерами частиц 3.5, 5, 7 или 20 мкм;
— неподвижные фазы на основе силикагеля могут существенно отличаться друг от друга: способом получения исходного силикагеля; формой частиц; содержанием примесей в силикагеле; размерами и распределением размеров частиц; размерами пор и распределением пор по размерам; заместителями у атома кремния, расположенными у поверхности силикагеля в «прививке»; плотностью «прививки» модификатора; дополнительной обработкой фазы;
— эффективность хроматографической колонки, а также такие хроматографические параметры, как время удерживания, коэффициент симметрии пика, число теоретических тарелок и высота теоретической тарелки, а, следовательно, и воспроизводимость результатов анализов, определяются свойствами используемых сорбентов;
— оптимальный выбор хроматографической колонки зависит от химической природы разделяемых веществ и условий хроматографирования.
Решения разнообразных аналитических задач в ВЭЖХ основывается на знании строения сорбентов, их свойств, области их применения и путей оптимизации методик анализа.
Необходимость оптимизации методик возникает при проведении большого количества серийных анализов, например, в лабораториях по контролю качества лекарственных препаратов. Оптимизированная методика разделения позволяет сократить время каждого анализа, а значит сократить расход растворителей и повысить общую производительность жидкостного хроматографа в течение рабочего дня. При этом на хроматограмме должны быть хорошо разрешены не только пики анализируемых веществ, но и пики возможных примесей в них. Для оптимизации методик разделения важнейшим фактором является правильный подбор сорбента.
В экспериментальной части работы опытным путем проведен подбор хроматографической колонки на основе химически модифицированного силикагеля с оптимальными адсорбционными свойствами для количественного определения лекарственного вещества эналаприла малеата методом ВЭЖХ. В качестве наиболее эффективной колонки была выбрана колонка размером 4,6х250 мм, заполненная силикагелем цианосилильным для хроматографии [19], с размером частиц 5 мкм Zorbax XDB-CN.
Список литературы
1. Дубинин М.М. Физико-химические основы сорбционной техники, 2-е изд. ОНТИ, 1935.
2. Алексеевский Е.В. Общий курс химии защиты, ч. I. ОНТИ Химтеорет., Л., 1935.
3. Никитин С.Н. Силикагель и его применение в черной металлургии. Металлургиздат, М., 1941.
4. Неймарк И.Е., Шейнфайн Р.Ю. Силикагель, его получение, свойства и применение. – Киев: Наукова думка, 1973. – 200 с., ил.
5. Фрейдлин Л. X. Успехи химии, 1954, 23, 581.
6. Дзисько В.А. Рациональные основы приготовления некоторых окисных катализаторов. Доклад по опубликованным работам, Новосибирск, 1965.
7. Каталитические свойства веществ. Под редакцией В.А. Ройтера. «Наукова думка», К., 1968.
8. Беркман С., Морелл Д., Эглофф Г. Катализ в неорганической и органической химии, книга вторая. Гостоптехиздат, М.- Л., 1949.
9. Окатов А.Б. – ЖПХ, 1929, 2, 21; Коллоидная кремнекислота и ее адсорбционные свойства, Л., Изд-во Военно-технической Академии РККА, 1928.
10. Берестнева З.Я., Корецкая T.A., Kapгин В.А. – Коллоидн. журн., 1949, 11, 369.
11. Берестнева З.Я., Корецкая Г.А., Каргин В.А. – Коллоидн. журн., 1950, 12, 338.
12. Киселев А.В., Яшин Я.И. – В кн.: Газовая хроматография. Изд-во Дзержинского филиала ОКБА, 1966, 131.
13. Основы аналитической химии. В 2 кн. Кн.1. Общие вопросы. Методы разделения: Учебник для вузов/Ю.А. Золотов, Е.Н. Дорохова, В.И. Фадеева и др. Под ред. Ю.А. Золотова. — 3-е изд., перераб. и доп. – М.: Высш. шк., 2004. – 361 с.: ил.
14. Цвет М.С. // Труды Варшавского общества естествоиспытателей, отд. биологии, 1903, т. 4, с. 20–32. 2 Snyder L К Kirkland J.J. Introduction to Modern Liquid Chromatography.2-nd edition. J. Wiley, N.Y., 1979. 863 p.
15. Сорбенты для высокоэффективной жидкостной хроматографии ZORBAX™. Руководство для пользователей. – Киев, 2001.
16. Высокоэффективная жидкостная хроматография в биохимии: Пер. с англ… / Под ред. А. Хеншен и др. – М.: Мир, 1988 — 688 с., ил.
17. Стыскин Е.Л., Ициксон Л.Б., Брауде Е.В. «Практическая высокоэффективная жидкостная хроматография». – М.: Химия, 1986, 288 с.
18. Киселев А.В., Яшин Я.И. Адсорбционная газовая и жидкостная хроматография. – М.: Химия, 1979, 288 с.
19. Машковский М.Д. Лекарственные средства. — 15-е изд., перераб., испр. и доп. – М.: Новая волна, 2006, с. 438–439.
