Реферат: Исследование морфологической структуры, физико-химических и химических характеристик беленой, сульфатной целлюлозы из древесины хвойной породы
Содержание
древесина целлюлоза сульфат волокно
Введение
1. Литературный обзор
1.1 Технические целлюлозы
1.2 Химические превращения компонентов древесины в условиях сульфатной варки
1.2.1 Лигнин
1.2.2 Полисахариды
1.2.3 Экстрактивные вещества
1.3 Отбелка целлюлозы
1.4 Показатели качества технических целлюлоз
2. Методическая часть
2.1 Оптическая микроскопия
2.1.1 Определение равномерности отбелки целлюлозы
2.1.2 Определение способа варки целлюлозы
2.2 Химические и физико-химические анализы
2.2.1 Определение степени набухания целлюлозы
2.2.2 Определение влажности высушивания
2.2.3 Определение содержания альфа-целлюлозы
2.2.4 Определение средней степени полимеризации целлюлозы
2.2.5 Определение медного числа целлюлозы
2.2.6 Определение карбоксильных групп
3. Экспериментальная часть
Выводы
Библиографический список
Введение
Одним из наиболее важных факторов, определяющих развитие большинства отраслей промышленности, является устойчивая сырьевая база, и в частности углерод содержащее сырье. К такому сырью относится древесина, чаще всего ее используют в качестве топлива, однако ценность леса как природного богатства и широко применяемого сырья определяется производством бумаги и картона.
Древесина представляет собой уникальный постоянно возобновляемый полимерный композиционный материал, компоненты которого являются высокомолекулярными соединениями. Химической переработкой древесины получают более 20 тысяч наименований различных материалов, продуктов и изделий. Целлюлозные материалы занимают видное место в удовлетворении потребностей человека: природные целлюлозные волокна (прежне всего хлопок, лен и другие лубяные волокна) и сегодня являются существенной частью в балансе сырья для текстильной промышленности. Древесная и хлопковая целлюлоза широко применяются для изготовления бумаги и картона, искусственных волокон, некоторых пластмасс и лаков, эмульгаторов и загустителей для нефтяной, текстильной, пищевой, фармацевтической и других отраслей промышленности. [13]
Одной из важнейших отраслей химической переработки древесины является производство технической целлюлозы и других волокнистых полуфабрикатов. За 2002 год в мире произведено всех волокнистых полуфабрикатов 324,62 миллионов тон, из них древесных 168,24 миллионов тонн, а недревесных 19,77 миллионов тонн.
Технической целлюлозой называют целлюлозу, выделенную из природного растительного сырья, древесного и не древесного, удалением нецеллюлозных компонентов. Таким образом, свойства технической целлюлозы изменяются в широких пределах в зависимости от того, насколько полно в процессе химической обработки были отделены сопутствующие вещества. С помощью химических реакций из технической целлюлозы получают различные производные целлюлозы — искусственные полимеры, главным образом, различные сложные и простые эфиры целлюлозы.[1]
Технические целлюлозы можно подразделить по методам варки. К группе кислотных способов получения целлюлозы из числа применяемых в промышленности относится сульфитная целлюлоза. За 2002 год сульфитной целлюлозы было выработано по всему миру 5,2 млн.т. К группе щелочных способов получения целлюлозы относится сульфатный способ варки. За минувший год сульфатной целлюлозы было получено по всему миру 126 млн. тонн. По представленным выше данным выработки целлюлозы по варкам можно сделать вывод, что основные объемы ее получают именно сульфатным методом. По всем показателям механической прочности сульфатная целлюлоза превосходит сульфитную, той же степени провара, но в то же время выход сульфатной целлюлозы на 3-4% ниже, чем сульфитной. Хотя первая обладает гораздо лучшими бумагообразующими свойствами.
Целью данной работы было исследование морфологической структуры, физико-химических и химических характеристик беленой сульфатной целлюлозы из древесины хвойной породы.
1. Литературный обзор
1.1 Технические целлюлозы
Природная целлюлоза является основным веществом, из которого построены клеточные стенки растительных клеток всех видов растений. Процесс производства сводится к освобождению целлюлозы от других нецеллюлозных компонентов таких как: лигнин, гемицеллюлозы, экстрактивные вещества. Все способы получения целлюлозы основаны на том, что лигнин поддается разрушительному действию многих химических реагентов гораздо легче, чем целлюлоза.
Основным веществом, от которого освобождают растительное сырье, является лигнин, поэтому процесс получения целлюлозы называют делигнификацией растительного материала, а продукт делигнификации называется технической целлюлозой. Процесс получения технической целлюлозы кратко называют варкой целлюлозы. Существуют основные способы варки, которые классифицируются по видам и свойствам применяемых химических реагентов. Исходя из этого можно разделить все известные способы получения целлюлозы на несколько основных групп: кислотные, щелочные, нейтральные и др.[4]
К группе кислотных способов, из числа применяемых относятся сульфитный и бисульфитный способы, которые отличаются составом и рН варочного раствора.
В классическом процессе сульфитной варки на кальциевом основании применяют варочный раствор (варочную кислоту), содержащий Са (НSO3 )2 и большой избыток свободного SO2, который при варке весь не расходуется и поддерживает рН на уровне 1,2-1,5. Свободный SO2, имеющий сильнокислотные свойства, проникает в древесную щепу значительно быстрее, чем варочный раствор, и поэтому подъем температуры во время разогрева до конечной температуры варки должен быть более медленным. В противном случае рано произойдут реакции конденсации лигнина, что приведет к неполной делигнификации. При получении целлюлозы для бумаги конечная температура варки обычно лежит в интервале 125-135°С, а при получении целлюлозы для химической переработки составляет около 145*С. Весь цикл варки занимает до 12 часов. Сульфитная целлюлоза, небеленая и беленая, является одним из главнейших полуфабрикатов для выработки газетных, типографских, писчих бумаг, бумаги для печати и целого ряда других видов бумаги и для получения искусственного волокна.
При бисульфитной варке рН составляет 3-5. Применяется бисульфитный варочный раствор, не содержащий SO2, на натриевой основе, хотя пригодно и аммониевое основание. По сравнению с сульфитной варкой максимальная температура несколько выше (150-170°С), а продолжительность варки значительно меньше (1-3 ч). Конечной температуры варки можно достигать даже быстрее, так как химикаты проникают в щепу лучше, и начальная температура варочного раствора выше (90-100°С).Таким образом по свойствам бисульфитная целлюлоза очень близка к сульфитной, но отличается от нее более высокой механической прочностью и более легкой способностью разделяться на волокна при высоком выходе.
Реально оценивая свойства варок кислотного типа можно отметить ряд недостатков и достоинств. В сульфитном методе недостатком в первую очередь является длительность самого процесса варки. К другим недостаткам относятся: образование накипи, отсутствие регенерации химикатов и загрязнение окружающей среды. В качестве сырья нельзя использовать высокосмолистую древесину, например сосновую, а также многие лиственные породы. Щепа не должна содержать значительное количество коры. Все это необходимо для избежания реакций конденсации лигнина с экстрактивными веществами, а эти реакции будут препятствовать сульфированию лигнина. Что касается бисульфитной варки, основными промышленными методами которой служат процессы с использованием натриевого и магниевого основания, то она имеет ряд технологических преимуществ: отсутствие выделения диоксида серы при выдувке массы из котла; применение непрерывного процесса; отсутствие накипи при упаривании отработанного щелока; легкость регенерации химикатов; возможность использования разнообразного древесного сырья.
Сульфатный (или крафт) и натронный процессы — это два главных метода щелочной варки целлюлозы, которые, кроме того, легли в основу ряда модифицированных щелочных процессов и в том числе сульфатной варки с предгидролизом для производства целлюлозы для химической переработки. В обоих процессах варочным реагентом служит гидроксид натрия, а при сульфатной варке дополнительно сульфид натрия. Оба метода получили название по химикатам, которые используются при регенерации для компенсации потерь гидроксида натрия (соответственно, карбонат и сульфат натрия).[3]
В отличии от сульфитных методов варки процессы сульфатной варки проводят практически по единой технологической схеме, хотя существуют разнообразные варианты условий варки и применяемого оборудования. Древесину в качестве щепы загружают в варочный котел и одновременно подают варочный раствор (белый щелок), поступающий из системы регенерации. Используют периодически- и непрерывнодействующие варочные установки. Периодическую варку проводят при температуре 160- 180°С, при рН= 13, под давлением 0,7-1,1 МПа в течение 4-6 часов, непрерывную ускоренную варку при 190-200°С в течение 15-30 минут. Массу и отработанный щелок выгружают при уменьшенном давлении. После промывки массы отработанный щелок отделяют и направляют в систему регенерации. При предварительном пропаривании удаляется сульфатный скипидар, который конденсируется из сдувочных газов. С упаренного щелока снимают сульфатное мыло. При сдувке из варочного котла и упаривании черного щелока выделяются дурнопахнущие и токсичные пары и газы, главным образом сероводород и метилмеркаптан, а также небольшие количества диметил сульфида и диметилдисульфида. Предпринято много попыток уменьшения образования этих типичных для сульфатной варки газовых выбросов различными способами- хлорированием с образованием менее летучих компонентов, окислением и др. Однако и в настоящее время, несмотря на большие капиталовложения в оборудование для защиты окружающей среды, проблему газовых выбросов нельзя считать решенной. [8]
На процесс сульфатной варки и свойства получающейся целлюлозы влияет ряд факторов: исходное сырье (древесная порода и качество); модуль варки (отношение количеств щелока и древесины); расход химикатов и их концентрация в варочном щелоке; состав варочных химикатов.
Сульфатный метод предъявляет меньше требований к сырью и пригоден для древесины хвойных и лиственных пород.
В настоящее время сульфатный метод является не только доминирующим щелочным методом варки при использовании древесины в качестве сырья, но и наиболее важным способом производства целлюлозы вообще. Сульфатная целлюлоза превосходит натронную по выходу и свойствам. Главными преимуществами сульфатной варки являются:
1. Пониженные требования к породному составу и качеству древесного сырья, позволяющие использовать все виды древесины хвойных и лиственных пород, в том числе в смесях, и допускающие присутствие значительных количеств экстрактивных веществ, гнилой древесины, остатков коры.
2. Небольшая продолжительность варки.
3. Достаточно хорошо разработанные процессы переработки отработанных щелоков, включая регенерацию варочных химикатов, выработку тепла, производство ценных побочных продуктов, таких, как таловое масло и скипидар при варке древесины сосны.
4. Отличные прочностные свойства целлюлозы.
Основные недостатки сульфатной варки — образование дурно пахнущих газовых выбросов, пониженный по сравнению с сульфитной выход целлюлозы (45-50%), темный цвет небеленой целлюлозы.
Говоря о свойствах технических целлюлоз, полученных щелочными методами варки, можно отметить, что сульфатные целлюлозы, характеризующиеся отличными прочностными свойствами, используют для выработки прочных видов бумаги, применяемых в качестве наружного слоя гофрированного картона, мешочной и оберточной бумаги. Однако очень высокие показатели прочности свойственны только сульфатной целлюлозе из древесины хвойных пород. Коротковолокнистая целлюлоза из древесины лиственных пород по показателям прочности непригодна для изготовления наружного слоя гофрированного картона, хотя она легко белится и служит отличным сырьем при выработке бумаги для печати.
Сульфитная же целлюлоза для бумаги, полученная из древесины лиственных пород, имеет низкие показатели прочности, и ее используют, главным образом для выработки светонепроницаемой бумаги для печати. Белизна небеленой сульфитной целлюлозы выше, чем сульфатной, даже при высоком выходе. Показатели прочности сульфитных целлюлоз ниже, чем сульфатных.[3]
Обычная сульфатная варка и натронная не дает возможности получать целлюлозу для химической переработки, обладающую достаточно высокой реакционной способностью. Типовым методом получения целлюлозы для указанных целей является щелочная варка с предгидролизом щепы, т. е. двухступенчатая комбинированная варка.
Сульфатная целлюлоза сохраняет большое количество трудногидролизуемых пентозанов (до 50% от содержания в исходной древесине), которые не удаляются и при дальнейшей отбелке. Поэтому содержание a-целлюлозы недостаточно для целлюлозы, идущей на производство химических волокон. Чтобы устранить этот недостаток, надо удалить пентозаны. Для этого древесину варят с предгидролизом в две ступени:
1. Предгидролиз (разрушение пентозанов)
2. Собственно варка.
Предгидролиз может осуществляться двумя способами:
1. Обработка соляной или серной кислотой. Это кислотный гидролиз. Он сравнительно сложен, так как требует проведения многих длительных операций.
2. Обработкой горячей водой. Происходит отщепление ацетильных и формильных групп с образованием органических кислот, рН раствора 3,5-4. Это водный предгидролиз. При этом разрушается 12-17% от абсолютно сухого вещества древесины.
Затем производится сульфатная варка.[12]
Из всех промышленных способов получения целлюлозы наибольшее распространение получили сульфитный и сульфатный.
1.2 Химические превращения компонентов древесины в условиях сульфатной варки
Варочный процесс (варка)- это обработка измельченной древесины (технологическая щепа, иногда опилки) или другого растительного сырья варочным раствором при повышенной температуре и соответствующем давлении с целью получения технической целлюлозы, целлюлозы высокого выхода (ЦВВ) или полуцеллюлозы.
Любой варочный процесс представляет собой сложный комплекс различных процессов, на которые оказывают влияние морфологические, физические и химические факторы. Основными процессами при этом должны быть разрушение лигнина межклеточного вещества и удаление лигнина из клеточной стенки.
Поведение полисахаридов древесины при ее делигнификации в процессе варки будет определяться условиями проведения процесса, строения макромолекул и особенностями надмолекулярной структуры полисахаридов, влияющими на их доступность действию химических реагентов. По доступности к варочным реагентам все полисахариды можно разделить на три группы: полисахариды, переходящие в варочный раствор; полисахариды, в структуру которых проникают реагенты; полисахариды, структура которых недоступна для реагентов. Полисахариды первой группы растворяются, второй – набухают в варочном растворе, третей – не набухают. Первую группу образуют водорастворимые полисахариды (арабиногалактаны, пектиновые вещества, крахмал и др.). Ко второй группе относятся основная масса гемицеллюлоз и аморфные участки целлюлозы. В третью группу входят кристаллические участки целлюлозы и целлюлозаны.
При делигнификации как в условиях варки, так и отбелки, воздействию подвергаются не только лигнин, но и углеводная часть древесины. Реакции углеводов, главным образом деструкция полисахаридов, будут определять выход и качество получаемого волокнистого полуфабриката.[1]
1.2.1 Лигнин
Лигнин представляет собой ароматический полимер сетчатого строения. Основная структурная единица которого фенилпропановая единица С6 -С3. В лигнине мономерные звенья соединены между собой эфирными и углерод углеродными связями.
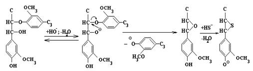
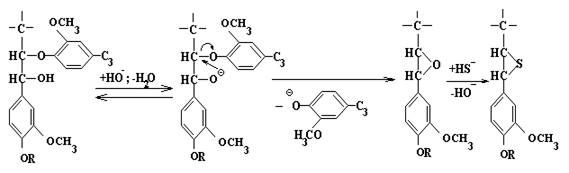
В настоящее время существует более или менее единый взгляд на роль сульфида натрия при сульфатной варке – он обеспечивает защиту лигнина от конденсации. Большинство ученых считают, что сера оказывает блокирующее действие. Следовательно, гидросульфид-ион, являющийся более сильным нуклеофилом по сравнению с гидроксид-ионом, обеспечивает более интенсивную деструкцию лигнина и его защиту от конденсации, причем сера химически связывается с лигнином. Ион гидросульфида играет роль сильного «внешнего» нуклеофила при сульфатной варке. Сульфатный варочный раствор вызывает деструкцию всех связей -О-4 в фенольных структурах лигнина независимо от направления реакции.

По первому направлению, идущему в меньшей степени через промежуточный оксиран (эпоксид), под воздействием гидросульфид-иона образуется группировка тиирана (эписульфида). По второму, главному, направлению к образовавшемуся хинонметиду присоединяется сильный «внешний» нуклеофил (:SH- ) и тем самым защищает лигнин от конденсации, а также от конкурирующей с реакциями нуклеофильного замещения реакции элиминирования.

В результате образуется группировка тиола (меркаптана) в ионизированной форме (тиолят-анион). Тиолян-анион атакует -углеродный атом и вызывает деструкцию связи -О-4 с образованием, как и по первому направлению, группировки тиирана. В нефенольных структурах связи -О-4 расщепляются по такому же механизму, как и при натронной варке.
В этой реакции деструкция идет под действием более сильного основания, т.е гидроксид-иона, но затем группировка оксирана под действием гидросульфид-иона превращается в группировку тиирана.

При сульфатной варке в лигнине сначала образуются структуры, богатые серой, а затем значительная часть серы отщепляется в виде элементной серы и образуется сульфатный лигнин.
Кроме гетеролитических реакций при щелочных варках при температурах 160-180 єС могут протекать и свободнорадикальные процессы. В свое время предполагали, что радикалы образуются в результате гомолитического расщепления сетки лигнина, и их рекомбинации приводит к конденсации лигнина. Однако в настоящее время выдвинута теория образования свободных феноксильных радикалов под действием присутствующего в капиллярах древесины и варочном растворе кислорода воздуха, который в щелочной среде на начальной стадии варки при взаимодействии с компонентами древесины восстанавливается до таких активных форм, как супероксид-анион-радикал О2 и гидроксильный радикал НО., которые и являются инициаторами свободнорадикальных процессов. При этом сере, содержащийся в сульфиде и гидросульфиде натрия, отводится роль «ловушки» радикалов и антиоксиданта, препятствующего образованию феноксильных радикалов. Протекающие окислительно-восстановительные реакции приводят к изменению степени окисления серы.
Недостаток сульфатной варки – выделение дурнопахнущих сернистых соединений, образующихся из метоксильных групп лигнина под действием гидросульфида натрия при высокой температуре варки. Сначала получается метилмеркаптан (метантиол) легколетучий а затем из него также легколетучий диметилсульфид (тиоэфир) СН3 SCH3. В результате окисления метилмеркаптана образуются менее летучие диметилдисульфид СН3 SSCH3. Из диметилсульфида при окислении можно получить ценный растворитель – диметилсульфоксид (СН3 )2 SO. [1]
Недостатки сульфатной варки можно в определенной степени устранить, используя полисульфидные варочные растворы, которые готовят либо растворением серы в сульфатном варочном растворе, либо окислением содержащегося в нем Na2 S. Полисульфид-ионы могут восстанавливаться до HS-, окисляя при этом или редуцирующие звенья углеводов, или лигнин. Выход целлюлозы повышается на 1,5-6%, в зависимости от достигаемой степени делигнификации.
1.2.2 Полисахариды
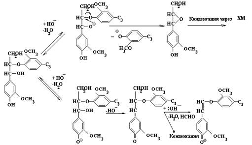
В щелочной среде при повышенных температурах полисахариды подвергаются реакциям деполимеризаци. Для обозначения процесса полимеризации полисахаридов в технологии варки целлюлозы используют термин «пилинг». Пилинг является причиной больших потерь целлюлозы, т.к. она не является самым устойчивым полисахаридом древесины. Потери гемицеллюлоз происходят и в результате их растворения в варочных растворах, чему способствует увеличение концентрации щелочи и снижение СП. Деполимеризацие с редуцирующего конца происходит до превращения концевого звена в щелочеустойчивое в результате процесса стабилизации («стопинг»).
1.Целлюлоза
Подвергается деполимеризации в результате реакции b-элиминирования при температуре 80-100°С.

Таким образом редуцирующее концевое звено целлюлозы может участвовать в двух параллельных реакциях b-элиминирования. Одна реакция приводит к изменению этого звена, а другая к его отщеплению. В последнем случае образуется новое редуцирующее концевое звено, которое также может отщепляться. Направление, по которому будет происходить элиминирование, зависит от скорости отщепления гидроксильной и о-алкильной группы. Так как скорость отщепления последней значительно выше, чем первой, то успевает отщепиться 50-70 редуцирующих звеньев прежде чем редуцирующее концевое звено превратится в звено глюкаметасахариновой кислоты и процесс деполимеризации закончится.
При температурах выше 150°С начинает проявлятся щелочной гидролиз. Скорость гидролиза не велика, однако при этом образуется новое редуцирующее концевые звенья и процесс деполимеризации возобновляется. Значительно более легче чем гидролиз происходит окислительная деструкция макромолекул целлюлозы в результате реакции b-элиминирования.

Деполимеризация целлюлозы приводит к ее потерям, а деградация окислительная и гидролитическая снижает СП. В результате СП сульфатной целлюлозы несколько меньше чем у сульфитной.
2.Гемицеллюлозы
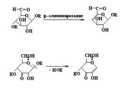
Ксиланы оказались более устойчивые в условиях щелочной варки.
У хвойных кроме таких звеньев есть
Кроме того деполимеризации препятствует строение редуцирующего концевого звена макромолекулы ксилана

В щелочной среде отщепляется одно концевое звено при очень высоких температурах второе «разваливается», ксиланы более менее сохраняются при щелочных варках.
В условиях щелочных варок звенья 4-о-метилглюкуроновой кислоты ксилана подвергаются деметоксилированию в результате реакции b-элиминирования. Потеря белизны сульфатной целлюлозы происходит из-за наличия этих групп.
Глюкоманнаны имеют меньшую СП, чем ксиланы, практически не чем не защищенные в щелочной среде. Но у хвойных при низких температурах происходит диацетилирование, что способствует уплотнению глюкоманнанов.
1.2.3 Экстрактивные вещества
Массовая доля экстрактивных веществ в древесине обычно невелика. Однако, концентрируясь в отдельных тканях древесины и являясь чрезвычайно разнообразными по химическому составу, они влияют не только на свойства древесины, но и на процессы ее переработки, а в ряде случаев отделяют и качество получаемых продуктов (например, целлюлозы для химической переработки). Экстрактивные вещества – ценные химические продукты, состав которых при обработке древесины различными реагентами при повышенных температурах существенно изменяется. Утилизация таких продуктов повышает рентабельность производства и снижает вредное воздействие на окружающую среду, оказываемое некоторыми из этих веществ при их попадании в промышленные выбросы.
Экстрактивные вещества накапливаются в паренхимных тканях, где они представлены главным образом жирами, восками и стеринами. Выделение данных веществ затруднено, так как они содержатся во внутренних полостях паренхимных клеток и в воде не растворяются. Поэтому при разделении древесной ткани на волокна эти вещества часто удаляют вместе с содержащими их клетками, отделяя мелкие паренхимные клетки от волокон при сортировании целлюлозной массы после варки. Содержимое смоляных каналов в древесине хвойных пород (в основном смоляные кислоты и монотерпены) легко высвобождается при разрушении древесной ткани.
Экстрактивные вещества в ядровой древесине локализуются не только в лучевой паренхиме, но и пропитывают стенки волокон, покрывают (инкрустируют) мембраны пор, в лиственных породах закупоривают сосуды. Основная масса этих веществ представлена гидрофобными компонентами, что снижает гидрофильность клеточных стенок и водопроницаемость ядровой древесины. Клеточные стенки ядра содержат меньше воды, чем заболонь. Все это приводит к тому, что ядровая древесина труднее перерабатывается в щепу, хуже пропитывается водными растворами реагентов, и при ее химической переработке, в особенности в кислой среде, могут возникнуть трудности. Проблемы из-за экстрактивных веществ ядровой древесины могут появиться и при производстве волокнистых полуфабрикатов механическим, термомеханическим и химикотермомеханическим способами.
У ряда древесных пород часть экстрактивных веществ имеет окраску, что затрудняет отбелку целлюлозы. Некоторые компоненты экстрактивных веществ ядра легко окисляются, что приводит к нестабильности белизны. Наличие липофильных экстрактивных веществ сильно влияет на смачиваемость и может привести к “самопроклейке” бумаги.
Таким образом, содержание, состав и природа превращений экстрактивных веществ важны не только для извлечения этих ценных продуктов, но и для установления роли отдельных компонентов в развитии побочных процессов. Химические реакции и глубина преврещений экстрактивных веществ определяются в первую очередь природой этих веществ и условиями переработки древесины.
Монотерпены сравнительно устойчивы при сульфатной варке. При конденсации сдувочных паров получают сульфатный скипидар, по составу близкий к живичному, но загрязненный дурнопахнущими сернистыми соединениями и требующий очистки. В кислой среде в условиях сульфитной варки или гидролиза древесины летучая терпеновая фракция претерпевает существенные изменения, и ее основным компонентом становится n -цимол.
Стерины относятся к самым устойчивым компонентам экстрактивных веществ, тогда как жиры подвергаются превращениям уже при хранении древесины. При сульфатной варке в результате взаимодействия смоляных и жирных кислот, жиров и восков с гидроксидом натрия образуется сульфатное мыло. Жиры и воски в щелочной среде омыляются с образованием натриевых солей жирных кислот. Поверхностно-активные свойства мыла способствуют эмульгированию части неомыляемых липофильных компонентов экстрактивных веществ. В результате отбираемое после отстаивания упаренного отработанного варочного раствора (черного щелока) сульфатное мыло будет содержать натриевые соли смоляных и жирных кислот и неомыляемые соединения (фитостерины и др.). При обработке сульфатного мыла раствором серной кислоты получают талловое масло. Оно представляет собой смесь смоляных и жирных кислот и нейтральных веществ (фитостерин, высшие алифатические спирты, углеводороды). Вакуум-ректификацией таллового масла получают талловые продукты (дистиллированное талловое масло, талловую канифоль, талловые жирные кислоты и талловый пек).
При варке целлюлозы роль экстрактивных веществ может проявиться в снижении выхода целлюлозы, увеличении расхода химикатов, усложнении процесса делигнификации, а также в появлении так называемых смоляных затруднений. Снижение выхода целлюлозы из-за растворения экстрактивных веществ обычно невелико, но есть древесные породы (лиственница, дуб) с высоким содержанием водорастворимых соединений. Расход химикатов повышается в результате химического взаимодействия экстрактивных веществ с варочными реагентами. В щелочных варках часть гидроксида натрия расходуется на омыление жиров и восков и на взаимодействие со свободными кислотами и фенольными соединениями. С экономической точки зрения это частично получением продуктов переработки сульфатного мыла. При сульфитных варках некоторые экстрактивные вещества сульфируются (флавоноиды, лигнаны). Дигидрокверцетин, обладающий восстанавливающими свойствами подобно сахарам, в растворах гидросульфита окисляется до кверцетина. Кверцетин плохо растворяется в воде и осаждается на волокна, приводя к пожелтению целлюлозы.[1]
В настоящее время сульфатная варка превалирует над другими методами переработки древесины, и, следует отметить, что производство талловых продуктов на основе экстрактивных веществ вносит существенный вклад в прибыль предприятий. В связи с ростом доли древесины лиственных пород повысился интерес и к выделению из черный щелоков нейтральных веществ (стерины, тритерпеноиды и др.).
1.3 Отбелка целлюлозы
Целлюлоза в зависимости от вида сырья, жесткости, качества промывки содержит продукты темного цвета. Считается, что темный цвет обуславливается присутствием в целлюлозе остаточного лигнина, красящих веществ, смол, солей марганца и железа.
Развитие технологии отбелки древесной целлюлозы привело к применению гипохлорита, хлора ( с введением промежуточной ступени щелочного обработки ) и других разнообразных отбеливающих реагентов. Главная цель отбелки – повышение белизны в случае выработки целлюлозы для производства бумаги и картона.
Хромофорные компоненты, поглощающие свет, представляют собой группировки деградированного и химически изменённого лигнина. Поэтому отбелку можно осуществить либо превращением и стабилизацией хромофорных групп без потери вещества ( отбелка с удалением лигнина ). Наряду с лигнином при отбелке удаляются по крайней мере частично другие соединения ( экстрактивные и минеральные вещества полиозы ), а также недостаточно делигнифицированные частицы ( кусочки коры ).
Отбелка приводит к изменению оптических свойств целлюлозы – светопоглащения, светорассеяние и отражательной способности, которые характеризуются белизной, яркостью и светопроницаемостью.
Отбеливающие реагенты можно подразделить на окислители и восстановители. Основные из них, наиболее часто применяемые в промышленности, приводятся ниже.
| Хлор | Cl2 |
| Гипохлорит натрия | NaOCl |
| Гипохлорит кальция | Ca(Ocl)2 |
| Диоксид хлора | ClO2 |
| Пероксид водорода | H2O2 |
| Пероксид натрия | Na2O2 |
| Кислород | O2 |
Кроме того, при отбелке широко применяется щелочь NaOН, а также сернистая кислота.
Сульфатная целлюлоза имеет более темный цвет, чем сульфитная. Она труднее отбеливается, поэтому отбелка связана с рядом особенностей:
1. Для получения целлюлозы невысокой белизны необходимо применять двуокиси хлора.
2. При хлорировании сульфатной целлюлозы интенсивней идут побочные реакции окисления. С целью уменьшения деструкции целлюлозы при этом, во-первых, снижают расход хлора на хлорирование до 40-50% (вместо 70-80%), во-вторых, при хлорировании добавляют ClO3 в колличестве10-20% от расхода хлора.
3. При отбелке сульфатной целлюлозы увеличивают число ступеней отбелки на 1-2 по сравнению с сульфитной целлюлозой равной белизны.
Существует такое понятие, как схема отбелки. Схемой отбелки называется последовательность обработки целлюлозы отбеливающими реагентами. В зависимости от свойства получаемой целлюлозы схемы различные. Так как данная работа рассматривает сульфатную беленую целлюлозу для производства бумаги и картона, для нее будет соответствовать следующая схема отбелки. Сама отбелка будет проходить в 5-6 ступеней, последовательность ступеней будет следующая:
Хлорирование ® щелочение ® отбелка двуокисью хлора® щелочение® добелка двуокисью хлора ® гипохлоритная отбелка II®кисловка [12]
Первой ступенью отбелки целлюлозы является хлорирование. Успех процесса отбелки во многом зависит от этого процесса. Лигнин, который обладает сильными восстановительными свойствами, может вступать в реакцию с любыми окислителями. Хлор получил большее распространение, это объясняется тем, что хлор отличается высокой реакционной способностью и является сравнительно дешевым реагентом. Применение хлора для хлорирование не требует высокой температуры и повышенного давления, при этом реакция идет достаточно быстро. В процессе хлорирования хлор действует избирательно на лигнин, и образующийся хлор-лигнин растворяется в водных растворах щелочей. Хлорирование лигнина – реакция топохимическая, идущая с поверхности вглубь волокна и замедляющаяся по мере хлорирования молекул лигнина, расположенных на поверхности. Удаление продуктов хлорирования открывает доступ к новой поверхности лигнина, и реакция продолжается.
С повышением температуры концентрация ионов водорода, хлора и хлорноватистой кислоты увеличивается и, следовательно, основными реакциями будут реакции гидролиза и окисления, что является нежелательным из-за деструкции целлюлозы. Обычно при хлорировании поддерживают температуру 15-20°С, но может быть проведено и при 45-50°С, что только ускорит скорость реакции.[9]
Обычно хлорирование проводят при низких концентрациях массы – 3-3,5% при рН 1,8-2,2. В таких условиях в растворе преобладает молекулярный хлор, и основной является реакция хлорирования.
Отсюда следует, что при обработке лигнинсодержащих материалов молекулярным хлором в воде лигнин претерпевает различные химические реакции при этом образуется хлор-лигнин, который растворяется в разбавленных растворах NaOН, поэтому на второй стадии проводят обработку разбавленным раствором щелочи. Такая обработка позволяет эффективно удалять более 50% остаточного лигнина.

Т.о. при хлорировании происходит электрофильное замещение в бензольном кольце, в том числе и с вытеснением пропановой цепочки, кроме этого происходит окислительное расщепление b-О-4 связи, образование ортохиметильных структур с последующим их окислением до структуры муконовой кислоты. В результате получается хлорлигнин, кроме хлора содержит много карбоксильных групп. При последующей обработке часть хлора замещается на гидроксильные группы в результате хлорлигнин содержит много карбоксильных и фенольных групп хорошо растворяющихся в щелочном растворе.
Диоксид хлора давно известен как отличный делигнифицирующий и отбеливающий реагент, но при использовании в промышленных процессах возникают определённые трудности из-за его высокой реакционной способности в газовой фазе и токсичности. Тем не менее диоксидом хлора постепенно заменяют хлор на первой ступени многоступенчатой отбелки, тогда как первоначально его использовали на конечных ступенях. Диоксид хлора увеличивает конечную белизну целлюлозы и её прочностные свойства, а так же снижает расход химикатов и БПК сточных вод. Отбелку диоксидом хлора обычно осуществляют при низкой или средней концентрации массы, рН 3 – 5, низкой температуре около 70 о С в течение 3-5 часов
Пероксиды, кроме отбелки древесной массы, в настоящее время применяют так же в ряде промышленных схем отбелки технических целлюлоз. Пероксиды используют главным образом на последних ступенях в сочетании с диоксидом хлора, что приводит к получению целлюлозы с высокой стабильной белизной. Отбелку пероксидами обычно проводят при средней или высокой концентрации массы, при температуре 60-80 о С в течение 2-4 часов
Отбелка кислородом (кислородная делигнификация) – один из наиболее интенсивно исследуемых процессов в последние 20 лет. Делигнификацию кислородом применяют для получения как целлюлозы, так и других волокнистых полуфабрикатов. Окисление лигнина кислородом используют при отбелке с удалением лигнина. Однако кислород не имеет высокой избирательности, приводящей к разрушению только лигнина. Поэтому целлюлозу невозможно отбелить до высокой белизны исключительно кислородом без воздействия на полисахаридную часть, значительно снижающего показатели прочности. В современной промышленной практике кислородом при отбелке удаляют примерно половину остаточного лигнина, содержащегося в небелёной целлюлозе, а затем удаляют остальной лигнин другими отбеливающими реагентами.
Применение озона в качестве отбеливающего агента находится ещё в стадии разработок, как и отбелка с использованием перуксусной кислоты. Предложен процесс с использованием озона вместо хлора на стадии предварительной отбелки, пригодный, по мнению авторов, для промышленного применения.
Хотелось бы отметить и экологические аспекты данного процесса. При хлорировании образуются хлорорганические соединения, переходящие в раствор. Эти растворы нельзя направлять, из-за присутствия хлора, в общую систему регенерации химикатов. И, как правило, большинство предприятий направляют эти растворы в водоемы, не смотря на то, что среди хлорорганических соединений в стоках, а также в самой беленой целлюлозе были обнаружены диоксины, часть из которых являются просто токсичными соединениями, а у некоторых были обнаружены мутагенные свойства.
1.4 Показатели качества технических целлюлоз
В результате варки растительного сырья с тем или иным химическим реагентом получают небеленую целлюлозу, представляющую собой продукт с относительно низкой белизной. Небеленая целлюлоза, в особенности жесткая, содержит еще значительное количество сопровождающих клетчатку примесей, дальнейшее освобождение от которых способом варки иногда бывает связанно с нежелательным значительным повреждением целлюлозы и ухудшением ее свойств. Между тем часто требуется получить продукт высокого белого цвета, более полно освобожденный от лигнина, смол и других примесей, более химически чистый, с определенными физико-химическими свойствами. Для этого полученную небеленую целлюлозу подвергают отбелке химическими отбеливающими реагентами, получая беленую целлюлозу. В некоторых случаях отбелку не доводят до высокой белизны и получают полубеленую целлюлозу. Для более глубокого удаления гемицеллюлоз иногда одновременно с отбелкой проводят дополнительную щелочную обработку, получая в результате так называемую облагороженную целлюлозу. Отбелке и облагораживанию подвергают преимущественно мягкую целлюлозу или целлюлозу средней жесткости.
Полуцеллюлоза, целлюлоза высокого выхода, небеленая целлюлоза различной степени провара, беленая, полубеленая и облагороженная целлюлоза представляет собой полуфабрикаты, которые находят широкое практическое применение для выработки самых разнообразных видов бумаги и картона.
Для характеристики разнообразных свойств небеленой, беленой, облагороженной целлюлоз применяют большое число различных показателей качества. Остановимся лишь на наиболее важных.
Для небеленых целлюлоз:
1. степень делигнификации
2. прочность
— прочность на разрыв
Разрывная длина – длина материала, при которой он порвется под собственным весом.
— водоудержание
— показатель разрывной силы(сопротивление к разрыву), определяется на разрывной машине.
— сопротивление к раздиранию(делается предварительный надрез).
— сопротивление к излому
ЧДП – число двойных перегибов, которые она выдерживает до разрушения.
3. сорность – наличие посторонних включений
Для беленых целлюлоз:
1. прочность
2. оптические свойства(сравнение с эталоном белизны)
— белизна – светопоглощение
— яркость — светорассеивание
3. сорность(необходимо знать размер и число включений)
4. однородность(облачность)
5. медное число(характеризует восстановительную способность целлюлозы, обусловленную наличием продуктов ее окисления и гидролиза)
Для облагороженных целлюлоз(целлюлоз химической переработки):
Как правило эта целлюлоза обрабатывается раствором NaOH с целью удаления не целлюлозных примесей.
1.чистота
— массовая доля альфа-целлюлозы, которая не растворяется в 17,5% растворе NaOH
— наличие примесей
2. реакционная способность(скорость химической реакции)
3. степень полимеризации – число мономерных звеньев в макромолекуле
Степень полимеризации определяют через вязкость.
4. влажность
Кратко охарактеризованные показатели качества далеко не исчерпывают всех свойств целлюлозы. В отдельных случаях нужны еще дополнительные определения, например способности к набуханию, фильтруемости, впитывающей способности и т.п.
2. Методическая часть
2.1 Оптическая микроскопия
Приготовление препаратов окрашенных волокон. Небольшое количество волокон помещают на предметное стекло, и увлажнив тщательно раздергивают препаровальными иглами. Избыток воды осторожно удаляют фильтровальной бумагой. Затем волокна окрашивают 1-2 каплями раствора хлор-цинк-иод. Волокна хорошо перемешивают (и еще раз раздергивают на отдельные волокна – для приготовления препаратов).
Сразу же окрашенные волокна накрывают покрывным стеклом избегая образования пузырьков воздуха между стеклами. Избыток красителя удаляют слегка смоченной фильтровальной бумагой, осторожно подводя ее к краю покровного стекла.
Идентификация целлюлозных волокон из различных растительных тканей.
Целлюлозные волокна из различных растительных тканей окрашиваются по разному. При окраске раствором хлор-цинк-иод волокна хлопка окрашиваются в коричнево-розовый оттенок. Волокна древесной массы окрашиваются в желто-зеленый цвет. Волокна технической целлюлозы окрашиваются в фиолетовый цвет.
Определение породного состава.
Определение породного состава волокна осуществляется с помощью диагностических признаков, характерных для каждой породы.
2.1.1 Определение равномерности отбелки целлюлозы
Образец целлюлозы помещают на предметное стекло, с помощью препаровальных игл расщепляют на отдельные волокна в нескольких каплях дистиллированной воды. Волокна осушают фильтровальной бумагой и наносят на них несколько капель раствора малахитового зеленого. Для закрепления красителя препарат осторожно подсушивают над электрической плиткой. Затем волокна переносят на ситечко и промывают водой до бесцветных промывных вод, отжимают иглами, помещают на предметное стекло и осушают фильтровальной бумагой. Затем на образец наносят несколько капель раствора основного фуксина.
2.1.2 Определение способа варки целлюлозы
Раствор I — 0,4% соляная кислота 30-35мл
Раствор II — основной фуксин 0,7гр. в 100мл дистиллированной воды
Раствор III — 0,02 н соляная кислота
Раствор IV — хлор-цинк-иод
Раствор V – цинк хлористый, кальций хлористый, соляная кислота
Навеску образца (около 0,05гр.) опускают в нагретый до кипения раствор I и кипятят в течение 15 минут. Затем кислоту сливают, образец промывают холодной водой, затем погружают в кипящую дистиллированную воду и кипятят в течение 1 минуты. Небольшую часть образца переносят на предметное стекло, расщепляют на отдельные волокна и осушают фильтровальной бумагой. На волокна нанося 2-3 капли раствора II и хорошо перемешивают. Через одну минуту волокна осушают фильтровальной бумагой и промывают в течение 15 секунд раствором III, который так же удаляют фильтровальной бумагой. Наносят 2-3 капли раствора IV, перемешивают и высушивают фильтровальной бумагой. В заключении наносят на волокна 2-3 капли раствора V и тщательно перемешивают.
2.2 Химические и физико-химические анализы
2.2.1 Определение степени набухания целлюлозы
Из исследуемой воздушно- сухой целлюлозы нарезают два куска размером 1*1,5 см. взвешивают и помещают в кристаллизаторы, наполненные: один дистиллированной водой в количестве 25 см3, другой 25 см3 раствора едкого натра концентрацией 17,5 %. Продолжительность набухания в воде один час, а в щелочи 10 минут. По истечению указанного времени целлюлозы осторожно вынимают пинцетом и держат в наклонном положении для стекания жидкости, оставшуюся на весу каплю осторожно снимают фильтровальной бумагой, затем набухшую целлюлозу взвешивают на часовом стекле (предварительно взвешенном). Отношение массы набухшей целлюлозы к ее первоначальной массе дает массовую степень набухания, выраженную обычно в %.
2.2.2 Определение влажности высушивания
Чистый пустой бокс (вместе с крышкой в открытом виде) высушивают в сушильном шкафу при (103±2)°С до постоянной массы. В бокс помещают навеску целлюлозы массой около 2 г. и сушат с навеской в течение 3 часов. Перед извлечением из сушильного шкафа бокс закрывают крышкой, а затем помещают в эксикатор и после охлаждения взвешивают. Перед взвешиванием крышку бокса на короткое время приоткрывают, чтобы уравнять давление воздуха. Повторяют сушку по 1 г. (с последующим охлаждением и взвешиванием) до постоянной массы.
W=![]()
![]()
М1- масса бюкса с навеской до высушивания, г
М2-масса бюкса с навеской после высушивания, г
М-масса пустого бюкса, г
2.2.3 Определение содержания альфа - целлюлозы
Около 3 грамм воздушно-сухой целлюлозы, разорванной на куски размером 10*10 мм, помещают в фарфоровый стакан вместимостью 150-200 см3 и заливают 17,5% раствором гидроксида натрия в два приема: сначала 15 см3 (осторожно в течение 2-3 минут размешивая целлюлозу стеклянной палочкой), затем добавляют 30см3 17,5% щелочи, равномерно и осторожно размешивают в течение 1 минуты. Стакан со смесью покрывают часовым стеклом и оставляют при комнатной температуре на 45 минут, считая с начала обработки целлюлозы щелочью. По истечению этого времени к массе приливают 45 см3 дистиллированной воды, осторожно перемешивают в течение 1,5 минуты и переносят массу на фарфоровую воронку Бюхнера (без бумажного фильтра).
Целлюлозную массу равномерно распределяют на дырчатой перегородке воронки и отсасывают фильтрат в отсосную колбу. Во избежании потерь волокна фильтрат пропускают дважды через слой волокна. Остаток на фильтре промывают при слабом вакууме в 3 приема по 25 см3 9,5% раствора гидроксида натрия. Каждую новую порцию промывной щелочи прибавляют лишь после полного отсоса предыдущей щелочи. Общая продолжительность промывки должна быть 2-3 минуты. После отсоса щелочи волокна промывают отдельными порциями воды с промежуточным отсосом. Промывку ведут до нейтральной реакции по фенолфталеину. Промытый осадок (альфа-целлюлозу) высушивают сначала при комнатной температуре, а затем в сушильном шкафу при температуре 103±2 °С.
2.2.4 Определение средней степени полимеризации целлюлозы
Навеску целлюлозы, рассчитанную по формуле и взвешенную с точностью до 0,0002г и 1,5 г металлической кусковой меди помещают в толстостенную банку и приливают требуемое количество медно-аммиачного раствора (V см3 ).
Банку закрывают пробкой, встряхивают и помещают в термостат при температуре 20±0,2°С.
Расчет абсолютно сухой целлюлозы (G) в граммах, необходимой для приготовления медно-аммиачного раствора целлюлозы, производится по формуле:
G=![]()
V- рабочий объем банки в см3 (30см3 )
C- концентрация целлюлозы в растворе в г/см3
W- влажность целлюлозы в % (6-7%)
Банку помещают на мешалку. Обычно для полного растворения целлюлозы со степенью полимеризации до 1000 требуется 20-30 минут. Полноту растворения проверяют просматриванием банки с раствором в проходящем свете. Банку снимают с мешалки, еще раз встряхивают и определяют с помощью вискозиметра время истечения в секундах 20 см3 раствора (t1 ). Таким же образом определяют время истечения растворителя (t0). Из полученных данных рассчитываю величину (hy ), характеризующую повышение вязкости раствора по отношению к вязкости растворителя, по формуле: hу = t1 /t0-1
Среднюю степень полимеризации целлюлозы рассчитывают по формуле:
СП=2000*hy /[ С*(1+0,29*hy )],
С- концентрация целлюлозы в растворе.
2.2.5 Определение медного числа целлюлозы
Навеску около 1 грамма целлюлозы, взятую с точностью до 0,002 помещают в коническую колбу и заливают 20 см3 дистиллированной воды, после чего содержимое колбы нагревают до кипения. В две сухие колбы емкостью 50 см3 заливают по 20 см3 растворов сернокислой меди и калий натрий виннокислый. Растворы нагревают до кипения и сливают вместе. Образовавшийся темно-синий раствор вливают в колбу с навеской целлюлозы, колбу на время прикрывают часовым стеклом (время кипячения 2-3 минуты). Затем содержимое колбы быстро охлаждают в проточной воде и пропускают через фарфоровую воронку с полотняным фильтром, промывают горячей водой до нейтральной реакции по фенолфталеину. Промывные воды из отсосной колбы выливают, колбу тщательно моют. Закись меди растворяют 30 см3 раствора сернокислого железа при отключенном вакууме и перемешивании стеклянной палочкой содержимого воронки. Осадок на фильтре промывают 4 моль/дм3 раствором серной кислоты в два приема по 30 см3 и затем дистиллированной водой 150 см3. собранный фильтрат титруют 0,04 моль/дм3 раствором марганцовокислого калия до достижения первой устойчивой окраски раствора в розовый цвет.
Н={(V*0,00254)/ M*Kсух }*100,
М- навеска целлюлозы, г
2.2.6 Определение карбоксильных групп
1 грамм абсолютно сухой целлюлозы помещают в колбу на 30 минут в 50 см3 0,1 моль/дм3 раствор соляной кислоты. Затем оксицеллюлозу вновь промывают для удаления кислоты дистиллированной водой, отжимают и взвешивают. В полученной оксицеллюлозе определяют содержание карбоксильных групп. Для определения карбоксильных групп оксицеллюлозу помещают в колбу и заливают 50 см3 раствора солей (0,02 моль/дм3 NaHCO3 + 0,2 моль/дм3 NaCl ). Колбу закрывают пробкой и встряхивают до получения однородной суспензии. Через час жидкость отфильтровывают на сухом стеклянном фильтре; 25 см3 фильтрата титруют 0,1 моль/дм3 HCl с индикатором метиловым красным до достижения переходной окраски (переход из желтого в малиновый). Раствор кипятят несколько минут для удаления СО2. быстро охлаждают и затем титруют до нового изменения окраски. Параллельно титруют таким же образом 25см3 раствора бикарбоната (смеси солей).
Содержание карбоксильных групп рассчитывают по формуле в ммоль/100 а.с.ц.
Х=(В-а-
)* ![]()
а- расход 0,1 моль/дм3 HCl на титрование 25см3 фильтрата, см3
В- тоже на титрование 25 см3 бикарбоната, см3
У- содержание воды в навеске целлюлозы после обработки кислотой, г
д — навеска абсолютно сухой целлюлозы, г
3. Экспериментальная часть
Идентификация целлюлозных волокон из различных растительных тканей.
При микроскопическом анализе волокон используют гистохимический метод (см. 3.1), основанный на получении специфических окрасок древесных волокон. Используемый для этого реактив (хлор-цинк-иод) относится к такому типу, которые образуют с основным компонентом волокна (целлюлозой) окрашенные соединения, цвет которых зависит не от цвета реактива, а от свойства волокна.
В результате анализа было обнаружено, что волокна исследуемого образца целлюлозы окрасились в фиолетовый цвет, что является характерным признаком для определения технических целлюлоз. А отсюда следует, что исследуемый образец представлен технической целлюлозой.
Определение породного состава волокна.
При определении породного состава (см. 3.1) было обнаружено, что исследуемый образец относится к хвойной породе.
Определение равномерности отбелки целлюлозы.
Метод (см.3.1.1) основан на микроскопическом исследовании препаратов волокон беленой целлюлозы окрашенных 2% водным раствором малахитового зеленого, подкисленного несколькими каплями концентрированной уксусной кислоты, 1% водным раствором основного фуксина.
В ходе работы волокна целлюлозы окрасились в слабо-розовый цвет, что свидетельствует о равномерной отбелке.
Определение способа варки.
Гистохимические реакции (см. 3.1.2.) позволяют также идентифицировать волокнистые полуфабрикаты, изготовленные из древесины хвойных и лиственных пород различными методами варки (сульфатными или сульфитными). Это обусловлено тем, что в различных процессах варки химический состав волокон в результате частичной их делигнификации, а также некоторого удаление гемицеллюлоз и экстрактивных веществ, изменяется не одинаково. И в зависимости от подобранного реактива, окрашивается тот или другой компонент волокна. Становится возможным различать волокна по внешнему виду.
При анализе было определено, что целлюлоза была получена сульфатным способом варки, так как волокна образца окрасились в сине – сиреневый цвет.
Определение степени набухания.
Степень набухания – это показатель качества целлюлозы, характеризующий способность ее к набуханию, условно определяемый по приращению массы образцов целлюлозы в 17,5% растворе гидроксида натрия в %.
Набухание целлюлозных волокон имеет важное значение для повышения доступности макромолекул целлюлозы. Набухание – увеличение объема под действием растворителя.
Набухание целлюлозы бывает двух типов:
— межкристаллитное (в разбавленных растворах щелочей)
— внутрикристаллитное (в концентрированных с концентрацией выше 0%-12%)
Важную роль при набухании играет концентрация раствора гидроксида натрия. В очень концентрированных растворах степень набухания уменьшается. Концентрация раствора щелочи, при которой происходит максимальное набухание, зависит от характера целлюлозного материала и от температуры обработки.
Проводя методику (см. 3.2.1.) был определен ряд значений, исходя из этого определим степень набухания по формуле. Отношение массы набухшей целлюлозы к ее первоначальной массе дает массовую степень набухания, которая выражается в процентах.
Определение влажности древесины.
Древесина и выделенные из нее компоненты гигроскопочны и в воздушно сухом состоянии содержат определенное количество гигроскопической воды в равновесии с влажностью воздуха. В анализе древесины определяют влажность (относительную влажность) образца в отдельных параллельных пробах и рассчитываю по ней коэффициент сухости, показывающий относительное содержание в пробе древесины абсолютно сухого материала.
Метод высушивания наиболее простой, но при высушивании могут удаляться летучие вещества, что приводит к завышению значения влажности. Сушка может сопровождаться окислением компонентов древесины, в результате чего увеличивается ее масса в следствии присоединения кислорода.
По методике (см. 3.2.2.) определяем необходимые данные и значения коэффициента сухости и влагосодержание находим по формулам:
W=![]()
![]()
М1- масса бюкса с навеской до высушивания, г
М2-масса бюкса с навеской после высушивания, г
М-масса пустого бюкса, г
Коэффициент сухости
Ксух =
W =![]()
W=
26.59-26.47/26.59-24.56*100= 5.91%
Ксух =100-5,91/100=0,94
Отсюда можно сделать вывод, что в пробе массой 3 грамма абсолютно сухого материала 0,94 грамм.
Определение содержания альфа- целлюлозы.
Альфа- целлюлоза представляет собой фракцию высокомолекулярной целлюлозы со степенью полимеризации выше 200. однако она не является индивидуальным химическим соединением. В ее составе содержатся молекулы маннана и ксилана, и некоторая часть остаточного лигнина.
Метод (см.3.2.3.) основан на обработке целлюлозы 17,5% раствором гидроксида натрия и определении не растворившегося остатка после промывки 9,5 % раствором щелочи и высушивания.
По формуле находим значение альфа – целлюлозы по формуле:
Xa =
*100,
д = М*Ксух ,
д= 3*0,94=2,82г
Хa = 2,47/2,82*100= 87.59%
Определение средней степени полимеризации целлюлозы
Степень полимеризации- это число мономерных звеньев в макромолекуле полимера.
Все методы определения степени полимеризации можно разделить на химические и физико-химические. Наиболее простым методом определения является вискозиметрия. Вискозиметрический метод используется как для качественной характеристики технической целлюлозы (определение динамической вязкости растворов целлюлозы в определенных восстановителях), так и с целью определения средней степени полимеризации целлюлозы. Определяем среднюю СП, так как целлюлоза, подобно другим полимерам, полидисперсна, т.е. состоит из молекул различной длины, поэтому значение СП является средней величиной. В качестве растворителя используется медно-аммиачный реактив. Целлюлоза в медно-аммиачном растворе очень чувствительна к окислению кислородом воздуха и определяемые значения вязкости и СП является заниженным. Для предотвращения деструкции целлюлозы необходимо максимально сокращать время контакта раствора целлюлозы с воздухом и вводить в раствор восстановители.
Среднюю степень полимеризации рассчитываем по формуле:
СП=2000*hy /[ С*(1+0,29*hy )],
hy =3,2/2,4-1=0,333
СП=2000*0,333/1*(1+0,29*0,333)=600
Следовательно, в исследуемой целлюлозе 600 звеньев в одной макромолекуле.
Определение медного числа целлюлозы
Медное число – это масса меди в граммах, восстанавливаемая из двухвалентного состояния в одновалентное ста грамм абсолютно сухой технической целлюлозы в определенных стандартных условиях. Этот метод используется не только для определения числа альдегидных групп, но и для качественной характеристики длины цепей и ее изменения в результате окислительной и гидралитической деструкции.
Для определения медного числа пользуются щелочным раствором гидроксида меди и сегнетевой соли, с которым нагревают образец целлюлозы. Сегнетова соль не участвует в реакции окисления, она лишь поддерживает гидроксид меди, получаемый в результате взаимодействия сульфата меди со щелочью, в растворе, препятствуя его выпадению в осадок.
При получении технической целлюлозы из растительного сырья в процессах варки и отбелки увеличивается число концевых альдегидных групп и появляются неконцевые альдегидные, а также кетонные и карбоксильные группы. Это обусловлено гидролитической и окислительной деструкцией макромолекул целлюлозы и окислением спиртовых групп.
В технических и окислительных целлюлозах карбоксильные группы, вследствие их высокой катионообменной способности, находятся в виде солей, поэтому необходимым условием для проведения реакций катионного обмена является перевод их в свободную кислотную группу, так называемым обеззоливанием, обработкой целлюлозы разбавленной минеральной кислотой.
В основе определения породного состава лежат характерные для каждой породы, диагностические признаки.
По исследуемому образцу было сделано три пробы, которые показали, что исследуемый образец содержит волокна хвойных пород (сосны и ели):
Волокна очень длинные, целостные, хорошо видны оконцевые и пицеоидные поры, что свидетельствует о качестве провара. Также видны окаймленные поры. Исходя из этого — сделан вывод о породном составе.
При определении равномерности отбелки волокна целлюлозы окрасились в слабо-розовый цвет, что свидетельствует о равномерной отбелке.
При определении способа варки было определено, что целлюлоза была получена сульфатным способом варки, так как волокна образца окрасились в сине – сиреневый цвет.
Степень набухания – это показатель качества целлюлозы, характеризующий способность ее к набуханию, условно определяемый по приращению массы образцов целлюлозы в 17,5% растворе гидроксида натрия в %.
По полученным данным можно сделать вывод, что при воздействии щелочи степень набухания значительно выше, это говорит о том, что щелочь лучше проникает в аморфную часть целлюлозы, действуя при этом и на поверхность кристаллической, тогда, как вода с трудом проникает в аморфную часть.
Влажность – массовая доля воды, выраженная в % к массе влажной древесины. От правильного определения влажности зависит точность всех химических анализов. По ней находим коэффициент сухости, показывающий относительное содержание в пробе древесины абсолютно сухого материала. Абсолютно сухая древесина – древесина высушенная до постоянной массы при температуре 103+2С.
По полученным данным содержание альфа-целлюлозы соответствует техническим целлюлозам, используемым в бумажном производстве, так как массовая доля альфа-целлюлозы до 90%.Таким образом данный образец не пригоден для химической переработки. Также этот показатель используется для оценки степени чистоты целлюлозы, так как гемицеллюлозы и продукты деструкции целлюлозы резко ухудшают качество продуктов химической переработки целлюлозы.
По СП судим о степени деструкции. Чем больше СП, тем меньше целлюлоза деструктирована, и наоборот, чем меньше СП, тем больше целлюлоза деструктирована. По полученным данным средняя СП=600, это говорит о том, что целлюлоза не очень деструктирована.
Медное число целлюлозы дает представление о редуцирующей (восстанавливающей) способности исследуемого образца. Этот метод используют не только для определения числа альдегидных групп, но и для качественной характеристики длины цепей и ее изменения в результате окислительной и гидролитической деструкции.
Карбоксильных групп очень мало. Повышенное содержание карбоксильных групп в целлюлозе способствует увеличению в ней массовой доли золы и зольных элементов, отрицательно сказывается в производстве бумаге. Карбоксильные группы также заметно снижают термостойкость и светостойкость целлюлозы и получаемых из нее волокон.
Исходя из экспериментальных данных, можно сделать вывод, что средняя СП и альфа-целлюлоза примерно соответствуют друг другу. Меньшему медному числу и большей СП соответствует высокоеь(среднее) содержание альфа-целлюлозы. Эти закономерности в результатах анализа не нарушены. Следовательно, лабораторные работы проведены достаточно правильно.
Настоящий стандарт устанавливает требования к белёной сульфатной целлюлозе из хвойной древесины, предназначенной для производства различных видов бумаги и картона, изготовляемой для нужд народного хозяйства и для поставки на экспорт.
Показатели технического уровня, установленные настоящим стандартом, предусмотрены для высшей и первой категории качества.
Сравнивая показатели исследуемого образца целлюлозы с показателями ГОСТированной сульфатной целлюлозы, можно сделать вывод, что данный образец соответствует высшей категории качества (маркам ХБ-0 и ХБ-1).
Таким образом, исследования показали, что по всем параметрам, полученным в результате анализа, и сравнения с требованиями ГОСТа целлюлоза данного образца является ценным продуктом для дальнейшего использования в бумажном производстве.
Факторами, определяющими свойства целлюлозы с точки зренея ее использования в бумажном и картонном производстве, являются природа исходного растительного сырья, выход и степень провара целлюлозы, способ варки, который может сообщать волокну некоторые специфические свойства. Для химической переработки используют исключительно беленую и большей частью облагороженную целлюлозу, имеющую строго определенные физико-химические свойства. Для целлюлозы, предназначенной для переработки на бумагу, особое значение имеют бумагообразующие свойства, т. е. свойства волокна как основы бумажного листа. Бумажная промышленность заинтересована преимущественно в механической прочности волокна целлюлозы, его отношении к размолу, гидратации, расщеплению, образованию слизи, развитию при размоле крепости, в его гибкости, эластичности, непрозрачности, белизне и отсутствии сора. Химическая частота целлюлозы интересует бумажное производство в меньшей степени и главным образом в той мере, в какой от нее зависят бумагообразующие свойства волокна и его долговечность. Для целлюлозы предназначенной для химической переработки, решающую роль играют химическая чистота, отсутствие загрязняющих веществ(например, зола).[3]
Сравним образец беленой сульфатной целлюлозы из хвойной древесины, предназначенной для производства различных видов бумаги и картона (1), и образец сульфатной предгидролизной кордной холодного облагораживания целлюлозы для химической переработки (2).
Для характеристик свойств целлюлозы существует ряд различных показателей:
Альфа-целлюлоза — фракция технической целлюлозы, не растворяющаяся в 17,5% растворе NaOН. Для беленых целлюлоз значение этого показателя немаловажно, так как он характеризует степень ее освобождения ее от гемицеллюлоз и низкомолекулярных фракций. В целлюлозах, предназначенных для химической переработки, содержание альфа-целлюлозы является основным показателем. Исходя из этого, сравним ГОСТированные значения для исследуемой сульфатной целлюлозы, значение альфа-целлюлозы не менее 88%, тогда как значение для сульфатной предгидролизнойсоставляет 96,6% и как раз этот показатель характеризует назначение каждой.
Механические прочностные свойства. Определяются они на специальной аппаратуре в определенных, постоянных для этого условиях и на определенных образцах в виде листков определенной массы квадратного метра. Из механических свойств целлюлозы чаще всего определяют сопротивление разрыву, изгибу, продавливанию и надрыву. В зависимости от вида сырья, способа получения, характера и режима обработки данные показатели колеблются в широких пределах. Так, по данным ГОСТа для сульфатной беленой целлюлозы для долговечной, высших марок бумаги для печати, значения этих параметров следующие: разрывная длинна- не менее 8700м, излом-число двойных перегибов не менее 2400. Для остальных категорий качества этого же образца эти значения колеблются в интервале, соответственно: от 7200 до 6800; от 2000 до 1400. Для сульфатной предгидролизнойцеллюлозы, на химическую переработку, данный показатель даже не гостируется.
Вязкость растворов целлюлозы и ее производных также не мало важный показатель, но характеризует он целлюлозу при химической переработке. Между вязкостью и механическими прочностными свойствами для целлюлоз, имеющих значение в бумажном производстве, есть определенная связь. В процессе варки и отбелки вязкость целлюлозы понижается, поэтому для целлюлоз бумажного производства строгих пределов не устанавливается. Это свойство имеет большое значение при производстве сульфатной предгидролизной целлюлозы, для которой ГОСТ устанавливает строгие значения. Так, для рассматриваемой сульфатнойпредгидролизной целлюлозы значение вязкости по ГОСТу 170 -210 мП.
Сорность целлюлозы определяется подсчетом соринок с обеих сторон смоченного образца целлюлозы при просвечиванием его источником света определенной силы и выражается числом соринок, отнесенных к 1 м2 поверхности. Высокая чистота требуется в целлюлозе, предназначенной для химической переработки. Что касается бумажного производства, то в зависимости от вида бумаги требования к сорности изменяются в широких пределах. Для беленой сульфатной целлюлозы для бумажного производства число соринок на 1 м2 площадью св. 0,1 до 1,0 мм2 включает не более 50 для высшей категории и от 70 до 150 для остальных категорий; площадью 1,0 до 2,0 мм2 включает: для высших категорий не допускается, для первой категории колеблется в зависимости от марки от 2 до 15. Для сульфатной предгидролизнойцеллюлозы для химической переработки; число соринок на 1 м2 площадью св. 0,06 до 1,5 мм2 включает не более 40 для первого сорта и для второго.
Содержание смолы. Определяется оно экстрагированием целлюлозы различными органическими растворителями, в целлюлозе щелочной варки содержание смолы невелико, благодаря растворяющему действию щелочи. Если целлюлоза для бумажного производства, имеет значение «вредная смолистость», вызывающая отложение смолы на аппаратуре. Но, благодаря щелочной варке, содержание смолы невелико около 0,2- 0,3% и этот показатель ГОСТом не отмечен. Тогда как для целлюлоз химической переработки содержание смолы недопустима и ГОСТ накладывает строгие ограничения.
Зольность. Она вызвана содержанием минеральных веществ в исходном сырье. Зольность не имеет особого значения для целлюлозы, предназначенной для бумажного производства, но она является важным показателем целлюлоз для химической переработки. В этом случае имеет значение и состав смолы в виде солей железа, кремния, кальция. Зольность отмечена только в ГОСТе на сульфатную предгидролизную целлюлозу для химической переработки: массовая доля смолы не более 0,07%; массовая доля золы не более 0,07%; массовая доля железа не более 0,0012% для первого сорта и для второго; массовая для кремния не более 0,0070% (для первого сорта) и 0,0075% (для второго сорта).
Белизна является важным показателем качества. И не зависимо от предназначения, должен быть высоким. Для сульфатной беленой целлюлозы для бумажного производства по ГОСТУ составляет: для высшей категории 88%, для первой от 80 до 86%, а для сульфатной предгидролизной беленой на химическую переработку не менее 87% для первого и для второго сорта.
Выводы
В ходе выполнения выше перечисленных работ и написания курсовой работы мы овладели следующими навыками: приготовление препаратов окрашенных волокон; определение природного состава волокон; определение равномерности отбелки целлюлозы; идентификация целлюлозных волокон, полученных различными методами варки; определение влажности; определение степени набухания; определение содержания альфа-целлюлозы; определение средней СП целлюлозы; определение карбоксильных групп; определение медного числа целлюлозы. Получили необходимые теоретические сведенья о происходящих химических превращениях при варках, отбелке и т.д.
Результаты исследования морфологической структуры позволяет сделать выводы, что данный образец целлюлозы состоит из хвойных пород древесины в частности сосны и ели. Он равномерно отбелен и получен сульфатным методом варки.
Библиографический список
1. Азаров В.И., Буров А.В., Оболенская А.В. «Химия древесины и синтетических полимеров»: Учебник для вузо. СПб.: СПбЛТА, 1999.628 с.
2. Оболенская А.В., Ельницкая З.П., Леонович А.А. Лабораторные работы по химии древесины и целлюлозы: Учебное пособие для вузов.-М.: «Экология», 1991.-320с.
3. Древесина (химия, ультраструктура, реакции): Пер. с англ./ Д.Фенгел, Г.Вегенер; Предисл. А.А. Леоновича//Под ред. д-ра техн. Наук проф… А.А. Леоновича – М.: Лесная пром-сть, 1988.- 512 с.
4. Непенин Н.Н. Производство сульфитной целлюлозы. Том 1. Изд. 2-е, перераб. Под ред. д-ра техн. наук Ю.Н. Непенина. М., «Лесная промышленность», 1976. 624 с.
5. Непенин Н.Н. Производство сульфатной целлюлозы. Том 2. Изд. 2-е, перераб.- М., «Лесная промышленность», 1900.- 600 с.
6. ГОСТы: ГОСТ 9571-84; ГОСТ 24299-80.
7. Методики кафедры ХД
8. Щелочные и варочные растворы и варка целлюлозы: Методическое руководство к лабораторному практикуму/ Сост. А.И. Новикова; Под ред. проф.Ю.Г. Бутко; СПб ТИ ЦБП. СпБ., 1992. 48с.
9. Отбелка целлюлозы и определение свойств полуфабрикатов Методическое руководство к лабораторному практикуму/ Сост. А.И. Новикова; Под ред. проф.Ю.Г. Бутко; СПб ТИ ЦБП. СпБ., 1980. 63с.