Реферат: Диэлектрические композиты на основе модифицированного субмикронного титаната бария и цианового эфира ПВС
ВЫПУСКНАЯ КВАЛИФИКАЦИОННАЯ РАБОТА ИНЖЕНЕРА
(Дипломная работа)
Тема: Диэлектрические композиты на основе модифицированного субмикронного титаната бария и цианового эфира ПВС
Оглавление
ВВЕДЕНИЕ
1. АНАЛИТИЧЕСКИЙ ОБЗОР
1.1 Органо-неорганические композиционные материалы
1.2 Диэлектрические материалы
1.2.1Основные виды диэлектрических материалов
1.2.2 Основные типы и особенности сегнетоэлектриков
1.2.3 Важнейшие характеристики диэлектриков
1.2.4 Факторы, влияющие на свойства диэлектрических материалов
1.3 Материалы с высокой диэлектрической проницаемостью
1.3.1 Диэлектрические полимерные материалы
1.3.2 Неорганические диэлектрические материалы
1.3.3 Титанат бария – сегнетоэлектрик со сверхвысокой диэлектрической проницаемостью
1.3.3.1 Структурные особенности кристаллов BaTiO3
1.3.3.2 Зависимость диэлектрических свойств BaTiO3 от температуры
1.3.3.3 Влияние примесей на диэлектрические свойства BaTiO3
1.3.4 Органо-неорганические диэлектрические композиты
2. ЦЕЛЬ И ЗАДАЧИ РАБОТЫ
3. ЭКСПЕРИМЕНТАЛЬНАЯ ЧАСТЬ
3.1 Объекты и методы исследования
3.1.1 Химические реактивы
3.2 Методы синтеза
3.2.1 Модифицирование титаната бария введением оксидных добавок золь-гель методом
3.2.2 Изготовление композитов состава ЦЭПС-BaTiO3
3.3 Методы исследования
3.3.1 Адсорбция кислотно-основных индикаторов
3.3.2 Электронная спектроскопия диффузного отражения
3.3.3 Атомно-силовая микроскопия
3.3.4 Измерение удельной поверхности
3.3.5 Измерение диэлектрических свойств
4. РЕЗУЛЬТАТЫ И ОБСУЖДЕНИЕ
4.1 Изменение диэлектрической проницаемости композитов ЦЭПС-BaTiO3 в результате модифицирования титаната бария
4.2 Изменение функционального состава поверхности образцов BaTiO3 в результате модифицирования
4.3 Изменение фазового состава поверхностного слоя BaTiO3 в результате модифицирования
4.4 Влияние модифицирования на удельную поверхность BaTiO3
4.5 Влияние модифицирования BaTiO3 оксидными добавками на структуру поверхностного слоя композитов
5. ЗАКЛЮЧЕНИЕ И ВЫВОДЫ
ЛИТЕРАТУРА
ПРИЛОЖЕНИЕ А
ПРИЛОЖЕНИЕ Б
ПРИЛОЖЕНИЕ В
ВВЕДЕНИЕ
Полимерно-неорганические композиты находят широкое применение в различных областях техники благодаря сочетанию свойств полимера и функционального наполнителя, что позволяет получать материалы с регулируемыми характеристиками в зависимости от отношения компонентов, размера частиц наполнителя и условий синтеза. Применение композитов позволяет сочетать достоинства полимерной матрицы (гибкость, устойчивость к механическим воздействиям) и высокие электрофизические свойства твердотельных функциональных наполнителей, создавать гибкие технологии и снижать себестоимость изделий электронной техники. Поскольку свойства композитов определяются структурой межфазного слоя, то они в значительной степени зависят от величины поверхности наполнителя и содержания функциональных групп.
В связи с этим модифицирование и оптимизация функционального состава поверхности наполнителей являются эффективным подходом к получению композитов с заданными характеристиками, что обусловливает актуальность и практическую значимость работы.
Композиты на основе матрицы из цианэтилового эфира поливинилового спирта (ЦЭПС) с диспергированным в ней титанатом бария (BaTiO3 ) применяют в качестве защитного диэлектрического слоя в электролюминесцентных источниках света. Одной из важнейших характеристик этих материалов является высокая диэлектрическая проницаемость (e ). В данной работе исследована возможность повышения диэлектрической проницаемости рассматриваемых композитов путем модифицирования поверхности субмикрочастиц BaTiO3 оксидными наноструктурами.
1. АНАЛИТИЧЕСКИЙ ОБЗОР
1.1 Органо-неорганические композиционные материалы
Композиционные материалы (композиты) – многокомпонентные материалы, как правило, состоящие из пластичной основы (матрицы), армированной наполнителями (дисперсными, волокнистыми, хлопьевидными и т.д.), обладающими специфическими свойствами (например, высокой прочностью, жесткостью и т.д.) [1]. Сочетание разнородных веществ приводит к созданию нового материала, свойства которого количественно и качественно отличаются от свойств каждого из его составляющих. Варьирование состава матрицы и наполнителя, их соотношения, а также степени дисперсности и других характеристик наполнителя позволяет получать широкий спектр материалов с требуемым набором свойств. По сравнению с рядом других классов материалов композиты отличаются легкостью в сочетании с улучшенными механическими свойствами [2-4]. Использование композитов обычно позволяет уменьшить массу конструкции при сохранении или улучшении ее механических характеристик.
Подбор оптимального соотношения между компонентами и регулирование их физико-химических характеристик обеспечивает получение композиционных материалов с требуемыми значениями прочности, жаропрочности, модуля упругости, абразивной стойкости, а также создание композиций с необходимыми магнитными, диэлектрическими, радиопоглощающими и другими специальными свойствами.
Выделяют два основных вида полимерных связующих (матриц) – на основе термореактивных и термопластичных полимеров. В последние годы в качестве связующих все шире применяют также смеси на основе обоих типов полимеров, а также различные типы модифицированных связующих [5].
Наряду со связующим, важнейшим элементом структуры полимерных композиционных материалов являются наполнители. Функции наполнителя в полимерных композиционных материалах весьма разнообразны – от формирования комплекса механических свойств до придания материалу разнообразных специфических свойств [5]. Наполнитель определяет прочность, жесткость и деформируемость материала, а матрица обеспечивает его монолитность, передачу напряжения в наполнителе и стойкость к различным внешним воздействиям. В зависимости от типа наполнителя композиционные материалы с полимерной матрицей делятся на стеклопластики, углепластики, органопластики, текстолиты, композиты с порошковыми наполнителями и т.д. [6]. Использование наполнителей позволяет изменять механические, электромагнитные, физико-химические характеристики исходного полимера, а, в ряде случаев, и снижать стоимость конечного композита по сравнению со стоимостью полимера за счет использования более дешевого, чем полимер, наполнителя.
Полимерные композиционные материалы называют также гибридными материалами, полученными за счет взаимодействия химически различных составляющих (компонентов), формирующих определенную структуру, отличающуюся от структур исходных реагентов, но часто наследующую определенные мотивы и функции исходных структур [7].
Основные методы получения гибридных материалов – интеркаляционный, темплатный синтез, золь-гель процесс, гидротермальный синтез. Для природных композитов размер неорганических частиц лежит в пределах от нескольких микрон до нескольких миллиметров, в результате чего материал становится неоднородным, что иногда можно заметить даже невооруженным глазом. Если уменьшать размер неорганических частиц такого материала до размера молекул органической части (нескольких нанометров), то можно повысить однородность композита и получить улучшенные или даже абсолютно новые свойства материала. Такие композиты часто называют гибридными наноматериалами [7].Неорганическими строительными блоками таких материалов могут являться наночастицы, макромолекулы, нанотрубки, слоистые вещества (включая глины, слоистые двойные гидроксиды, некоторые ксерогели).
Применение композиционных материалов обеспечивает новый качественный скачок в увеличении мощности двигателей, энергетических и транспортных установок, уменьшении массы машин и приборов.
Существует возможность введения в такие композиты дополнительных компонентов, что придает покрытию специфические, например, гидрофобные свойства. Гибридные твердые электролиты сочетают ионо- и электронопроводящие свойства различных органических молекул с термостойкостью и прочностью неорганической матрицы.
По структуре композиты делятся на несколько основных классов: волокнистые, слоистые, дисперсно-упрочненные, упрочненные частицами и нанокомпозиты.
Волокнистые полимерные композиты состоят из армирующего волокнистого наполнителя и полимерной матрицы (связующего). Уже небольшое содержание наполнителя в композитах такого типа приводит к появлению качественно новых механических свойств материала. Широко варьировать свойства материала позволяет также изменение ориентации размера и концентрации волокон. Свойства волокнистых полимерных композитов существенно зависят от составляющих их компонентов; их состава и свойств, взаимного расположения, свойств межфазной границы раздела, а в некоторых случаях от диффузии компонентов матрицы в волокна [8].
В слоистых композиционных материалах матрица и наполнитель расположены слоями, как, например, в особо прочном стекле, армированном несколькими слоями полимерных пленок.
Микроструктура остальных классов композиционных материалов характеризуется тем, что матрицу наполняют частицами армирующего вещества, а различаются они размерами частиц. Вкомпозитах, упрочненных частицами, их размер больше 1 мкм, а содержание составляет 20–25% (по объему), тогда как дисперсно-упрочненные композиты включают в себя от 1 до 15% (по объему) частиц размером от 0,01 до 0,1 мкм. Размеры частиц, входящих в состав нанокомпозитов – нового класса композиционных материалов – еще меньше и составляют 10–100 нм. В качестве добавки к полимерной матрице в нанокомпозитах используются различные нанонаполнители, как по химическому составу, так и морфологии. Свойства композитов такого типа могут изменяться при очень малых изменениях концентрации наполнителя благодаря его большой удельной поверхности и интенсивному межмолекулярному взаимодействию с полимером.
Свойства композитов во многом определяются, помимо других параметров, площадью поверхности раздела и интенсивностью межмолекулярного взаимодействия между материалами матрицы и наполнителя. Поскольку частицы нанонаполнителя преимущественно имеют размер менее 100 нм, то их более высокая удельная поверхность по сравнению с наполнителями с более крупными частицами позволяет существенным образом снизить степень наполнения композита. Переход к наноразмерности наполнителя при оптимизации параметров синтеза позволяет не только сократить его удельный расход, но и получать материалы с более высокими эксплуатационными характеристиками.
К наиболее распространенным нанонаполнителям могут быть отнесены: слоистые алюмосиликаты (глины), углеродные нанотрубки и нановолокна, ультрадисперсные алмазы (наноалмазы), фуллерены, неорганические нанотрубки, наночастицы оксида кремния, карбоната кальция, а также металлические наночастицы. Одной из важнейших задач при использовании нанонаполнителей является обеспечение их равномерного распределения в матрице композита.
Механические свойства композитов зависят от структуры и свойств межфазной поверхности. Так, сильное межфазное взаимодействие между матрицей и наполнителем обеспечивает высокую прочность материала, а значительно более слабое — ударную прочность. Наблюдаемая тенденция к улучшению свойств наполнителя (усиливающего элемента) при уменьшении его размеров объясняется снижением его макроскопической дефектности. Физические свойства обычного композита, в отличие от нанокомпозита, не могут превосходить свойств чистых компонентов [9].
1.2 Диэлектрические материалы
1.2.1 Основные виды диэлектрических материалов
Диэлектрическими материалами называют материалы, основным электрическим свойством которых является способность к поляризации и в которых возможно существование электростатического поля [10]. Электронная проводимость выражена слабо, т.к. валентные электроны довольно жестко связаны с ядром. Ширина запрещенной зоны между валентной зоной и зоной проводимости (3
8) эВ.
Диэлектрики отличаются от других веществ прочными связями электрических положительных и отрицательных зарядов, входящих в их состав. Вследствие этого электроны и ионы не могут свободно перемещаться под влиянием приложенной разности потенциалов. Практически в диэлектриках в силу ряда причин всегда имеется некоторое количество слабо связанных зарядов, способных перемещаться внутри вещества на большие расстояния. Иными словами, диэлектрики не являются абсолютными непроводниками электрического тока. Однако в нормальных условиях таких зарядов в диэлектриках очень мало, и обусловленный ими электрический ток, называемый током утечки, невелик. Обычно к диэлектрикам относятся вещества, имеющие удельную электрическую проводимость не больше 10-7 – 10-8 См/м. К диэлектрикам относятся многие жидкости, кристаллические, стеклообразные, керамические, полимерные вещества.
Назначение диэлектриков – создание устройств, изолирующих электрические цепи. Среди диэлектриков выделяют материалы, в которых наблюдается остаточная поляризация в электрических, механических и тепловых полях. В соответствии с этими явлениями выделяют классы сегнето, пъезо- и пироэлектриков.
Сегнетоэлектрики отличаются большой диэлектрической проницаемостью, высоким пьезомодулем, наличием петли диэлектрического гистерезиса.
При деформации пьезоэлектриков возникает электрическая поляризация (прямой пьезоэффект) и, наоборот, под действием электрического поля появляются механические деформации (обратный пьезоэффект). Этот эффект используется в пьезоэлектрических преобразователях (УЗ-технология, дефектоскопия, радиовещание, микрофоны, резонаторы и т.д.) [11].
Пироэлектрики — кристаллические диэлектрики, обладающие спонтанной (самопроизвольной) поляризацией. При изменении температуры величина спонтанной поляризации изменяется, что вызывает появление электрического поля.
1.2.2 Основные типы и особенности сегнетоэлектриков
Наиболее важной особенностью сегнетоэлектриков является высокая и обратимая поляризация, которая наблюдается при температуре вблизи точки Кюри-Вейсса. При температуре ТK диэлектрическая проницаемость достигает максимума, а затем спадает в соответствии с законом Кюри-Вейсса.
Сегнетоэлектрики, обладающие высокой диэлектрической проницаемостью (e), нелинейностью основных характеристик в зависимости от температуры, частоты и других параметров, а также большими значениями пьезоэлектрических коэффициентов, находят применение в следующих основных областях техники [10,12,13]:
1) изготовление малогабаритных низкочастотных конденсаторов с большой удельной емкостью;
2) использование материалов с большой нелинейностью поляризации для диэлектрических усилителей, модуляторов и других управляемых устройств;
3) использование сегнетоэлементов в счетно-вычислительной технике в качестве ячеек памяти;
4) использование кристаллов сегнето- и антисегнетоэлектриков для модуляции и преобразования лазерного излучения;
5) изготовление пьезоэлектрических и пироэлектрических преобразователей.
Сегнетоэлектрики часто превосходят также другие пьезоэлектрические материалы благодаря тому, что благодаря высоким значениям e они обладают высокими значениями коэффициента электромеханической связи, который последний характеризует долю электрической энергии, запасаемую в виде механической энергии. Тангенс угла потерь в таких сегнетоэлектриках обычно порядка 0,01.
Важной задачей является разработка сегнетоэлектриков, стабильно сохраняющих требуемые параметры при комнатной температуре. Такое управление свойствами возможно посредством изменения состава твердых растворов, причем управлять свойствами можно также путем введения определенных добавок в процессе изготовления керамики.
В техническом применении сегнетоэлектриков наметилось несколько направлений, важнейшими из которых следует считать:
— конденсаторная сегнетокерамика, как и любой диэлектрик, для производства обычных конденсаторов, должна иметь наибольшую величину диэлектрической проницаемости с малой зависимостью от температуры, незначительные потери, наименьшую зависимость ε и tgδ от напряженности электрического поля (малую нелинейность), высокие значения удельного объемного и поверхностного сопротивлений и электрической прочности.
— нелинейность диэлектрической проницаемости сегнетоэлектриков на оптических частотах приводит к большому электрооптическому эффекту, что делает эти кристаллы перспективными для управления пучком когерентного излучения лазеров. В качестве примера можно сослаться на предложенное недавно одно из таких устройств, работающее по принципу интерферометра Фабри — Перо.
Классифицировать сегнетоэлектрики можно по разным признакам. Наиболее распространена классификация сегнетоэлектриков в соответствии со структурой и связанной с ней механизмом возникновения спонтанной поляризации при фазовом переходе [10,12,13]. По этому признаку они подразделяются на сегнетоэлектрики типа «смещения», у которых переход в сегнетоэлектрическую фазу связан со смещением ионов, и сегнетоэлектрики типа «порядок-беспорядок», у которых при переходе в сегнетоэлектрическую фазу происходит упорядочение имевшихся в исходной фазе диполей.
Сегнетоэлектрики типа «смещения» подразделяются на две основные группы: группу перовскита и группу псевдоильменита.
Сегнетоэлектрики группы перовскита могут существовать в виде монокристаллов или керамики. Характерная особенность структуры кристаллов этой группы — наличие кислородного октаэдра, внутри которого располагается 4- или 5- валентный ион Ti, Zr, Nb или другой ион с малым ионным радиусом. В параэлектрической фазе кристаллы этой группы имеют кубическую структуру. В вершинах куба располагаются ионы Ba, Pb, Cd и др. Ионы кислорода размещаются в центре граней куба, образуя октаэдр. Возникновение спонтанной поляризации в них связано с изменением ионов титана. Важная особенность таких сегнетоэлектриков способность образовывать твердые растворы с соединениями аналогичной структуры, например BaTiO3 -SrTiO3, PbTiO3 -PbZrO3. Сегнетоэлектрики группы псевдоильменита имеют ромбоэдрическую структуру. Характерная особенность кристаллов группы псевдоильменита — высокая температура Кюри. Эти кристаллы наиболее широко применяются в акустических устройствах на поверхностных объемных волнах: пьезопреобразователях, полосовых фильтрах, резонаторах, линиях задержки, ВЧ акустооптических модуляторах; они применяются также в устройствах нелинейной оптики и электроники и в пироприемниках.
Сегнетоэлектрики типа «порядок — беспорядок» делятся на три основные группы: группу дигидрофосфата калия (KDP) — дигидрофосфаты и дигидроарсенаты щелочных металлов (KH2 PO4, PdH2 PO4, KH2 AsO4, RbH2 AsO4, CsH2 AsO4 ) и их дейтриевые аналоги; группу триглицинсульфата (ТГС) – (H2 CH2 COOH3 )×H2 SO4; жидкокристаллические сегнетоэлектрики. Упорядочивающимися элементами структуры в сегнетоэлектриках группы KDР являются протоны (дейтроны) в водородных связях. Возникновение спонтанной поляризации связано с тем, что положения всех протонов становятся упорядоченными. Основные применения этой группы кристаллов — в устройствах нелинейной оптики и электрооптики. Сегнетоэлектрические свойства кристаллов группы ТГС обусловлены упорядочиванием протонов в водородных связях что приводит к возникновению диполей у молекул глицина и сульфатионов.
Жидкокристаллические сегнетоэлектрики — широкий класс жидких кристаллов, содержащих упорядочивающиеся полярные молекулы. Они обладают рядом электрических и оптических свойств, характерных для сегнетоэлектриков: резким фазовым переходом, сопровождающимся аномалиями тепловых, диэлектрических и оптических свойств; высокими значениями диэлектрической проницаемости (~ 102 ) и другими. Некоторые жидкокристаллические сегнетоэлектрики обнаруживают петли диэлектрического гистерезиса. Оптические свойства сильно зависят от температуры и направленности внешнего электрического поля; на этом основаны наиболее важные применения таких сегнетоэлектриков: оптические индикаторы, транспаранты, дисплеи и другие.
В целом диэлектрики, к которым относится большая часть ионных кристаллов, характеризуются: а) высокой электрической прочностью, т.е. устойчивостью к деградации (изменению структуры) при высоких напряженностях электрического поля; б) низкими диэлектрическими потерями (tg) в переменном электрическом поле.
1.2.3 Важнейшие характеристики диэлектриков
Основными характеристиками диэлектрических материалов являются [14]:
1. Диэлектрическая проницаемость () – безразмерная величина, характеризующая свойства изолирующей (диэлектрической) среды и показывающая, во сколько раз емкость конденсатора в данной среде превышает емкость того же конденсатора в вакууме e = С/Сo .
Емкость конденсатора в вакууме составляет Co = eo S/d, диэлектрическая проницаемость вакуума в международной системе физических величин (СИ) является размерной величиной eo =
= 8,854.10-12Ф/м .
Диэлектрическая проницаемость связана с поляризуемостью диэлектрика (a), определяющей возможность переориентации его структурных элементов во внешнем электрическом поле и характеризующаяся коэффициентом, связывающим дипольный момент (р) и локальное электрическое поле (Е)
| p = aЕ, | (1) |
причем a = ae + ai + ad + as, где ae — смещение электронного облака, ai — ионов, ad — диполей, as — объемного заряда.
Электронная поляризуемость ae возникает в результате смещения электронных орбиталей атомов относительно ядер и присуща всем твердым телам. У некоторых твердых веществ, например алмаза, e — единственная составляющая поляризуемости; ai — связана с относительным смещением или разделением катионов и анионов в твердом теле (определяет поляризацию в ионных кристаллах); ad — возникает в веществах, имеющих постоянные электрические диполи (H2 O, HCl ), которые могут удлиняться или менять ориентацию под действием поля.
Соотношение между ионной и электронной поляризацией характеризует меру упорядоченности электронов относительно ионов кристаллической решетки:
(2)
По вкладу в величину поляризации и диэлектрическую проницаемость as > ad > ai >ae. Эти составляющие поляризуемости находят из емкостных, микроволновых и оптических измерений в широком интервале частот (f) (рисунок 1).
Поляризуемость и диэлектрическая проницаемость диэлектриков сильно зависят от частоты прилагаемого электрического поля f.
При f <103 Гц все составляющие дают вклад в величину p. При f>106 объемный заряд не успевает образоваться у большинства ионных кристаллов. При f>109 (микроволновая область) — нет поляризации диполей. Область f >1012 (оптическая), где единственная составляющей поляризации является ae. В оптической области n2 = e'¥ (показатель преломления в видимой области спектра).
Общий вид зависимости диэлектрической проницаемости от частоты приведен на рисунке 1.

Рисунок 1 — Зависимость диэлектрической проницаемости от частоты
В области между
и
диэлектрическую проницаемость представляют в виде комплексной величины e* = e' — je", где e` — вещественная составляющая, а
где w = 2p f (угловая частота), t — время релаксации (сейчас для описания сложных процессов поляризации в диэлектриках вводится понятие «распределение времен релаксации»).
2. Тангенс угла диэлектрических потерь ( tgδ ) – безразмерная величина, характеризующая рассеяние электрической энергии в конденсаторе, связанное с переходом этой энергии в тепловую (нагревом конденсатора) и рассеянием в окружающей среде. δ – угол потерь, дополняющий до 90
угол сдвига между током и напряжением в цепи конденсатора и отличный от нуля в силу наличия у реального диэлектрика конечного, а у обкладок – отличного от нуля сопротивления постоянному току и запаздывания поляризации диэлектрика по отношению к изменению внешнего поля. Значения tgδ при заданных внешних условиях зависит от свойств диэлектрика (на не слишком высоких частотах) и материала обкладок. Определяющими величину tgδ процессами в диэлектрике являются его электропроводность и релаксационная поляризация.
Тангенс диэлектрических потерь определяется соотношением:
| "/` = tg (4) |
Величина tgd для высококачественных диэлектриков составляет порядка 0,001. Например для керамических конденсаторов номиналом (емкостью С) 10...50 пФ tgd не превышает 1,5(150/С+7). 10-4. Для конденсаторов номиналом С > 50 пФ tgd не выше 0,0015. Для конденсаторов с емкостью порядка 0,01 мкФ tg ~ 0,035.
Характеристики диэлектриков определяют с использованием вольт-емкостных (C-V) или вольт-фарадных (ВФХ) методов [15].
1.2.4 Факторы, влияющие на свойства диэлектрических материалов
Одним из важнейших факторов, определяющим диэлектрические свойства материалов, является характер остаточной поляризации после прекращения действия внешних электрических, механических и тепловых полей.
В отсутствии внешнего электрического поля сегнетоэлектрики, как правило, имеют доменную структуру, то есть разбиваются на микроскопические области, обладающие спонтанной поляризацией.
Сегнетоэлектрики обладают высокой ` и остаточной поляризацией, что определяет высокую емкость изготавливаемых на их основе конденсаторов. Зависимость между величиной поляризации (Р, Кл/см2 ) и напряженностью электрического поля характеризуется гистерезисом. Форма гистерезиса определяет величину остаточной поляризации (Р R ) и коэрцитивного поля (Н с ), которое снимает поляризацию. Например, для BaTiO3 Ps = 0,26 Кл/см2 при 23 С. Зависимость ` от Т достигает максимума при температуре Кюри-Вeйсса (Тс ) .

Под действием электрического поля могут происходить следующие процессы: изменение направления поляризации доменов; возрастание поляризации в пределах домена, если не все октаэдры имели одно направление поляризации; движение «стенок» доменов, т.е. изменение их размеров (рисунок 2) .
В антисегнетоэлектриках спонтанная поляризация Ps = 0, отсутствует гистерезис, но вблизи Т c также наблюдается максимальная e ' .

Рисунок 2 — Схема ориентации вектора поляризации структурных единиц в сегнетоэлектриках
Величина напряженности электрического поля может влиять на фазовые переходы второго рода в сегнетоэлектриках (рисунок 3).

Рисунок 3 — Влияние температуры на ориентационные фазовые переходы типа порядок-беспорядок в PbZrO3
Поскольку максимальная диэлектрическая проницаемость сегнетоэлектриков достигается при Tc, то необходимо приблизить Тс к рабочей температуре (обычно около25 С).
1.3 Материалы с высокой диэлектрической проницаемостью
1.3.1 Диэлектрические полимерные материалы
Полимеры с особыми электрическими свойствами находят все более широкое применение в толстопленочной электронике для создания функциональных слоев и композитов. Использование полимеров позволяет построить более гибкие, перенастраиваемые технологии, снизить себестоимость продукции. В частности, полимеры с высоким значением диэлектрической проницаемости используются при формировании конденсаторов а также электролюминесцентных источников света (ЭЛИС).
Выбор полимерного связующего для композитов, составляющих макроструктуру электролюминесцентного конденсатора, определяется требованиями к электрофизическим свойствам функциональных слоев.
Разработка новых высокомолекулярных соединений с высокой ε внесла бы существенный вклад в производство изделий пленочной электроники, конденсаторов, а также электролюминесцентных источников света [16, 17, 21].
Широко применяемые полимерные материалы характеризуются невысокими значениями , которые не превышают 1,5–4 [18]. Диэлектрическую постоянную полимера можно увеличить до 4–6 посредством его растворения в некоторых низкомолекулярных диэлектриках с большим значением ε. Это, однако, связано с повышением электропроводности и tg δ материала, что очень нежелательно [19].
Включение в основную цепь полимера боковых ответвлений с сильно полярными группами, например цианэтиловыми, увеличивает ε полимеров, чаще всего не понижая их других диэлектрических свойств [20].
Полимеры такого типа получают двумя способами:
— введением цианэтиловой группы в полимеры, имеющие реакционно-способные атомы водорода,
— полимеризацией или сополимеризацией мономеров, содержащих цианэтиловые группировки.
Важным классом полимерных материалов, обладающих высокими значениями диэлектрической проницаемости, являются цианэтиловые эфиры поливинилового спирта (ЦЭПС) общей формулы:

в которой х, у, w , z являются целыми числами, удовлетворяющими следующим условиям: w + x + y = 100, где 10 £ w £ 80, 0 < õ £ 30, 10 £ y £ 80, 0 < z £ 10.
ЦЭПС представляют собой сополимеры, получаемые посредством реакции цианэтилирования поливинилового спирта (ПВС) при взаимодействии с акрилонитрилом. Цианэтилирование катализируется щелочами, третичными аминами, алкоголятами щелочных и щелочноземельных металлов и др. Степень полимеризации зависит от свойств исходного ПВС и порой достигает до 105 .
Наличие в ЦЭПС полярных функциональных групп –(( CH 2 )2 – CN ), –ОН ,
–C–O–С– обеспечивает при нормальных условиях высокие значения e =18-25 при tg δ 0,10-0,2, причем электрическая прочность пленок составляет 35-45 МВ/м [22-23].
Одним из перспективных направлений является создание новых композиционных полимерных материалов с высоким удельным энергосодержанием (более 105 Дж/м3 ) для высоковольтной импульсной техники. Такие материалы могут найти применение в качестве изоляции емкостных накопителей энергии, работающих на импульсном напряжении. Композиционные полимерные материалы для емкостных накопителей энергии должны обладать стабильными электрофизическими характеристиками в широком диапазоне частот внешнего электрического поля. Проблема заключается в том, что существенное повышение диэлектрической проницаемости композиционных полимерных материалов возможно при условии высокой степени полярности и совместимости составляющих его компонентов. Повышение полярности компонентов органического происхождения ведет к возникновению частотных областей дисперсии комплексной диэлектрической проницаемости, что обуславливает нестабильность характеристик самой полимерной матрицы. Введение мелкодисперсного наполнителя неорганического происхождения существенно модифицирует структуру и свойства композиционных полимерных материалов за счет межфазных взаимодействий и образования граничного нанослоя вблизи частиц наполнителя [24-28]. Это определяет особенности временнoго распределения локального поля в отдельных областях полимерной системы и частотной дисперсии эффективной комплексной диэлектрической проницаемости КПМ. В этой связи, при разработке КПМ необходимо иметь информацию о частотном спектре комплексной диэлектрической проницаемости самой полимерной матрицы и основных закономерностях изменения параметров спектра диэлектрической релаксации при введении в полимерную матрицу частиц наполнителя неорганического происхождения. В [29-30] показано, что применение пластифицированного поливинилхлорида (ПВХ) в качестве полимерной матрицы и материалов с высокой диэлектрической проницаемостью – сегнетоэлектрической керамики ЦТС-19 или диоксида титана TiO2 с размером частиц ~1 мкм. позволяет получать композиционные полимерные материалы с высоким удельным энергосодержанием (до 105 Дж/м3 ) в миллисекундном диапазоне длительностей фронта импульсного напряжения (τφ =5...10 мс).
1.3.2 Неорганические диэлектрические материалы
Материалы, обладающие большими значениями диэлектрической проницаемости, а также материалы, диэлектрическая проницаемость которых определенным образом изменяется при изменениях температуры, представляют большой интерес для развития электронной техники.
В серии исследований, проводимых начиная с конца 1930х гг. [31], было показано, что одним из наиболее перспективным классов материалов, обладающих высокой диэлектрической проницаемостью и особым характером ее зависимости от температуры, являются титанаты металлов II группы Периодической системы. В частности, для ряда специфических задач электроники были разработаны системы, состоящие из материалов с положительным и отрицательным температурным коэффициентом диэлектрической проницаемости, в качестве первого из которых титанат магния, а в качестве второго – соединение двуокиси титана с доломитом MgCa(CO3 )2 [32].
Было также обнаружено резкое различие в диэлектрических свойствах титанатов в зависимости от природы металла (таблица 1), определяющей тип кристаллической решетки.
Таблица 1 — Типы кристаллической решетки и значения диэлектрической проницаемости титанатов металлов II группы Периодической системы
| Под — группа | Щелочно-земельный металл | Тип кристаллической решетки | Диэлектрическая проницаемость |
| I | Be Ca Sr Ba | - Перовскит Перовскит Перовскит | 70 115 150 >1000 |
| II | Mg Zn Cd | Ильменит - Ильменит | 17 30 62 |
Наблюдаемые различия могут быть обусловлены двумя факторами – размерами и, соответственно, поляризуемостью катионов, а также типом кристаллической решетки, соответствующей структуре перовскита (титанаты кальция, стронция и бария) или ильменита (титанаты магния, цинка и кадмия).
Дальнейшие исследования показали, что преобладающее значение имеет второй фактор и решетка типа перовскит (рисунок 4) благоприятствует получению значительно более высоких величин диэлектрической проницаемости [32].
С увеличением радиуса иона щелочноземельного металла в решетках типа перовскит должно несколько увеличиться расстояние между ионами, что приводит к уменьшению жесткости связи между ними или к большей податливости в электрическом поле, т. е. к большей поляризуемости и возрастанию диэлектрической проницаемости.

Рисунок 4 — Кристаллическая решетка типа перовскит на примере BaTiO3
Среди перовскитов особо выделяется титанат бария, обладающий диэлектрической проницаемостью, превышающей 1000. Эту особенность титаната бария можно сопоставить с тем, что среди исследованных соединений, как видно из данных, приведенных в таблице 2, он является единственным, у которого расстояние между ионами титан — кислород больше, чем сумма их радиусов, что определяет рыхлость кристаллической решетки титаната бария и его аномально высокую диэлектрическую проницаемость.
Таблица 2 — Структурные характеристики титанатов кальция, стронция и бария
| Титанат | Размер ребра элементарного куба | Расстояние между ионами Ti и О | Сумма радиусов ионов Ti и О |
Титанат Ca Титанат Sr Титанат Ba | 3,80 3,89 3,97 | 1,90 1,95 1,99 | 1,96 1,96 1,96 |
Установление сверхвысокой диэлектрической проницаемости у титаната бария побудило исследователей сосредоточить дальнейшую работу на исследовании его как вещества, обладающего особыми диэлектрическими свойствами.
1.3.3 Титанат бария – неорганический материал со сверхвысокой диэлектрической проницаемостью
Титанат бария получают с использованием стандартной керамической технологи путем спекания порошкообразных ВаСО3 и TiO2, взятых в стехиометрическом в платиновой или силитовой печи при температуре 1370 — 1450° С. Кроме того, кристаллы титаната бария могут быть выращены из раствора ВаСО3 и TiO2 в расплавленном ВаС12 в избытке ВаСО3 [32].
Поликристаллический титанат бария представляет собой керамику, в которой имеются отдельные микрокристалики, хаотически расположенные друг относительно друга, и прослойки стекловидной фазы; последней в хороших образцах, полученных при сравнительно высокой температуре спекания (около 1450° С), относительно немного — 1—2% по весу.
При температуре ниже точки Кюри и в отсутствии больших внешних полей направления спонтанных электрических моментов отдельных микрокристаликов распределены хаотически, с чем и связано отсутствие суммарного момента образца. Как мы увидим впоследствии, под влиянием достаточно больших внешних полей спонтанные моменты отдельных микрокристаликов могут менять свою ориентацию, что меняет суммарную поляризацию образца.
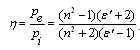
Сверхвысокая диэлектрическая проницаемость титаната бария, ее взаимосвязь со структурными особенностями материала, характерная зависимость от температуры и наличие диэлектрического гистерезиса позволяют отнести BaTiO3 к новому виду сегнетоэлектриков.
1.3.3.1 Структурные особенности кристаллов BaTiO3
C точки зрения кристаллохимии диэлектрические свойства титаната бария определяются следующими факторами. Существует два возможных варианта строения элементарной ячейки перовскита BaTiO3 [14]:
(1) Тi4+ размещается в вершинах, Ва2+ — в центре куба, а O2- — в середине ребер;
(2) ионы Ва2+ размещаются в вершинах куба, Ti4+ — в центре, а ионы O2– – в центрах граней.
С химической точки зрения (возможности квантово-химического расчета и экспериментального регулирования свойств диэлектриков) структура перовскита состоит из октаэдров TiO6, а ионы Ba2+ размещаются в образующихся пустотах. В такой идеальной структуре, существующей при температурах выше 120 С, все заряды расположены симметрично, собственный дипольный момент отсутствует и BaTiO3 является обычным диэлектриком с высокой '. При снижении температуры ионы Ti4+ смещаются к вершине октаэдра на 0,1 Å (при средней длине связи Ti-O 1,95 ), что подтверждается данными рентгеноструктурного анализа. При этом образуются домены размером 1...10 нм с одинаковым направлением вектора поляризации (в пределах домена поляризация обычно в одном кристаллографическом направлении). Собственная поляризация сегнетодиэлектрика равна векторной сумме поляризаций доменов.
1.3.3.2. Зависимость диэлектрических свойств BaTiO3 от температуры
Диэлектрическая проницаемость, измеренная в малом поле (не свыше 30 В/см) характеризуется экстремальной зависимостью от температуры с резким максимумом около 370 К (рисунок 5) [33].
В ряде исследований [33] методом рентгеновского анализа было показано изменение кристаллической структуры ВаТiО3 в точке перехода (точке Кюри). При температуре выше 120° С титанат бария имеет идеальную кубическую решётку типа перовскит. При температуре 20° С решётка ВаТiО3 является тетрагональной с отношением осей 1,0101 (часто называемой псевдокубической). При 120° С ВаТiО3 претерпевает фазовый переход второго роды, заключающийся в гомогенном расширении вдоль одной из осей, Данные исследования явились непосредственным экспериментальным доказательством наличия в титанате бария фазового перехода второго рода, на основании представления о котором В. Л. Гинзбургом была построена теория сегнетоэлектрических явлений.

Рисунок 5 — Зависимость диэлектрической проницаемости BaTiO3 от температуры
Было обнаружено также сосуществование кубической и тетрагональной фаз в пропорции, зависящей от температуры, в интервале температур в несколько градусов вблизи точки перехода. Это явление может объясняться наличием местных напряжений, которые могут ускорять или замедлять переходы, в зависимости от их направления, в отдельных областях поликристаллического образования ввиду незначительной разницы энергий обоих состояний в этом интервале температур.
1.3.3.3 Влияние примесей на диэлектрические свойства ВаТ i О3
Исследования зависимости структуры и свойств титаната бария от условий синтеза показали, что примеси в значительной степени определяют структурные особенности и диэлектрические характеристики BaTiO3. Так, при изготовлении образцов из химически чистых исходных продуктов была обнаружена модификация титаната бария, не обладающая сегнетоэлектрическими свойствами. Напротив, титанат бария, полученный из технических материалов, всегда являлся сегнетоэлектрическим и обладает при комнатной температуре тетрагональной структурой, что, очевидно, связано с наличием в нём достаточного количества естественных примесей [32]. В целом наличие примесей обусловливает кристаллизацию титаната бария в решётку типа перовскит, с переходом к которой и связаны его сегнетоэлектрические свойства [31]. Малое количество необходимых примесей говорит о каталитическом характере их действия, так как для искажения решётки равномерным внедрением примесей по всему объёму их явно недостаточно [32].
Изменить свойства сегнетоэлектриков со структурой перовскита можно за счет введения катионов Ni2+, Ta2+, Sn2+, Pb2+, Bi2+ и другие, связи которых с кислородом неравноценны из-за наличия свободной пары электронов и которые отличаются по размерам от ионов Ti4+ и Ba2+. Замещение Ba2+ на Sr2+ с меньшим радиусом приводит к сжатию элементарной ячейки и снижению Тc. Замещение Тi4+ на более крупные Zr4+ и Sn4+ приводит к резкому падению Тc [14].
1.3.4 Органо-неорганические диэлектрические композиты
Органо-неорганические (полимерно-неорганические) диэлектрические композиционные материалы, сочетающие гибкость и адгезионные свойства полимерного связующего с высокой диэлектрической проницаемостью неорганического наполнителя, являются важным компонентом различных электронных устройств, в частности электролюминесцентных источников света (ЭЛИС). От диэлектрических свойств полимерного связующего зависит толщина ЭЛИС, величина напряжения, питающего источник света, и физико-механические свойства функциональных слоев. Основными факторами, определяющими диэлектрические свойства композитов данного типа, являются как диэлектрические характеристики их компонентов, так и характер их взаимодействия (совместимость), который в значительной степени зависит от свойств поверхности используемых материалов. Межфазная область композита может иметь диэлектрическую проницаемость, значительно отличающуюся от полимерной фазы из-за ковалентного связывания полимерных молекул с поверхностью частиц [34].Кроме того, образование химической связи компонентов в композите (полимер/наполнитель) определяет диэлектрическую проницаемость межфазного слоя. То есть, если учитывать существование «межфазных» областей на поверхности раздела полимер/наполнитель и полагать, что межфазная область включает полимерные молекулы, которые связаны или во всяком случае ориентированы на поверхности частиц наполнителя, то это приводит к уникальным физическим и электрическим свойствам наполненных полимерных композитов [34].
Вместе с тем межфазный слой обычно отличается от основного объема концентрацией отдельных компонентов системы или примесей и, следовательно, типом диполей, их удельной концентрацией и взаимным расположением. Поскольку толщина межфазного слоя может достигать нескольких микрометров, его вклад в полярность пленки может быть существенен. Изменение полярности пленки за счет адгезионных взаимодействий и структурообразования в переходной зоне зависит от природы и функционального состава, как полимера, так и поверхности подложки, способа подготовки поверхности и условий формирования.
На адгезию полимеров влияет не только полярность, но и гибкость макромолекул: от полярности зависит уровень межфазного взаимодействия, а от гибкости – диффузионная способность сегментов цепей и характер их расположения на поверхности подложки. адгезионная прочность повышается за счет увеличения полярности, поскольку гибкость молекул при этом несколько снижается, о чем свидетельствует рост температуры стеклования на 23 °С. Однако для каждой полимерной системы существует оптимум концентрации полярных групп, выше которого диполь-дипольное взаимодействие между этими группами ограничивает сегментальную подвижность и уменьшает вероятность контакта функциональных групп полимера с поверхностью твердых тел (наполнителей или подложек). В связи с этим актуальной задачей является оптимизация функционального состава поверхности наполнителя, обеспечивающая его эффективное взаимодействие с наполнителем и оказывающая ориентирующее действие на полярные группы и структурные единицы в составе материала при воздействии электрического поля
В последние годы кафедрами ТОМ и ХНиМЭТ была выполнена серия исследований по созданию композиционных материалов на основе ЦЭПС с титанатом бария в качестве наполнителя и их модифицированию с целью максимального улучшения диэлектрических характеристик.
В ходе исследований было определено оптимальное содержание BaTiO3 в составе композита, которое составило около 40 об.%, обеспечивающее получение материалов с максимальной величиной , а также показано, что диэлектрическая проницаемость композитов может быть существенно повышена за счет модифицирования поверхности BaTiO3 с использованием методов термической обработки, гидратации и электронно-лучевой обработки при оптимальных параметрах соответствующих процессов [35, 36]. Исследование взаимосвязи между свойствами поверхности модифицированного BaTiO3 и диэлектрической проницаемостью композитов, получаемых при его диспергировании в матрице ЦЭПС, показало, что достигаемый эффект обусловлен изменением функционального состава поверхности наполнителя. Было установлено, что величина композитов ЦЭПС-BaTiO3 возрастает как с уменьшением размера частиц наполнителя (ростом его удельной поверхности), так и с увеличением содержания на их поверхности определенных функциональных групп (в частности, бренстедовских основных центров с рКа 8…13), обусловливающих эффективное взаимодействие с полимерным связующим [35, 36].
В целом была установлена близкая к линейной корреляция между диэлектрической проницаемости композитов, наполненных модифицированными образцами титаната бария, и произведением квадрата удельной поверхности на суммарное содержание бренстедовских основных центров qpK (БО) (рисунок 6) Наблюдаемая корреляция хорошо описывается следующим соотношением:
e = e o + A · S óä 2 ×S qpK (БО) (5)
с коэффициентом линейной корреляции 0,92.

Рисунок 6 — Изменение диэлектрической проницаемости композитовв зависимости от удельной поверхности титаната бария и содержаниябренстедовских основных центров
Можно дать следующую интерпретацию коэффициентам указанного соотношения e o и А. Поскольку полимерные композиты содержат 40 объемных % наполнителя, то удельная поверхность не может быть равна нулю. Поэтому величину e o @ 82, полученную экстраполяцией к нулевому значению абсциссы, можно считать диэлектрической постоянной композита при отсутствии взаимодействия между полимером и твердой поверхностью, т.е. в отсутствие на поверхности наполнителя бренстедовских основных центров (S qpK (ÁÎ) = 0). Коэффициент A характеризует толщину межфазного слоя и определяется свойствами полимера. Чем больше величина А, тем большая доля полимера в композите переходит в ориентированный межфазный слой и, соответственно, тем сильнее меняются свойства композита в целом.
Получаемые диэлектрические композиционные материалы находят применение в качестве защитных диэлектрических слоев в составе различных электронных устройств, в частности электролюминесцентных источников света (ЭЛИС). Конструкция ЭЛИС, в состав которой входит защитный слой на основе диэлектрического композиты, представлена на рисунке 7.

1 — излучающий слой; 2 — защитный (диэлектрический) слой; 3 — прозрачный электрод; 4 — непрозрачный электрод; 5 — стеклянная или полимерная подложка; 6 — внешние электроды.
Рисунок 7 – Схема конструкции ЭЛИС
2. ЦЕЛЬ И ЗАДАЧИ РАБОТЫ
Целью работы являлось исследование влияния условий модифицирования субмикронного титаната бария на эффективность его использования в качестве наполнителя в полимерно-неорганическом композиционном материале для защитного диэлектрического слоя в составе электролюминесцентных источников света.
Задачи работы:
1. Подготовка аналитического обзора по композиционным материалам, основным характеристикам их компонентов и возможностям улучшения их диэлектрических свойств.
2. Модифицирование титаната бария (BaTiO3 ) введением различных оксидных добавок с использованием золь-гель метода.
3. Исследование образцов исходного и модифицированного титаната бария методами адсорбции кислотно-основных индикаторов, электронной спектроскопии диффузного отражения (ЭСДО), атомно-силовой микроскопии (АСМ) и измерения удельной поверхности.
4. Изготовление композитов на основе ЦЭПС в качестве полимерной матрицы и исследуемых образцов исходного и модифицированного BaTiO3 в качестве дисперсного наполнителя.
5. Измерение диэлектрической проницаемости полученных композитов. Проанализированы корреляции между диэлектрической проницаемостью композитов и содержанием ряда активных центров на поверхности наполнителя.
6. Установление корреляций между параметрами модифицирования BaTiO3, его структурно-химическими характеристиками и диэлектрической проницаемостью композитов, получаемых при его диспергировании в матрице ЦЭПС.
модифицированный титанат барий наполнитель диэлектрический
3 . ЭКСПЕРИМЕНТАЛЬНАЯ ЧАСТЬ
3.1 Объекты и методы исследования
3.1.1 Химические реактивы
В данной работе использовали титанат бария марки HPBT-1B производства FujiTitanium (Япония) с удельной поверхностью 2.47±0.04 м2 /г, диэлектрической проницаемостью e » 4400 и размером частиц 300-400 нм.
Для модифицирования исходного титаната бария добавками оксидов титана, кобальта, ниобия, ванадия и вольфрама использовали следующие соединения-прекурсоры:
— тетрахлорид титана TiCl4 ,
— титановая кислота H2 TiO3 ,
— нитрат кобальта Co(NO3 )2 ,
— гидроксид кобальта Co(OH)2 ,
— хлорид ниобия NbCl5
— мета-ванадат аммония NH4 VO3
— пара-вольфрамат аммония (NH4 )10 W12 O41 *nH2 O
В качестве полимерной матрицы для изготовления композиционных материалов использовали цианэтиловый эфир поливинилового спирта (ЦЭПС)

с молекулярной массой около 55000 и диэлектрической проницаемостью ε~19, синтезированный в ОАО «Пластполимер».
3.2 Методы синтеза
3.2.1 Модифицирование титаната бария введением оксидных добавок золь-гель методом
Модифицирование титаната бария оксидными добавками осуществляли в Институте химии силикатов РАН осаждением из соответствующих прекурсоров с использованием золь-гель метода, основанного на реакциях поликонденсации неорганических соединений [37, 38].Преимуществом данного метода является то, что он позволяет управлять структурой конечного продукта еще на стадии образования гелей, исключить многочисленные стадии промывки, так как в качестве исходных веществ используют соединения, не вносящие примеси в состав конечного продукта, а также обеспечить получение однородного продукта на молекулярном уровне и его высокую чистоту.
Для полного удаления непрореагировавших при гидролизе компонентов и обеспечения химической однородности вводимых в состав BaTiO3 оксидных добавок исследуемые образцы подвергали отжигу в муфельной печи в кварцевых тиглях при температуре 700С в течение 1 часа.
3.2.2 Изготовление композитов состава ЦЭПС- BaTiO 3
Для приготовления композитов исследуемые наполнители диспергировали в ЦЭПС объемом 5 мл в расчетном количестве, соответствующем оптимальной концентрации наполнителя 40 об.%, установленной в серии ранее проведенных исследований [35]. Затем полученные образцы подвергали перемешиванию керамической мешалкой в закрытых стеклянных емкостях на вращающихся валках в течение 2 часов.
Полученные композиционные материалы методом полива через фильеру наносили тонким слоем на поверхность стекла с плотно притертым слоем алюминиевой фольги. Затем полученные образцы сушили в течение суток на воздухе и в течение 5 часов в вакууме при температуре 70С. После этого на поверхность композиционного материала наносили электроды из проводящей серебряной пасты ConductivePasteSMobIChem (ScientificEng., Ltd.) площадью 1 см2. Полученные конденсаторы использовали для измерения диэлектрической проницаемости. Для сравнения в аналогичных условиях был изготовлен конденсатор с использованием исходного немодифицированного BaTiO3 .
3.3 Методы исследования
3.3.1 Адсорбция кислотно-основных индикаторов
Полученные образцы анализировали индикаторным методом (адсорбции кислотно-основных индикаторов) с целью изучения изменений функционально-химического состава поверхности в зависимости от условий обработки. Данный метод основан на адсорбции кислотно-основных индикаторов с различными значениями величины рКа, характеризующей точку перехода между кислотной и основной формами индикатора (HIndInd- + H+), сопровождающегося изменением его окраски. При взаимодействии с поверхностью происходит частичная адсорбция индикатора на активных центрах с соответствующим значением рКа, приводящая к изменению интенсивности окраски, которое можно зафиксировать спектрофотометрически, что позволяет количественно охарактеризовать содержание активных центров адсорбции данного типа.
Предварительно были приготовлены водные растворы кислотно-основных индикаторов, имеющих разные значения рКа перехода между кислой и основной формами в интервале от –5 до 15. Характеристические значения рКа используемых индикаторов и длины волн, соответствующие максимуму их оптического поглощения, приведены в таблице 3.
Таблица 3 — Характеристики кислотно-основных индикаторов
| Индикатор | рKa | макс., нм |
| Этиленгликоль | 14,2 | 200 |
| Индигокармин | 12,8 | 610 |
| Нильский голубой | 10,5 | 640 |
| Тимоловый синий | 8,8 | 430 |
| Бромтимоловый синий | 7,3 | 430 |
| Бромкрезоловый пурпурный | 6,4 | 590 |
| Метиловый красный | 5,0 | 430 |
| Бромфеноловый синий | 4,1 | 590 |
| Метиловый оранжевый | 3,5 | 460 |
| М-нитроанилин | 2,5 | 340 |
| Фуксин (основание) | 2,1 | 540 |
| Бриллиантовый зеленый | 1,3 | 610 |
| Кристаллический фиолетовый | 0,8 | 580 |
| о-Нитроанилин | 0,3 | 410 |
| п-Хлор-нитроанилин | 0,9 | 330 |
| Динитроанилин | 4,4 | 340 |
В ходе эксперимента определяли оптическую плотность (D) растворов указанных индикаторов в следующих условиях:
1. К раствору индикатора, взятому в объеме Vind, в пробирках добавляли дистиллированную воду до 5 мл и после перемешивания измеряли оптическую плотность холостой пробы (D0).
2. К 5 мл раствора, полученного аналогично п.1, добавляли навеску исследуемого вещества массой m1 20 мг и после установления адсорбционно-десорбционного равновесия (через ~ 1 час) измеряли оптическую плотность (D1 ). При этом учитывалось изменение оптической плотности в результате как адсорбции индикатора поверхностью материала, так и взаимодействия исследуемого вещества с водой.
3. Навеску исследуемого вещества массой m2 20 мг помещали в дистиллированную воду объемом 3 мл и выдерживали в течение часа, давая возможность установиться адсорбционно-десорбционному равновесию между водой и поверхностью материала. После этого воду декантировали в другую пробирку, к ней добавляли раствор индикатора объемом Vind и доливали воду до 5 мл, после чего измеряли оптическую плотность (D2 ). При этом учитывалось изменение оптической плотности исключительно в результате взаимодействия исследуемого вещества с водой, что позволяло исключить этот фактор при сопоставлении результатов.
Индикаторы с наиболее низкими (как правило отрицательными) значениями рКа селективно адсорбируются на активных центрах основного льюисовского типа (содержащих неподеленную электронную пару и способных к диссоциативной адсорбции молекул воды с захватом протона). Далее по мере увеличения величины рКа индикаторов их селективная адсорбция происходит на бренстедовских кислотных (рКа ~0…7, поверхностные ОН группы с более высокой энергией связи элемент-кислород по сравнению со связью кислород-водород и соответственно тенденцией к отщеплению протона), бренстедовских основных (рКа ~7…14, поверхностные ОН группы с более высокой энергией связи кислород-водород по сравнению со связью элемент-кислород и тенденцией к отщеплению всего гидроксила) и льюисовских кислотных (pKa >~14, положительно заряженные ионы или атомы со свободной орбиталью, способные к диссоциативной адсорбции молекул воды с захватом гидроксила) центрах. Общая схема распределения кислотно-основных центров на поверхности приведена на рисунке 8 на примере твердого оксида состава АО.
Изменение оптической плотности раствора кислотно-основного индикатора при контакте с каким-либо веществом может происходить как за счет адсорбции индикатора на его поверхности, так и вследствие изменения кислотности водной среды при взаимодействии воды с льюисовскими и бренстедовскими кислотными и основными центрами на поверхности.

Рисунок 8 — Схема донорно-акцепторных свойств частично дегидратированной поверхности твердого оксида
В ходе эксперимента проводили спектрофотометрическое измерение оптической плотности исходного водного раствора индикатора заданной концентрации (D0), аналогичного раствора, содержащего навеску заданной массы исследуемого вещества, взаимодействующего с растворителем и адсорбирующего индикатор (D1 ), и раствора индикатора, добавленного к растворителю, декантированному после контакта с навеской вещества, что исключает процесс непосредственной сорбции индикатора (D2 ). Полученные данные позволяют определить содержание на поверхности исследуемого образца активных центров с соответствующим используемому индикатору значением рКа по формуле 6:
(6)
где Cind — концентрация индикатора в растворе, Vind — объем раствора индикатора, взятый для анализа, m1 и m2 – близкие по величине (~20 мг) массы навесок при определении величин D1 и D2 соответственно; знак "+" соответствует разнонаправленному изменению D1 и D2 относительно D0, знак "–" — однонаправленному.
Использование большого количества индикаторов (14-18 и более) с различными значениями рКа позволяет дифференцировать близкие по природе и энергетике типы поверхностных функциональных групп (в частности, имеющих идентичный химический состав и отличающихся лишь окружением в поверхностном слое) с количественным определением их содержания.
Данный метод эффективен для сравнительного анализа образцов одного и того же материала, подвергавшегося различным видам обработки для выявления изменений структуры и свойств поверхности в результате такого воздействия и определения его оптимального режима.
3.3.2 Электронная спектроскопия диффузного отражения
Электронная спектроскопия диффузного отражения широко применяется при исследовании электронных явлений на поверхности дисперсных твердых веществ, протекающих на поверхности раздела фаз, например, при адсорбции и катализе. Спектральный диапазон ЭСДО = 200 – 900 нм соответствует энергиям 10 – 1 эВ. В указанный интервал попадают переходы валентных электронов практически всех твердых веществ (за небольшим исключением широкозонных диэлектриков – SiO2, MgO, BaSO4 и др.) и большинства адсорбированных на их поверхности молекул с верхних заполненных на нижние вакантные орбитали. Поскольку основные химические (реакционная способность) и физические (оптические, электрические и т.д.) свойства обусловлены именно состоянием внешних валентных электронов, то становится очевидным, что оптические электронные спектры несут наиболее важную и фундаментальную информацию о веществе. Важной особенностью этого метода является его высокая чувствительность, вследствие чего метод ЭСДО применим для изучения межатомных взаимодействий при небольших степенях заполнения поверхности.
Оптические свойства и фазового состава поверхностного слоя исходного и модифицированного BaTiO3 исследовали методом ЭСДО с использованием спектрометра Specord М40, оснащенного аналитическим шаром (AnalyticJena, Германия), относительно MgO в качестве эталона.
3.3.3 Атомно-силовая микроскопия
Атомно-силовая микроскопия позволяет исследовать материалы не только с проводящими, но и с диэлектрическими характеристиками.
Анализ структуры поверхностного слоя методом АСМ проводился для композитов на основе ЦЭПС с BaTiO3 в исходном состоянии и после модифицирования введением оксидов кобальта и ниобия. Анализ проводили с использованием сканирующего зондового микроскопа SolverPRO в полуконтактном режиме.
3.3.4 Измерение удельной поверхности
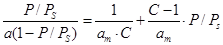
Для измерения удельной поверхности использовался метод, основанный на измерении объема азота, адсорбирующегося на поверхности образца, с использованием прибора «СОРБИ N.4.1» Для измерения количества адсорбированного газа используется метод тепловой десорбции, погрешность измерения удельной поверхности составляла ± 6%. Через исследуемый образец при температуре жидкого азота пропускают стационарный поток смеси газа-носителя (гелия) и газа-адсорбата (азота) заданного состава, до установления равновесия между концентрациями адсорбата в газовой и адсорбционной фазах. Затем образец нагревают от температуры жидкого азота до температуры полной десорбции адсорбата (N2 ) с поверхности образца. Изменение концентрации газа-адсорбата в потоке газовой смеси в ходе процессов «адсорбции-десорбции» регистрируется с помощью детектора состава газа (детектора по теплопроводности). Выходным рабочим сигналом детектора является десорбционный пик газа-адсорбата. Площадь этого пика прямо пропорциональна объёму десорбированного газа.
Циклы «адсорбции-десорбции» при составе газовой смеси, соответствующем наименьшему парциальному давлению газа-адсорбата, повторяются не менее двух раз до тех пор, пока расхождение между значениями площадей десорбционных пиков будет не более 3 %, затем по одному разу при трех других составах газовой смеси. По результатам измерений объёмов газа, сорбируемого на испытуемом образце при четырёх значениях парциального давления, с помощью уравнения БЭТ рассчитывается значение удельной поверхности:
(7)
где a — количество вещества, адсорбируемое при относительном давлении пара P/PS; PS — упругость насыщенного пара адсорбируемого вещества; am — количество адсорбируемого вещества, достаточного для покрытия поверхности плотным мономолекулярным слоем (емкость монослоя); С — константа, связанная с чистой мольной теплотой адсорбции в первом слое Q1 и мольной теплоты конденсации адсорбтива λ, которая рассчитывается по формуле:
(8)
3.3.5 Измерение диэлектрической проницаемости
Полученные конденсаторы использовали для измерения диэлектрической проницаемости с использованием измерителя иммитанса Е 7-20 (МНИПИ) в диапазоне частот от 1 до 1000 кГц. Диэлектрическую проницаемость рассчитывали по формуле ε = ( C xd )/( ε xS ), где С – емкость конденсатора, d и S – соответственно толщина и площадь поверхности электрода.
Полученные данные усредняли по результатам трех измерений для трех различных электродов. Средняя погрешность измерения диэлектрической проницаемости составила 8 %.
4. РЕЗУЛЬТАТЫ И ОБСУЖДЕНИЕ
4.1 Изменение диэлектрической проницаемости композитов ЦЭПС-BaTiO3 в результате модифицирования титаната бария
Значения диэлектрической проницаемости исследуемых композитов состава ЦЭПС/модифицированный BaTiO3 приведены в таблице 4 в сравнении с аналогичным композитом, полученным с использованием исходного титаната бария.
Полученные данные показывают, что существенное увеличение диэлектрической проницаемости композитов состава ЦЭПС/модифицированный BaTiO3 по сравнению с аналогичным композитом, содержащим исходный немодифицированный титанат бария, наблюдается только при введении Nb2 O5. В остальных случаях величина e находится либо на уровне композита с исходным BaTiO3 (в случае введения TiO2 из TiCl4, смеси Co3 O4 и Nb2 O5, а также Co3 O4 из Co(OH)2 ), либо значительно ниже по сравнению с ним (при введении Co3 O4 из Co(NO3 )2 и TiO2 из H2 TiO3, а также V2 O5 и WO3 ).
Таблица 4 — Диэлектрическая проницаемость исследуемых композитов при частоте 1 кГц
Оксидная Добавка | Исходный BaTiO3 | Nb2 O5 | Смесь Nb2 O5 и Co3 O4 | TiO2 | TiO2 | Co3 O4 | Co3 O4 | WO3 | V2 O5 |
| Прекурсор для модифицирования BaTiO3 | - | NbCl5 | NbCl5, Co(NO3 )2 | TiCl4 | H2 TiO3 | Co(OH)2 | Co(NO3 )2 | (NH4 )10 W12 O41 *nH2 O | NH4 VO3 |
| e | 156,1 | 195,3 | 159,5 | 157,1 | 142,4 | 132,1 | 112,5 | 103,3 | 95,1 |
4.2 Изменение функционального состава поверхности образцов BaTiO3 в результате модифицирования
Данные исследования образцов исходного и модифицированного BaTiO3 методом адсорбции кислотно-основных индикаторов, приведенные на рисунке 9, показывают, что наиболее значительные изменения функционального состава поверхности материала наблюдаются в случае введения Nb2 O5 (рисунок 9а), что выражается в резком увеличении содержания слабокислых (рКа 5-6,5) и основных (рКа 10-13) бренстедовских центров и, по-видимому, обусловлено разупорядочением поверхностного слоя с разрывами элемент-кислородных мостиковых групп и гидроксилированием поверхности.
Напротив, введение оксида кобальта приводит к практически полному исчезновению бренстедовских основных центров с рКа 7-13 и увеличению содержания льюисовских основных (pKa<0) и кислотных (pKa>14) центров (рисунок 9б), что свидетельствует об увеличении количества элемент-кислородных мостиковых связей на поверхности и ее дегидроксилировании. Снижение содержания бренстедовских основных центров в сочетании с ростом содержания льюисовских кислотных наблюдается также при введении TiO2 (рисунок 9в).
Следует отметить, что если в случае Co3 O4 характер распределения центров адсорбции практически не зависит от используемого прекурсора, то при введении TiO2 тип прекурсора оказывает влияние на функциональный состав поверхности.



Рисунок 9 – Распределение центров адсорбции на поверхности образцов модифицированного BaTiO3 в сравнении с исходным (¨)
a – введение Nb2 O5 (O ) и смеси Nb2 O5 с Co3 O4 (D ); б – введение Co3 O4 с использованием прекурсоров Co(NO3 )2 (O )и Co(OH)2 (D ); в – введение TiO2 с использованием прекурсоров TiCl4 (O ) и H2 TiO3 (D )
При использовании TiCl4 наблюдается резкое увеличение содержания льюисовских кислотных (pKa 14.2) и основных (pKa-0.3) центров, что указывает на значительную перестройку поверхностного слоя, в то время как в случае H2 TiO3 происходит лишь незначительное увеличение содержания льюисовских кислотных центров и некоторое смещение максимума в области слабокислых бренстедовских центров.Сопоставление данных измерения e и результатов анализа функционального состава поверхности исследуемых наполнителей показывает, что диэлектрическая проницаемость возрастает с увеличением содержания на поверхности бренстедовских слабокислых, нейтральных и основных центров (гидроксильных групп) с рКа 5…13, как показано на рисунке 10. Установленная зависимость согласуется с ранее полученными экспериментальными данными и теоретической моделью [35, 36], согласно которым рост e подобных композитов коррелирует с содержаниeм наповерхности наполнителя бренстедовских основных центров.
По-видимому, рост диэлектрической проницаемости композита с увеличением степени гидроксилирования поверхности наполнителя обусловлен подвижностью относительно слабо связанных с поверхностью гидроксильных групп (что определяет их способность к переориентации в пространстве под действием внешнего электрического поля) и способностью к взаимодействию (поликонденсации) с гидроксильными группами в составе ЦЭПС по механизму, представленному на рисунке 11, с образованием пространственной сетки связей, оказывающей ориентирующее действие на полярные группы полимера.


Рисунок 10 – Зависимость диэлектрической проницаемости композитов от содержания бренстедовских нейтральных центров с рКа 6,4 (а) и бренстедовских основных центров с рКа 7,3…12,8 (б)

Рисунок 11 – Взаимодействие между гидроксильными группами наполнителя и матрицы ЦЭПС в исследуемых композитах
Кроме того, установлена отрицательная корреляция между диэлектрической проницаемостью композитов и суммарным содержанием льюисовских основных и кислотных центров с наиболее низкими и высокими значениями рКа, соответствующими атомам кислорода и металла на поверхности (рисунок 12). Такие центры обладают наименьшей подвижностью под воздействием внешнего поля. По-видимому, введение добавок приводит к разупорядочению элемент-кислородных мостиковых связей в поверхностном слое титаната бария и гидроксилированием поверхности в результате хемосорбции атмосферной влаги.

Рисунок 12 – Зависимость диэлектрической проницаемости композитов от общего содержания льюисовских основных (рКа<0) и кислотных (рКа 14,2) центров
4.3 Изменение фазового состава поверхностного слоя BaTiO3 в результате модифицирования
Результаты исследования образцов исходного и модифицированного BaTiO3 методом ЭСДО, приведены в таблице 5 в виде математического разделения спектров на составляющие, описываемые распределением Ферми-Дирака по методике [39.]
Таблица 5 — Энергия середины спектрального перехода (E0, эВ) и интенсивность сигнала (I, отн. ед.) в спектрах ЭСДО исходного и модифицированного BaTiO3
| Добавка | Прекурсор | Интенсивность перехода I, отн. ед.при различных значениях E0 | ||
| 3,37 эВ | 3,25-3,27 эВ | 3,17-3,22 эВ | 2,34 эВ | 1,55 эВ |
| Исходный BaTiO3 | | 87,9 | ||
| TiO2 | TiCl4 | 22,7 | 78,6 | |
| H2 TiO3 | 101,3 | |||
| Co3 O4 | Co(NO3 )2 | 33,2 | 10,0 | 16,6 |
| Nb2 O5 | NbCl5 | 12,5 | 12,5 | 89,0 |
| Co3 O4 +Nb2 O5 | Co(NO3 )2 +NbCl5 | 6,9 | 42,5 |
Полученные данные показывают, что на поверхности исходного BaTiO3 титан находится в искаженной октаэдрической координации (E03,2 эВ), близкой к координационному комплексу [TiO6 ] в составе рутила (E03,13 эВ [40]).
Введение в состав поверхностного слоя BaTiO3 диоксида титана с использованием прекурсора TiCl4 сопровождается незначительным дополнительным искажением координационных комплексов [TiO6 ]. Однако по общей отражательной способности и координационному состоянию титана на поверхности порошки модифицированного BaTiO3 мало отличаются от исходного титаната бария независимо от типа используемого прекурсора.
В случае введения в состав поверхностного слоя титаната бария оксида кобальта наблюдается появление сильно поглощающих фаз с энергиями середины спектрального перехода 2,34 и 1,55 эВ, соответствующих координационным комплексам кобальта с различной степенью окисления.
Введение оксида ниобия не изменяет отражательную способность BaTiO3. Однако внедрение в состав поверхностных структур ионов Nb5+, обладающих большим радиусом и высоким эффективным зарядом, приводит к повышении величины E0до 3,37 эВ, что соответствует дополнительному разупорядочению связей Ti-O с образованием сильно искаженного «анатазоподобного» октаэдрического комплекса [40], повышению их полярности и, соответственно, росту диэлектрической проницаемости.
При одновременном введении эквимолярных количеств оксидов ниобия и кобальта их влияние взаимно компенсирует друг друга, что, по-видимому, обусловлено их взаимодействием с образованием так называемого «серого фильтра», существенно снижающего отражательную способность материала. При этом образование кобальт-ниобиевых соединений не влияет на координационное состояние атомов титана в поверхностном слое модифицированного BaTiO3. Это является вероятной причиной отсутствия существенного изменения диэлектрической проницаемости соответствующего гибридного композита по сравнению с композитом на основе исходного титаната бария.
4.4 Влияние модифицирования на удельную поверхность BaTiO 3
Данные измерения удельной поверхности образцов модифицированного BaTiO3 методом БЭТ показывают, что введение смеси Co3 O4 и Nb2 O5 не приводит к значительному изменению Sуд., в то время как при введении V2 O5 и WO3 удельная поверхность существенно возрастает.
Таблица 6 — Удельная поверхность исходного и модифицированного BaTiO3
| Образец | Исходный BaTiO3 | BaTiO3 с добавками | ||
| Co3 O4 + Nb2 O5 | V2 O5 | WO3 | ||
| Sуд., м2 /г | 2,13 | 2,33 | 2,65 | 3,14 |
Удельная поверхность закономерно снижается с ростом диэлектрической проницаемости (рисунок 13), который, по-видимому, обусловлен уменьшением размера частиц.

Рисунок 13 — Зависимость диэлектрической проницаемости композитов ЦЭПС-BaTiO3 от удельной поверхности наполнителя
4.5 Влияние модифицирования BaTiO 3 оксидными добавками на структуру поверхностного слоя композитов
Методом АСМ был исследован профиль поверхности композитов на основе ЦЭПС с BaTiO3 в исходном состоянии и после модифицирования введением оксидов кобальта и ниобия.
Полученные данные, приведенные на рисунке 14, показывают, что для поверхности композита на основе ЦЭПС и исходного BaTiO3 (рисунок 14а) характерен выраженный неоднородный рельеф поверхности с многочисленными выступающими неровностями высотой до 2,5 мкм, по-видимому образованными агломератами частиц BaTiO3. Введение оксида кобальта не привело к заметному изменению профиля поверхности (рисунок 14б), в то время как введение Nb2 O5 (рисунок 14 в, г) привело к ее значительному сглаживанию. Это может быть обусловлено активацией поверхности BaTiO3 при введении оксида ниобия (что соответствует формированию анатазоподобной структуры с напряженными связями и ростом содержания гидроксильных групп на поверхности), что приводит к усилению взаимодействия в системе полимер-наполнитель и улучшению смачивания наполнителя полимером, препятствует агломерации частиц титаната бария и обеспечивает формирование однородного рельефа поверхности. Наблюдаемый эффект повышения однородности структуры композита при модифицировании титаната бария оксидом ниобия, по-видимому, вносит существенный вклад в значительный рост их диэлектрической проницаемости.

Рисунок 14 – Микрофотографии АСМ композитов на основе ЦЭПС с BaTiO3 в исходном состоянии (а) и после модифицирования введением оксидов кобальта (б) и ниобия (в, г)
5. ЗАКЛЮЧЕНИЕ И ВЫВОДЫ
В целом на основании полученных данных можно сделать вывод о том, что диэлектрическая проницаемость гибридных композитов на основе полимерной матрицы ЦЭПС и титаната бария в качестве наполнителя может быть значительно повышена посредством модифицирования поверхности BaTiO3 оксидом ниобия. Достигнутый эффект обусловлен следующими взаимосвязанными факторами:
— разупорядочением структуры поверхностного слоя титаната бария, приводящим к изменению координационного окружения атомов титана с формированием анатазоподобной структуры;
— образованием на поверхности наполнителя гидроксильных групп слабокислого, нейтрального и основного характера, эффективно взаимодействующих с полимерной матрицей, что препятствует агломерации частиц наполнителя и оказывает ориентирующее действие на полярные группы полимера.
Установлена положительная корреляция между содержанием указанных функциональных групп на поверхности наполнителя и диэлектрической проницаемостью композита.
Полученные данные перспективны для прогнозирования диэлектрических свойств органо-неорганических композиционных материалов на основе анализа функционального состава поверхности неорганического наполнителя и получения композиционных материалов с улучшенными диэлектрическими характеристиками для применения в составе конденсаторов, электролюминесцентных источников света и других электронных устройств.
ЛИТЕРАТУРА
1. Композиционные материалы / М. Л. Кербер // Соровский образовательный журнал. — 1995. — №5. — С. 34.
2. Достижения в области композиционных материалов / Под ред. Дж. Пиатти М.: Металлургия, 1982. – 304 с.
3. Полимерные матрицы для высокопрочных армированных композитов / А.А. Берлин, Л. К. Пахомова // Высокомолекулярные соединения. – 1990. – Т. (А) 32, №7. — С. 1347-1385.
4. Современные полимерные композиционные материалы / Берлин А.А. // Соровский образовательный журнал. — 1995. — №1. – С. 57-65.
5. Кербер М. Л. Полимерные композиционные материалы: структура, свойства, технология: учебное пособие / М.Л. Кербер, В.М. Виноградов, Г.С. Головкин и др.; под общ. ред. А.А. Берлина. – СПб.: Профессия, 2008. – 560 с.
6.http://www.e-plastic.ru/main/articles/r2/pk01/Композиционные материалы.
7.http://thesaurus.rusnano.com/index.php /Словарь нанотехнологических и связанных с нанотехнологиями терминов.
8. Перепелкин К.Е. Армирующие волокна и волокнистые полимерные композиты. – СПб.: Научные основы и технологии, 2009. – 380 с.
9. Полимерные нанокомпозиты /Чвалун С.Н // Природа. — 2000.-№ 7.– С. 22-30
10. Пасынков В.В. Материалы электронной техники / Пасынков В.В., Сорокин В.С. — 2-е изд. — М.: ВШ., 1986. – с. 367.
11. Бурковский В.Л. Физические явления и эффекты в технических системах: учебное пособие / В.Л. Бурковский [и др.]. — Воронеж, 2007. — 242 с.
12. Сегнетоэлектрики и антисегнетоэлектрики / Смоленский Т. А. [и др.] – М.: Наука, 1979. – 476 с.
13. Барфут Дж. Введение в физику сегнетоэлектрических явлений / Под ред. Л.А. Шувалова. – М.: Мир, 1970. – 352 с.
14. Корсаков В.Г., Физическая химия твердого тела / Корсаков В.Г, Сычев М.М., Мякин С.В., – СПб.: Петербургский гос. ун-т путей сообщения, 2008. — 177 с.
15. Литовченко В. Г., Основы физики микроэлектроники систем металл-диэлектрик-полупроводник / В.Г Литовченко, А.П. Горбань. – Киев: Наукова думка, 1978. – 37 с.
16. Ренне В. Т. Пленочные конденсаторы с органическим синтетическим диэлектриком.- М.: Госэнергоиздат, 1963. — 203 с.
17. The Effect of the Dielectric Constant of the Embedding Media on Electroluminescent Light Intensity / J. Tanaka, D. Berg // J. Electrochem. Soc., 1963, V. 110. — № 6. – Р. 580-582.
18.Wlasnosci dielektrykow / J.Antoniewicz // WNT. – 1971. — С. 34.
19.КозловМ. П., ПрокофьеваМ. В. // Пластмассы. – 1966. – Т.10. – С.17.
20. Михайлов Г. П. // Журнал Всесоюзного химического общества им. Д. И. Менделеева. – 1961. – Т. 6, № 4. – С. 404.
21. А.с. 385408 СССР / Способ изготовления электролюминесцентных панелей / В. И. Долгополов, Л. Н. Долгополова, Т. И. Белогловская. — 1973. — Бюл. № 25. – 8 с.
22. Особенности структурных превращений в акриловых дисперсиях / Б. Л. Хавкина // Пластические массы. – 1991. – № 3. – С. 12–16.
23. High dielectric constant composites for the electroluminescent displays / S. A. Alexeev, M. M. Sychov, O. V. Likhacheva, V. G. Korsakov, A. G. Rodionov, L. L Ejenkova // Displays optics, 23-24 October, St. Peterburg. — 2004. – p. 35.
24. Структура, свойства наполненных полимерных систем и методы их оценки / Ю. С. Липатов // Пластмассы. – 1976. – № 11. – С. 6–10.
25. The mechanism of the barrier effect in solid dielectrics / O. S. Gefle, S. M. Lebedev, V. Ya. Uschakov // J. Phys. D: Appl. Phys. – 1997. – V. 30. – P. 3267–3273.
26. Interfaces and nanodielectrics are synonymous / T. J. Lewis // Proc. Intern. Conf. Solid Diel.,5–9July. – 2004. – V. 2. – P. 792–795.
27. The barrier effect in dielectrics. The role of interfaces in the breakdown of inhomogeneous dielectrics / S. M. Lebedev, O. S. Gefle, Y. P. Pokholkov // IEEE Trans. Diel. Electr. Insul. – 2005. – V. 12, №3. – P. 537–555.
28. Dielectric nanocomposites with insulating properties/ Т. Tanaka // IEEE Trans. Diel. Electr. Insul. – 2005. – V. 12, № 5. – P. 914–928.
29. Influence of polarisation on breakdown strength of polymeric composite dielectrics / O. S. Gefle, S. M. Lebedev, Yu. P. Pokholkov, D. P. Agoris, I. Vitellas // IEE Proc. Sci. Meas. Technol. – 2001. – V. 148, № 3. – P. 125–128.
30. Поведение композиционных материалов с наполнителем из сегнетоэлектрической керамики в электрическом поле / О. С. Гефле, С. М. Лебедев, С. Н. Ткаченко // Известия Томского политехнического университета. – 2005. – Т. 308, № 4. – С. 64–68.
31. Вещества с высокой и сверхвысокой диэлектрической проницаемостью / Б. М. Вул // Успехи физических наук. – 1967. – Т. 93, №11. – С. 541-552.
32. Титанат бария – новый сегнетоэлектрик / А. В. Ржанов // Успехи физических наук. — 1949. — Т. 38, вып. 4. — С. 461-489.
33. Megaw Н. D. // Proc. Phys. Soc. – 1946. — V. 58. – P. 133.
34. Функциональные наполнители для пластмасс / Под ред. Мариино Ксантоса. – СПб.: НОТ, 2010. — 462 с.
35.Алексеев С. А. Влияние донорно-акцепторных свойств поверхности функциональных наполнителей на характеристики композитов с циановым эфиром поливинилового спирта: дис.… канд. хим. наук.–СПб. – 2005. – 140 с.
36. Прогнозирование диэлектрических свойств полимерных композитов на основе термодинамической модели / В. Г.Корсаков, С. А.Алексеев, М. М.Сычев, М. Н.Цветкова, Е. В.Комаров, Б. Ли, С. В.Мякин, И. В.Васильева // Журнал прикладной химии. – 2007. — Т.80, вып.11. — С. 1908-1912.
37.Проблемы золь-гель синтеза композиционных стеклокерамических материалов / С. В. Хашковский, О. А. Шилова, Л. А. Кузнецова // Вопросы химии и химической технологии. – 2001. — №1. — С. 68-74.
38. Максимов А. И. Основы золь-гель технологии нанокомпозитов / А. И. Максимов, В. А. Мошников, Ю. М. Таиров, О. А. Шилова. – СПб.: ООО «Техномедиа» / Изд-во «Элмор», 2008. – 255 с.
39.Новый вариант обработки электронных спектров диффузного отражения / Е. А. Соснов, А. А. Малков, А. А. Малыгин // Журнал физической химии. — 2009. — Т. 83, №4. — С. 746-752.
40. Природа поверхности пирогенного диоксида титана по данным оптической микроскопии / Е. А. Соснов, К. Л. Васильева, А. А. Малков // Журнал физической химии. — 2010. — Т. 84, №6. — С. 1141-1145.
41. Косинская Л.В., Кочеров Н.П. Технико-экономические расчеты в дипломном проекте: Метод. Указания. — СПбГТИ(ТУ), 2002. — 33 с.
Кочеров Н.П. Технико-экономическое обоснование инженерных решений при проектировании химических производств: Метод. указания. – СПб.: ГОУ ВПО СПбГТИ(ТУ), 2009. — 45 с.
42. ГОСТ 12.0.003 — 74 ССБТ. Опасные и вредные производственные факторы. Классификация. — В кн.: ГОСТ 12.0.001 — 74 и др. – М.:1981. – 10-13 с.
43. ГОСТ 12.1.005 — 88 ССБТ. Общие санитарно-гигиенические требования к воздуху рабочей зоны. – М.: Издательство стандартов, 1988. — 75 с.
44. Пожаровзрывоопастность веществ и материалов и средства их тушения: Справочник: в 2-х ч. – 2 изд., перераб. и доп. / Под ред. А.Я. Корольченко. – М.: Асс. «Пожнаука», 2004. – Ч.1 — 713 с.; Ч.2 – 757 с.
45. Вредные вещества в промышленности. Т. 1,2,3. / Под ред. Н.В. Лазарева. – М.: Химия, 1976, 1977.
46. НПБ 105-03. Определение категорий помещений, зданий и наружных установок по взрывопожарной и пожарной опасности. – М.: Гл. упр. Гос. противопожарной службы МВД России, 1996. – 32 с.
47. ГОСТ 12.1.004 — 76 ССБТ. Пожарная безопасность. Общие требования. – М.: Издательство стандартов, 1992. – 78 с.
48. Правила устройства электроустановок. — М.: Главгосэнергонадзор России, 1998. – 607 с.
49. СН-245-71. Санитарные нормы проектирования промышленных предприятий, М.: Изд-во литературы по строительству, 1972. – 89 с.
50. ГОСТ 12.4.021-75. ССБТ Системы вентиляционные. Общие требования. – Введ. 1977-01-01. – М.: Стандартинформ, 2007. – С. 2-4.
51. СНиП 23-05-95. Естественное и искусственное освещение производственных помещений. Нормы проектирования. — М.: Стройиздат, 1995. – 48 с.
52. Захаров Л. Н. Техника безопасности в химической лаборатории. Справ. изд. – 2-е изд., перераб. и доп. – Л.: Химия, 1991. – 336 с.
ПРИЛОЖЕНИЯ
ПРИЛОЖЕНИЕ А
Патентный поиск
Проведён патентный поиск по теме: Синтез и применение композиционных материалов на основе полимеров и сегнетоэлектриков. Проанализированы патенты за период с 1996 по 2010 гг., результаты патентного поиска приведены в таблице А.1.
Таблица А.1 – Результаты патентного поиска
| Предмет поиска | Страна выдачи, номер патента, дата регистрации | Сущность технического решения |
| Полимерный композиционный материал | РФ № 2111568, 21.05.1996 г. | Изобретение относится к электроизоляционным материалам, используемым в кабельной промышленности. Полимерный композиционный материал содержит термопластичный сополимер, сажистый углерод в качестве токопроводящего наполнителя и неорганический наполнитель с диэлектрической проницаемостью e= 150-15000 при суммарном содержании указанных наполнителей 30-40 мас.ч. на 100 мас.ч. полимера, а содержание каждого из наполнителей не менее 10 мас.ч. на 100 мас. ч. полимера. |
| В качестве неорганического наполнителя используют спек титаната бария с удельной поверхностью не менее 2300 см2/г. Полимерный композиционный материал может быть дополнительно сшит ионизирующим излучением, причем масса гель-фракции составляет 30-70% по отношению к массе полимера. Полимерный материал может быть дополнительно ориентирован при температуре, превышающей температуру плавления несшитого материала, но ниже температуры деструкции сшитого полимера. | ||
| Устройство для получения электрической энергии | РФ № 2390907, 4.07.2008 г. | Устройство может найти применение в электротехнике в качестве автономного источника электро-питания. Устройство содержит корпус с пакетом пластин обоих знаков, разделенных слоем сегнетоэлектрика и оборудованных зарядовой пластиной, отделенных от остальных слоем сегнетоэлектрика и выполненной из биполярного электрета, например, политетра-фторэтилена, полиэтилентерефталата, поликарбоната, титаната кальция, стекла, ситаллов и др.: в качестве сегнетоэлектрика использован стабилизированный монокристал-лический сегнетоэлектрик, например, титанат бария, поливинилиденфторид, триглицинсульфат, сегнетова соль, дигидрофосфат калия, ниобат лития, фторберилат аммония и др.: в пакете пластин по меньшей мере одна элементарная ячейка, состоящая из одного электрета и двух металлических пластин, все слои максимально плотно прилегают к друг |
| другу и размещены в последовательности: металлическая пластина – сегнетоэлектрик – электрет – сегнетоэлектрик – металлическая пластина; при наличии в пакете более одной элементарной ячейке каждая следующая ячейка прилегает к предыдущей одноименными зарядами металлических пластин. Изобретение обеспечивает утилизацию внутренней энергии используемого вещества. | ||
| Композиционный керамический материал на основе смешанного титаната бария и стронция и метод его получения | Китай № CN101844919 (А) 29.09.2010 г. | В изобретении предлагается композиционный керамический материал на основе титаната бария и стронция состава Ba0.6 Sr0.4 TiO3, характеризующийся хорошей регулируемостью характеристик и получаемый из аналитически чистых BaCO3, SrCO3 и TiO2 в качестве материала матрицы и совместно введенных в нее в качестве добавок аналитически чистых ZnO (0,5-5 масс.%), Al2 O3 (10-30 масс.%) и MgO (10 масс. %) с получением порошкового композиционного оксидного материала состава |
| Ba0.6 Sr0.4 TiO3 посредством размалывания на шаровой мельнице, высушивания и предварительного спекания с последующим добавлением 5-10 масс. % PVA для обеспечения возможности формовки прессованием и получением керамического материала со степенью регулируемости характеристик от 18 до 42 % после прокаливания. Предлагаемый материал отличается стабильной и надежной технологией получения, характеризуется пониженными и регулируемыми значениями диэлектрической проницаемостью и диэлектрических потерь и перспективен для применения в составе фазовых преобразователей, динамических запоминающих устройств про-извольного доступа, обеспечивая повышение эффективность работы таких устройств. | ||
Стекло-керамический композиционный материал, получаемый совместным низко- температурным обжигом, срегулируемой диэлектрической проницаемостью и метод его получения | Китай№ CN101857375 (A) 13.10.2010 г. | Композиционный материал получают из следующих исходных компонентов: 0,5-20 % Bax Sr1-x TiO3 (х=0,3-1) и 80-99,5% фторированного алюмо-силикатного стекла, которое получают из следующих исходных компонентов в указанном массовом соотношении: 30-70 % SiO2, 20-50 % AlF3 и 5-30 % CaF2. После смешивания компонентов в указанном соотношении к ним добавляют этанол или воду, полученную смесь размалывают на шаровой мельнице, сушат и подвергают низкотемпературному обжигу Преимуществами предлагаемого материала являются: 1) низкие значения температуры спекания (750 — 850 °С) и степени усадки при спекании (8-15 %) и 2) возможность регулирования диэлектрической проницаемости (при частоте 1ГГц) в интервале от 8 до 50 в сочетании с очень низкими диэлектрическими потерями (менее 0,002) и повышенной механической прочностью. |
ПРИЛОЖЕНИЕ Б
Технико-экономическая оценка результатов исследования
1 Анализ рынка возможной реализации диэлектрических композиционных материалов состава BaTiO 3 — ЦЭПС
Цель исследования
Целью исследований данной дипломной работы является повышение диэлектрических характеристик композиционных материалов состава титанат бария – цианэтиловый эфир поливинилового спирта. Эти композиты используют в качестве защитного изолирующего слоя в электролюминесцентных источниках света (ЭЛИС).
ЭЛИС – это современное высоконадежное твердотельное устройство, напрямую преобразующее электрическую энергию в излучение, поэтому имеет малую потребляющую мощность, позволяющую снизить потребление энергоресурсов. К другим достоинствам электролюминесцентных источников света относятся безвакуумная конструкция, малые габариты и масса изделия, низкая вероятность отказов
В связи с развитием мобильной электроники в настоящее время наблюдается активное расширение сферы практического применения электролюминесцентных источников света. ЭЛИС применяются для подсветки жидкокристаллических дисплеев в различных электронных приборах: мобильных телефонах, карманных персональных компьютерах. Также ЭЛИС используется в системах аварийного отключения света и рекламе. Электролюминесцентную панель, изготовленную на основе ЭЛИС можно наклеить на стекла, подвесить на тоненьких лесочках к потолку, обернуть вокруг колонны. Также ее можно использовать для подсветки изображения нанесенного на прозрачную пленку. В итоге получается картинка по качеству и яркости изображения неотличимая от картинки, полученной с экрана монитора. Электролюминесцентные панели работают также и от бортовой электрической сети автомобиля — это дает отличные возможности для использования их как эффективнейший рекламоноситель на транспорт.
Данная работа является продолжением исследований, направленных на повышение технических и экономических характеристик ЭЛИС, в частности за счет модифицирования наполнителя – титаната бария, используемого в качестве изолирующего слоя, оксидными добавками. На основании вышеизложенного можно сделать заключение о больших возможностях в плане практического использования результатов работы.
Позиционирование результатов исследований
Основной целью предприятия в большинстве случаев является получение максимально возможной прибыли от реализации продукции. В сегодняшних условиях жесткой конкуренции практически на всех рынках вопросы реализации стоят на первом месте, а задачи производства занимают подчиненное положение.
Технология изготовления электролюминесцентного источника света сравнительно проста и позволяет использовать стандартное оборудование и недорогие материалы. Однако большинство современных ЭЛИС характеризуются относительно невысокой долговечностью, которая определяется старением люминофора и постепенной деградацией других компонентов ЭЛИС и в ряде случаев ограничивает срок эксплуатации электронных приборов, в состав которых входят источники света.
Конкурентоспособность ЭЛИС определяет ряд показателей: светотехнические характеристики (яркость, спектр излучения и др.), характеристики защитного диэлектрического слоя (в частности, высокая диэлектрическая проницаемость, что позволяет снизить энергозатраты), легкость и небольшая толщина, гибкость и возможность расположения на сложных изогнутых поверхностях, низкое энергопотребление, высокая эффективность и надежность, невысокая цена, технологичность изготовления, отсутствие аналогов, долговечность прибора, также это холодный источник света без ультрафиолетового излучения.
Важно, что весь источник света можно получить одним методом, например, методом шликерного литья. В процессе реализации идеи могут возникнуть проблемы с финансированием. При лучшем уровне технического оснащения и обеспечённости сырьём, возможно, было бы более детальное рассмотрение данной идеи, которая, безусловно, является весьма перспективной. В частности, возникают такие проблемы, как недостаток материалов и реактивов, требуются средства для отработки технологичности процесса.
Данная работа направлена на улучшение таких характеристик ЭЛИС, как затраты энергии на достижение требуемой яркости свечения, надежность и долговечность за счет разработки промежуточных диэлектрических слоев с улучшенными диэлектрическими свойствами и пониженными потерями энергии.
2 Оценка конкурентоспособности
В таблице Б.1 приведена сравнительная оценка конкурентоспособности электролюминесцентных панелей с разными диэлектрическими слоями формата А4. В качестве конкурентов были выбраны:
— Конкурент А – Рекламно производственная компания DDS
— Конкурент Б – «Хороший Цвет»
Таблица Б.1 – Оценка конкурентоспособности продукта
| Перечень требований идеальной модели | Коэффициент веса | Экспертная оценка, баллы | Оценка с учетом веса, баллы | Выигрыш (+) или проигрыш (-) относительно: | |||||||
Идеальная модель | Наш продукт | Продукт конкурента А | Продукт конкурента Б | Идеальная модель | Наш продукт | Продукт конкурента А | Продукт конкурента Б | Идеальной модели | Продукта конкурента А | Продукта конкурент Б | |
| Яркость свечения | 2 | 5 | 4 | 4 | 4 | 10 | 8 | 8 | 8 | -2 | |
| Диэлектрическая проницаемость | 2 | 5 | 5 | 4 | 3 | 10 | 10 | 8 | 6 | 2 | 4 |
| Высокая надёжность | 1,8 | 5 | 5 | 3 | 4 | 9 | 9 | 5,4 | 7,2 | 3,6 | 1,8 |
| Экологичность | 2 | 5 | 4 | 4 | 3 | 10 | 8 | 8 | 6 | -2 | 2 |
| Энерго-потребление | 1,5 | 5 | 5 | 3 | 4 | 7,5 | 7,5 | 4,5 | 6 | 3 | 1,5 |
| Низкая цена | 1,5 | 5 | 4 | 4 | 4 | 7,5 | 6 | 6 | 6 | -1,5 | |
| Срок службы панели | 1,8 | 5 | 5 | 3 | 4 | 9 | 9 | 5,4 | 7,2 | 3,6 | 1,8 |
| Технологичность изготовления | 1,9 | 5 | 4 | 4 | 4 | 9,5 | 7,6 | 7,6 | 7,6 | -1,9 | |
| ИТОГО: | 40 | 72,5 | 65,1 | 52,9 | 54 | -7,4 | 12,2 | 11,1 |
Вывод: Из приведенной таблицы видно, что если рассматривать проигрыши нашего продукта и продуктов конкурентов относительно идеальной модели, то наш продукт проигрывает относительно идеальной модели на 7,4 балла, а конкуренты А и Б проигрывают относительно идеальной модели на 19,6 и 18,5, а если рассматривать выигрыши, то наш продукт выигрывает относительно конкурента А и конкурента Б соответственно на 12,2 и 11,1 балла.
Ниже приведен график конкурентоспособности продукции.

Рисунок Б.1 — График конкурентоспособности продукции
На основании проведенного маркетингового исследования и оценки конкурентоспособности товара можно сделать следующие выводы:
· исследуемый продукт на сегодняшний день востребован;
· в течение планируемого года падения спроса не предвидится, а с учетом развития в этой области в будущем планируется лишь его рост;
· конкурентоспособность материала (продукта) высока, имеется сходство с продуктами конкурента. По энергопотреблению, надежности и диэлектрической проницаемости наш продукт ничем не уступает идеальной модели. Анализируя суммарный проигрыш всех продуктов относительно идеального, наши панели имеют меньшее значение, что будет хорошим критерием при выборе его покупателями.
3 . Расчет затрат на выполнение НИР и договорной цены НИР
Обоснование договорной цены на " K now how"
При определении договорной цены на «Know how» необходимо руководствоваться взаимной выгодой, как продавца, так и покупателя. Целесообразно выделить минимальную цену продавца, ниже которой продажа нецелесообразна, и максимальную цену покупателя, выше которой затраты на приобретение и подготовку к использованию «Know how» не окупятся будущей прибылью от его использования.
Договорная цена устанавливается в интервале между минимальной ценой продавца и максимальной ценой покупателя. Чаще всего цена на «Know how» составляет от 5 до 20 % будущей прибыли покупателя за весь период использования этого «Know how».
Определение минимальной цены продавца " K now how"
Минимальная цена продавца устанавливается исходя из расчета затрат на разработку «know how» по нижеприведенным статьям.
Расчет суммы затрат на сырьё, материалы, реактивы, покупные изделия и полуфабрикаты
К данной статье относятся стоимость всех материалов, расходуемых в процессе непосредственного выполнения работ по созданию «know how». Расчет представлен в таблице Б.2.
Таблица Б.2 – Расчет суммы затрат на материалы.
| Наименование сырья | Ед. изм. | Техническая характеристика | Израсходо-ванное количество | Цена, руб | Сумма затрат, руб. |
| Связующее (ЦЭПС) | л | ГОСТ 16756-71 | 0,2 | 2400 | 480 |
| Стекло предметное | шт | 76х26х(1,5-2,0) мм | 20 | 2 | 40 |
| Титанат бария | кг | ТУ 6-09-3963-84 | 0,1 | 1440 | 144 |
| Тетрахлорид титана | кг | ГОСТ 19347-99 | 0,01 | 1480 | 14,8 |
| Титановая кислота | кг | - | 0,01 | 1360 | 13,6 |
| Нитрат кобальта | кг | ГОСТ 4528-78 | 0,01 | 730 | 7,3 |
| Гидроксид кобальта | кг | ТУ 6-09-1115-76 | 0,01 | 1751 | 17,5 |
| Хлорид ниобия | кг | - | 0,01 | 2450 | 24,5 |
| Метаванадат аммония | кг | ГОСТ 9336-75 | 0,01 | 1950 | 19,5 |
| Паравольфра-мат аммония | кг | ТУ 6-09-3924-75 | 0,01 | 3950 | 39,5 |
| Индикатор ЭГ | кг | ГОСТ 10164-75 | 0,005 | 2000 | 10 |
| Индикатор ИК | кг | ТУ 6-09-07-545-85 | 0,005 | 5180 | 25,9 |
| Индикатор НГ | кг | - | 0,005 | 2229 | 11,1 |
| Индикатор БТС | кг | ТУ 6-09-2045-72 | 0,005 | 4900 | 24,5 |
| Индикатор БКП | кг | ТУ 6-09-5422-77 | 0,005 | 3360 | 16,8 |
| Индикатор МК | кг | ГОСТ 5853-51 | 0,005 | 1500 | 7,5 |
| Индикатор БФС | кг | ТУ 6-09-3719-83 | 0,005 | 5200 | 26 |
| Индикатор МО | кг | ГОСТ 10816-64 | 0,005 | 799 | 4 |
| Индикатор ФН | кг | ТУ 6-09-3804-82 | 0,005 | 4000 | 20 |
| Индикатор БЗ | кг | ТУ 6-09-07-1579-87 | 0,005 | 1020 | 5,1 |
| Индикатор КФ | кг | ТУ 6-09-07-1758-92 | 0,005 | 3380 | 16,9 |
| Индикатор ОНА | кг | ТУ 6-09-1321-76 | 0,005 | 708 | 3,5 |
| Индикатор ПХНА | кг | - | 0,005 | 1290 | 6,4 |
| Индикатор ДНА | кг | - | 0,005 | 1180 | 5,9 |
| Ацетон | л | ГОСТ 2603-79 | 1 | 80 | 80 |
| Вода дистиллиро-ванная | л | ГОСТ 6709-72 | 15 | 12 | 180 |
| ИТОГО: | 1244,3 |
Расчет суммы затрат на энергоресурсы
Расчет затрат на электроэнергию (Зэ/э ) производится по формуле:
Зэ/э i = М i * Т i * Цэ/э* Км i , (Б.1)
где, Мi — установленная мощность i-го оборудования, используемого при проведении исследований, кВт. Берется по паспортным данным используемого оборудования; Тi — время использования i-го оборудования за весь период исследования, час; Цэ/э — цена одного киловатт-часа электроэнергии, руб.; Кмi — коэффициент использования оборудования по мощности, доли единицы. Обычно Кмi принимается в интервале от 0,7 до 0,9. Расчеты суммы затрат на электроэнергию сведены в таблице Б.3.
Расчет суммы затрат на другие виды энергии (Зэ i ), в данной исследовательской работе на холодную воду, осуществляется по формуле:
Зэ i =Рэ i * Цэ i , (Б.2)
где Рэi – расход холодной воды, куб. м.; Цэi — цена за 1 куб. м. холодной воды, руб.
Зэв =10*15=150 руб.
Таблица Б.3 — Расчет суммы затрат на электроэнергию
| Наименование используемого оборудования | Установленная мощность, кВт | Число единиц оборудования, шт. | Время использования оборудования, час. | Коэффициент использования мощности, доли единицы | Цена одного кВт/часа электроэнергии, руб. | Затраты на электроэнергию, руб. |
| Весыаналитические | 0,75 | 1 | 20 | 0,8 | 2,81 | 33,7 |
| ВесыПЕТВЕС ЕТ-300 | 0,1 | 1 | 2 | 0,7 | 2,81 | 0,4 |
| Вакуумный шкаф | 1,2 | 1 | 30 | 0,8 | 2,81 | 80,9 |
| Сушильный шкаф | 1,6 | 1 | 60 | 0,8 | 2,81 | 215,8 |
| Вытяжной шкаф | 1 | 1 | 3 | 0,7 | 2,81 | 5,9 |
| Измеритель иммитанса Е 7-20 | 0,8 | 1 | 5 | 0,8 | 2,81 | 9 |
| Спектрофотометр СФ-46 | 0,17 | 1 | 15 | 0,8 | 2,81 | 5,7 |
| ИТОГО: | 351,4 |
Общие затраты на электроэнергию составляют: Зэ = 351,4+150=501,4 руб.
Расчет суммы затрат на специальное оборудование для научных и экспериментальных работ
К данной статье относятся затраты на приобретение и использование специального оборудования для проведения исследований.
Стоимость стеклянных приборов и посуды, которые использовали для проведения данного исследования, полностью включаются в сумму затрат. Сумма амортизационных отчислений (А) определяется исходя из первоначальной стоимости используемых для выполнения исследовательской работы оборудования и приборов Фн, годовых норм их амортизации на реновацию Нар и времени их использования для данного исследования Т:
А = (Ф n * На * Т)/(100х12) (Б.3)
где Фn — первоначальная (восстановительная) стоимость оборудования и приборов, (руб.); На — годовая норма амортизации, %; Т — время использования конкретного оборудования и/или прибора для проводимого исследования, мес.
Таблица Б.4 – Расчет стоимости специального оборудования и суммы амортизационных отчислений
| Наименование используемого оборудования | Количество единиц, шт. | Стоимость единицы оборудования, руб. | Стоимость всего оборудования, руб. | Годовая норма амортизации, % | Время использования, мес. | Сумма амортизации, руб. |
| Весы аналитические | 1 | 34000 | 34000 | 12 | 4 | 1360 |
| Весы ПЕТВЕС ЕТ-300 | 1 | 32000 | 32000 | 12 | 4 | 1280 |
| Сушильный шкаф | 1 | 8000 | 8000 | 100 | 4 | 2666,7 |
| Вытяжной шкаф | 1 | 20000 | 20000 | 100 | 4 | 6666,7 |
| Измеритель иммитанса Е 7-20 (МНИПИ) | 1 | 12000 | 12000 | 100 | 4 | 4000 |
| Спектро-фотометр СФ-46 | 1 | 50000 | 50000 | 12 | 4 | 2000 |
| МикрометрТИП 1ИГМ | 1 | 2000 | 2000 | 100 | 4 | 666,7 |
| ИТОГО: | 18640,1 |
Расчет затрат на стеклянные приборы и посуду
В таблице Б.5 приведен расчет стоимости стеклянных приборов и посуды.
Таблица Б.5 – Стеклянные приборы, посуда
Наименование прибора | Количество единиц, шт. | Стоимость единицы оборудования, руб. | Стоимость всего оборудования, руб. | Годовая норма амортизации, % | Время использования, мес. | Сумма амортизации, руб. |
| Колба мерная,50мл | 16 | 45 | 720 | 100 | 4 | 240 |
| Пипетка 10 мл | 1 | 30 | 30 | 100 | 4 | 10 |
| Пипетка 5 мл | 16 | 32 | 512 | 100 | 4 | 170,7 |
| Пробирка 10 мл | 50 | 10 | 500 | 100 | 4 | 166,7 |
| Кюветы спектрофото-метрические кварцевые20 мм | 2 | 870 | 1740 | 100 | 4 | 580 |
| Бюксы стеклянные20 мл | 10 | 53 | 530 | 100 | 4 | 176,7 |
| ИТОГО: | 1344,1 |
Общая сумма амортизационных отчислений (А) на стеклянную посуду и специальное оборудование составит:
Зп/об =18640,1+1344,1=19984,2 руб.
Расчет суммы заработной платы с обязательными начислениями
К данной статье относится заработная плата с обязательными начислениями сотрудников, занимавшихся исследованиями.
Трудозатраты студента-дипломника включаются в стоимость «know how». За оклад принимается размер стипендии.
Часовая тарифная ставка определяется исходя из установленного работнику тарифа:
, (Б.4)
где: Ок – оклад работника за месяц, руб, Д – среднее число рабочих дней в месяце, дн., Тсм – продолжительность рабочего дня, час.
Расчет часовой тарифной ставки доктора химических наук (руководителя): Тст =17800/(22*8)=101,1 руб.
Расчет часовой тарифной ставки научного сотрудника (руководителя):
Тст =8650/(22*8)=49,1 руб.
Часовая тарифная ставка студента-дипломника:
Тст =1600/(22*8)=9,1 руб.
Основная заработная плата (ЗПосн ) конкретного работника определяется по формуле:
ЗПосн =Тст *Тф , (Б.5)
где: Тф – время, затраченное конкретным работником на исследование, час.
Основная заработная плата доктора химических наук:
ЗПосн =101,1*15=1516,5 руб.
Основная заработная плата научного сотрудника:
ЗПосн =49,1*45=2210 руб.
Основная заработная плата студента-дипломника:
ЗПосн =9,1*700=6370 руб.
Дополнительная заработная плата начисляется в размере 20 % от суммы основной заработной платы. Страховые отчисления берутся в виде установленного действующим законодательством РФ на данный момент времени – 34,5 % от суммы основной и дополнительной заработной платы. Полученные значения представлены в таблице Б.6.
Таблица Б.6 — Расчет затрат на заработную плату и обязательных начислений на нее
| Категория работников | Кол-во человек | Часовая тарифная ставка, руб. | Затраченное время, час | Основная заработная плата, руб. | Дополнительная заработная плата, руб. | Страховые отчисления, руб. | Итого затраты на заработную плату, руб. |
| Доктор химических наук | 1 | 101,1 | 15 | 1516,5 | 303,3 | 627,8 | 2447,6 |
| Научный сотрудник | 1 | 49,1 | 45 | 2210 | 442 | 914,9 | 3566,9 |
Инженер 2 кат. (студент-дипломник) | 1 | 9,1 | 700 | 6370 | 1274 | 2637,2 | 10281,2 |
| ИТОГО: | 10096,5 | 2019,3 | 4179,9 | 16295,7 |
Расчет суммы расходов на использование вычислительной техники
Расчет суммы расходов на использование вычислительной техники (ЗВТ ) будет определяться по формуле:
Звт =Твт *Свт , (Б.6)
где: Твт – количество часов работы вычислительной техники, час, Свт – стоимость одного машино/часа эксплуатации вычислительной техники, руб/час. Таким образом:
Звт =120*150= 18000 руб.
Расчет суммы накладных расходов
К данной статье затрат относятся косвенные расходы лабораторий, где проводились исследования и общеинститутские расходы. Это затраты на содержание административно-управленческого персонала, на отопление и освещение, расходы на текущий ремонт, на командировки, канцелярские товары и прочее. Они определяются в виде процента от суммы прямых затрат и составляют приблизительно 30 %.
Результаты расчетов суммы затрат по все статьям представим в виде основной таблицы, представляющей собой смету затрат на разработку «know how» (таблица Б.7).
Расчет прочих затрат
Затраты на выполнение специальных анализов составили:
— Электронная спектроскопия диффузного отражения – 100 руб.
— Атомно-силовая микроскопия – 250 руб.
Таким образом, стоимость прочих затрат составила:
Зпрочие =100+250 = 350 руб.
Расчет сметы затрат на разработку
Результаты расчетов суммы затрат по всем статьям представлены в виде сводной таблицы Б.7.
Таблица Б.7 — Смета затрат на выполнение НИР
| Наименование статьи затрат | Сумма, руб. | Удельный вес в общей сумме, % |
| 1 Сырье, материалы и реактивы | 1244,3 | 1,7 |
2 Энергетические ресурсы, в том числе: 2.1. Электроэнергия 2.2. Вода | 501,4 351,4 150 | 0,7 |
| 3 Специальное оборудование и приборы для научно-экспериментальных работ (в размере амортизационных отчислений) | 19984,2 | 27 |
4 Оплата труда с обязательными отчислениями, в том числе: 4.1 основная заработная плата 4.2 дополнительная заработная плата 4.3 Страховые отчисления | 16295,7 10096,5 2019,3 4179,9 | 22 |
| 5 Использование вычислительной техники | 18000 | 24,3 |
6 Прочие затраты, в том числе 6.1 ЭСДО 6.2 АСМ | 350 100 250 | 0,5 |
| ИТОГО ПРЯМЫХ ЗАТРАТ: | 56375,6 | 76,2 |
| Накладные расходы(≈ 30% от прямых затрат) | 17624,4 | 23,8 |
| ИТОГО: | 74000 | 100,0 |
Минимальная цена разработки
Минимальную цену разработки устанавливаем с учетом минимальной расчетной рентабельности к затратам:
(Б.7)
где С – затраты на разработку (себестоимость научно-технической разработки продукции); Р – расчетная минимальная рентабельность (20 % к себестоимости).
Ц = 74000 · (1 +
) = 89000 руб.
В результате расчетов получили оценку проводимого исследования, которая составила – 89000 рублей.
Выводы
В результате проделанной работы можно сделать следующие выводы:
1. Цена на научно-исследовательскую работу составила 89000 рублей. Наибольший процент от этой суммы составили затраты на амортизацию оборудования и приборов, затраты на использование вычислительной техники, которая непосредственно используется для проведения лабораторных испытаний и консультаций, относящихся к данному исследованию и оплату труда (около 27%, 24% и 22% соответственно).
2. В настоящее время, в современном материаловедении широко используются композиционные материалы на основе титаната бария и ЦЭПСа в качестве защитного диэлектрического слоя в ЭЛИС. Электролюминесцентные источники применяются для таких целей, как декоративное маскировочное и рекламное освещение, архитектурное оформление помещений, подсветка дисплеев, шкал приборов, приборных щитков, уличных знаков, а так же в случаях, когда требуется, равномерное освещение большой поверхности. Применяется электролюминесцентные источники света также для отображения разнообразной и быстроменяющейся информации в сложных системах управления движущимися объектами, в логических схемах, в линиях передачи данных. Таким образом на основании вышеизложенного можно сделать заключение о больших возможностях в плане практического использования результатов работы и экономический эффект от применения результатов исследований может составить значительную величину и окупить все затраты. Рассчитать экономический эффект на данной стадии исследования не представляется возможным.
3. На основании маркетингового исследования можно сделать вывод, что исследуемый продукт на сегодняшний день востребован и может составить довольно серьезную конкуренцию, имеющимся на рынке аналогам.
ПРИЛОЖЕНИЕ В
Охрана труда и окружающей среды
Охрана труда представляет собой систему законодательных актов, социально-экономических, организационных, технических, гигиенических и лечебно-профилактических мероприятий, обеспечивающих безопасность, сохранение здоровья и работоспособности человека в процессе труда.
Большое значение в деле охраны труда имеет техника безопасности, представляющая собой систему организационных мероприятий и технических средств, предотвращающих воздействие на работающих опасных производственных факторов, а также производственная санитария — система организационных мероприятий и технических средств, предотвращающих или уменьшающих воздействие на работающих вредных производственных факторов.
Для эффективной деятельности любого предприятия необходима организация охраны труда. В первую очередь потому, что самой высокой ценностью всегда является человек, его жизнь и здоровье. Кроме того, в данном случае речь также идет о ценности конкретного человека как сотрудника с присущими ему знаниями, навыками и опытом. Во-вторых, правильно организованная работа по обеспечению безопасности труда повышает дисциплинированность работников, что, в свою очередь, ведет к повышению производительности труда, снижению количества несчастных случаев, поломок оборудования и иных нештатных ситуаций, то есть повышает в конечном итоге эффективность производства. В-третьих, охрана труда подразумевает не только обеспечение безопасности работников во время исполнения ими служебных обязанностей. На самом деле сюда также относятся самые разные мероприятия: например, профилактика профессиональных заболеваний, организация полноценного отдыха и питания работников во время рабочих перерывов, обеспечение их необходимой спецодеждой и гигиеническими средствами и даже выполнение социальных льгот и гарантий. Таким образом, благодаря налаженной охране труда снижается также текучесть кадров, что тоже благотворно влияет на стабильность всего предприятия. В данном разделе дипломной работы освещаются основные вопросы техники безопасности и экологии труда.
Опасные и вредные производственные факторы
В процессе научно-исследовательской работы на исполнителя могут воздействовать опасные и вредные производственные факторы [42]. Эти факторы подразделяются на четыре группы: физические, химические, биологические и психофизиологические.
К опасным физическим факторам относятся: движущиеся машины и механизмы; подвижные части производственного оборудования; различные подъемно-транспортные устройства и перемещаемые грузы; отлетающие частицы обрабатываемого материала и инструмента, электрический ток, повышенная или пониженная температура поверхностей оборудования и обрабатываемых материалов, повышенный уровень шума на рабочем месте, вибрации, инфразвуковых колебаний и т.д.
Химические опасные и вредные производственные факторы по характеру действия на организм человека подразделяются на следующие подгруппы:
1) по характеру воздействия на организм человека на :
токсические; раздражающие; сенсибилизирующие; канцерогенные; мутагенные; влияющие на репродуктивную функцию;
2) по пути проникания в организм человека через :
органы дыхания; желудочно-кишечный тракт; кожные покровы и слизистые оболочки.
Биологические опасные и вредные производственные факторывключают следующие биологические объекты: патогенные микроорганизмы (бактерии, вирусы, риккетсии, спирохеты, грибы, простейшие) и продукты их жизнедеятельности.
Психофизиологические опасные и вредные производственные факторы по характеру действияподразделяются на: физические перегрузки (статические, динамические) и нервно-психические перегрузки (умственное перенапряжение, перенапряжение анализаторов слуха, зрения; монотонность труда; эмоциональные перегрузки).
Список используемых веществ, их физико-химические свойства и характер воздействия на организм человека приводятся в таблице В.1.
Характеристика помещения лаборатории
Дипломная работа выполнялась на кафедре Теоретических основ материаловедения; данная лаборатория согласно нормам пожарной безопасности [46] относится к категории В4 пожароопасности – как помещение, где проводятся работы с небольшими количествами легковоспламеняющихся жидкостей (ЛВЖ) и горючих веществ, недостаточными для создания взрывоопасной смеси в зоне, превышающей 5% свободного помещения.
Общая пожарная безопасность для объектов данной категории регламентируется требованиями ГОСТ 12.1.004 – 76 ССБТ [47].
Пожарная нагрузка помещения определялась по формуле:
(В.1)
где Q — пожарная нагрузка, МДж/м2 ;
Gi — количества i-го материала пожарной нагрузки, кг;
Q(р)нi — низшая теплота сгорания i -го материала пожарной нагрузки, МДж/кг
S – площадь помещения, 20 м2 .
Расчет пожарной нагрузки приведен в таблице В2.
Таблица В.1 — Характеристика физико-химических, пожаровзрывоопасных и токсичных свойств сырья, готового продукта и отходов производства [43-45]
| Вещества | Физико-химические свойства | Пожаровзрывоопасные свойства | Токсические свойства | ||||||||||
| Агрегатное состояние | Температура кипения, °С | Температура плавления, °С | Плотность, г/см3 | Температура, °С | Пределы распространения пламени | Характер действия на организм человека | Класс опасности | ПДК, мг/м3 | |||||
| Вспышки | Самовоспла-менения | Темпера-турные,°С | Концентра-ционные, об. % | ||||||||||
| Н | В | Н | В | ||||||||||
| ЦЭПС | Ж | 82,5 | -89,5 | 0,79 | 22,5 | - | - | - | - | - | Раздражает слизистые глаз и верхних дыхательных путей. Пары могут повредить сетчатку глаза | 4 | 10 |
| Ацетон | Ж | 56,2 | -95,4 | 0,79 | -18 | 465 | - | - | - | - | Раздражает и прижигает слизистые оболочки дыхательных путей, глаз, кожи | 4 | 200 |
Таблица В.2 – Расчет пожарной нагрузки
| Материал | G, кг | Q(р)нi, МДж/кг | G х Q(р)нi, МДж | Q, МДж/м2 |
| Древесина, мебель | 130 | 13,8 | 1794 | 89,7 |
| Бумага, книги, журналы | 70 | 13,4 | 938 | 46,9 |
| Резина | 1 | 33,52 | 33,52 | 1,68 |
| Линолеум поливинилхлоридный | 20 | 14,31 | 286,2 | 14,31 |
| Полиэтилен | 2 | 47,14 | 94,28 | 4,71 |
| Ацетон | 3,2 | 1,83 | 5,86 | 0,29 |
| ИТОГО: | 157,6 |
В помещении имелись горючие жидкости и горючие вещества, пожарная нагрузка которых составила 157,6 МДж/м2, что находится в пределах 0-180 МДж/м2, таким образом помещение относится к классу В4 [46].
Из горючих веществ в работе использовался только ацетон – в условиях, исключающих контакт с открытым пламенем либо телами, нагретыми до высокой температуры.
По ПУЭ-98, помещение, где выполнялась данная дипломная работа, относится к классу В-Iб, как зона, в которой при эксплуатации взрывоопасные смеси горючих газов и паров ЛВЖ с воздухом не образуются, а возможны только в результате аварий или неисправностей [48].
Средства тушения пожара
Помещения лаборатории оснащены средствами пожаротушения: огнетушителями, асбестовым одеялом и ящиком с песком.
Применение открытого огня в лаборатории ограничено. На случай возникновения пожара имеются: ящик с песком, асбестовое одеяло и огнетушитель ОП-4(3), марки «Вексон — АВС». При пожаре необходимо обесточить электрооборудование, сообщить дежурному по кафедре, вызвать в случае необходимости пожарную охрану, применять наиболее эффективные средства пожаротушения.
Запрещается использование огнетушителя при воспламенении оборудования.
Вентиляционная установка
Самым распространенным средством снижения содержания вредных веществ в воздухе рабочей зоны является вентиляция. Вентиляция представляет собой организованный и регулируемый воздухообмен, обеспечивающий удаление из помещения воздуха, загрязненного вредными газами, а также улучшающий микроклиматические условия в производственных помещениях.
Для обеспечения нормальных санитарно-гигиенических условий труда лаборатория оснащена приточно-вытяжной вентиляцией. Объем воздуха, удаляемый вытяжной вентиляцией, в объеме 90% компенсируется притоком свежего воздуха от специальной центральной системы кондиционирования воздуха, размещенный в техническом блоке. 10% приточного воздуха попадает в коридор.
Для защиты работающих в лаборатории от соприкосновения с вредными веществами, основные, подготовительные и часть промежуточных операций выполняются в вытяжных шкафах. Для предотвращения распространения паров вредных веществ вытяжные шкафы оборудованы индивидуальной вентиляционной системой отсоса, а также специальными защитными шторками. Скорость подсоса воздуха в рабочем проеме шкафа W=0,75–1,00 м/с, кратность воздухообмена К=(2,5–3,5), ч-1, что соответствует требованиям [43]. Так как используемые в работе вещества относятся к группе ядовитых, то лаборатория отвечает требованиям санитарных норм СН-245-71 [49] .
Вентиляционная система размещается в специальном помещении на техническом этаже здания. Кнопки пуска, остановки и анализирующий прибор находятся непосредственно у лабораторных шкафов [50].
По своему характеру лаборатория является химической, с применением различного лабораторного оборудования, стеклянной посуды, электрических приборов и установок.
Санитарно-гигиенические требования к производственным помещениям для воздуха рабочей зоны соответствовали требованиям ГОСТ 12.1.005 – 88 ССБТ [43].
Освещение помещения
Правильно спроектированное и выполненное освещение обеспечивает возможность нормальной производственной деятельности.
Из общего объема информации человек получает через зрительный канал около 80 %. Качество поступающей информации во многом зависит от освещения: неудовлетворительное количественно или качественно оно не только утомляет зрение, но и вызывает утомление организма в целом. Нерациональное освещение может, кроме того, являться причиной травматизма: плохо освещенные опасные зоны, слепящие источники света и блики от них, резкие тени ухудшают видимость настолько, что вызывает полную потерю ориентировки работающих.
По зрительной нагрузке данная работа относится к разряду IV, что соответствует разряду зрительной работы средней точности (работы средней точности по СНиП 23-05-95). Норма освещенности 200 Люкс. Освещение помещения смешанное: естественное через окна и искусственное – лампы дневного света [51]. Освещенность помещения при оформлении дипломной работы составляет 300 люкс.
Работа проводилась после общего, а затем специального инструктажа по ТБ на рабочем месте.
Аптечка и её содержание
В лаборатории находится аптечка со всеми необходимыми медикаментами (стерильные бинты, вата, нашатырный спирт, раствор борной кислоты, раствор питьевой соды, раствор перманганата калия).
Безопасность выполнения работы в лаборатории
Электрооборудование
При выполнении дипломной работы использовались следующие электрические приборы:
· Весы электрические (аналитические и технические)
· Компьютер
· Сушильный шкаф
· Спектрофотометр СФ-46
· Измеритель иммитанса Е 7-20 (МНИПИ)
· Вытяжной шкаф
Все электроприборы питались от сети переменного тока с напряжением 220 В и промышленной частоты 50 Гц. Для исключения травм, вызванных поражением электрическим током, был выполнен целый ряд мероприятий [48]:
· перед началом работы, при монтаже электроустановки проверялась исправность всех приборов, их заземление и качество изоляции соединяющих проводов;
· все электроприборы эксплуатировались согласно правилам техники безопасности, действующим в лаборатории, в строгом соответствии с техническими описаниями и инструкциями по эксплуатации.
Класс помещения по опасности поражения электрическим током – без повышенной опасности.
Техника безопасности при работе с вредными веществами и меры оказания первой помощи [52]
Реагенты, применяемые при выполнении данной дипломной работы (циановый эфир поливинилового спирта, ацетон), при попадании на слизистые глаз и верхних дыхательных путей могут вызвать их раздражение и химические ожоги. Пары могут повредить сетчатку глаза и зрительный нерв. Во избежание этого необходимо соблюдать осторожное обращение с ними и применять СИЗ: резиновые перчатки, халат, защитные герметичные очки, респиратор. При возникновении следующих ситуаций необходимо:
Химические ожоги . При попадании в глаза ЦЭПСа, ацетона необходимо немедленное промывание глаз водой в течение 10-15 минут. После промывки немедленно обратиться к врачу.
Порезы . При неглубоких порезах нужно наложить повязку, при сильных кровотечениях остановить кровь при помощи жгута, продезинфицировать кожу вокруг раны раствором йода или перманганата калия, наложить стерильную повязку и доставить пострадавшего в ближайший медицинский пункт.
Электротравма . Необходимо обесточить электроустановку или изолирующим предметом отсоединить пострадавшего от токоведущих частей, немедленно вызвать врача. При потере сознания необходимо проверить пульс и дыхание, если пульс и дыхание отсутствуют, то до прихода врача необходимо сделать искусственное дыхание и массаж сердца. Если пульс и дыхание присутствуют, то необходимо пострадавшего положить на спину, повернуть голову на бок и попытаться привести в сознание при помощи нашатырного спирта.
Анализ технологических операций
Проведение ряда экспериментов представляло определенную опасность. Точное соблюдение правил и инструкций по технике безопасности и эксплуатации оборудования позволило избежать несчастных случаев. Все работы, имеющие потенциальную опасность, проводились под наблюдением руководителя.
Анализ операций с точки зрения возможного травматизма сведен в таблице В.3.
Таблица В.3 – Анализ технологических операций с точки зрения опасностей и вредностей при их проведении
| Наименование технологических операций | Оборудование для проведения операции | Реактивы необходимые для проведения операции | Возможные опасности и вредности при проведении данной технологической операции | Причины проявления данной опасности и вредности | Меры по безопасному проведению данной технологической операции |
Приготовление композитов | Стеклянная посуда | Модифици-рованный титанат бария, ЦЭПС | Раздражение на руках, слизистых глаз и верхних дыхательных путей. Возможность повреждения парами сетчатки глаза. | При работе с композитами без резиновых перчаток и вне вытяжного шкафа | Работа в перчатках, в вытяжном шкафу, в респираторе |
| Обезжиривание стеклянной пластинки | Щипцы, ватный тампон | ацетон | Химические ожоги, поражение дыхательных путей | Попадание на кожу при проливе реагента | Работа в вытяжном шкафу и резиновых перчатках |
| Измерение оптической плотности растворов | Спектрофотометр | --- | Поражение электрическим током | Оголенные провода при включении в сеть | Проверка изоляции перед работой |
| Измерение диэлектрической проницаемости образцов | Измеритель иммитанса | --- | Поражение электрическим током | Оголенные провода при включении в сеть | Проверка изоляции перед работой |
| Приготовление растворов для измерения оптической плотности | Стеклянная посуда | Модифици-рованный титанат бария, индикаторы, дистиллированная вода | Порезы рук | Разбитая посуда | Перед началом работы проверить целостность стеклянной посуды |
Охрана окружающей среды
В проведении сложных мероприятий по охране окружающей среды не было необходимости. Характеристика отходов и обращение с ними приведено в таблице В.4.
Таблица В.4 – Характеристика производственных отходов
| Отходы | Агрегатное состояние | Вредные вещества (примеси) | Примечание |
| Слив отработанных растворов | ж | Отработанные растворы | В сборник жидких отходов |
| Слив промывных вод | ж | дистиллированная вода с растворенными остатками реагентов | В сборник жидких отходов |
| Ватные тампоны | т | Следы реагентов | В сборник твердых отходов |
| Газообразные вещества | г | Растворители при сушке композиционных материалов | В вытяжной шкаф |
Изготовленные в процессе работы композиты хранятся на кафедре для последующих измерений.
Общее количество отходов в данной работе не превысило 8 л.