Реферат: Организация финансов предприятия 2
Оглавление
Введение. 3
1. Финансовые ресурсы предприятия. 3
1.1. Источники формирования финансовых ресурсов. 3
1.2. Денежные фонды и денежные потоки предприятия. 3
2.Имущество предприятия и эффективность его использования. 3
2.1.Оборотные капиталы предприятия. 3
2.2.Финансирование внеоборотных активов. 3
3.Формирование и распределение прибыли. 3
Список использованных источников: 3
Введение
Понятие «финансы» ассоциируется у многих обывателей с денежными средствами, но на самом деле, финансы – это не только денежные средства, но и те отношения, которые складываются в процессе формирования и распределения денежных фондов. «Финансы — совокупность всех денежных ресурсов, находящихся в распоряжении государства и хозяйствующих субъектов, а также система их формирования, распределения и использования». Различают финансы государства и финансы предприятий. Соответственно, финансы государства – это отношения, возникающие в процессе формирования и использования государственных денежных фондов (бюджет и внебюджетные фонды), а финансы предприятий – это отношения, возникающие в процессе формирования и использования денежных фондов предприятия. Таким образом, как следует из определения, финансы предприятий и государственные финансы образуют сложную взаимосвязанную систему.
Выделяют три основных функции финансов предприятий: 1. Воспроизводственная; 2. Распределительная; 3. Контрольная. Смысл воспроизводственной функции состоит в том, что любое предприятие осуществляет свою деятельность с целью повышения прибыли, а один из способов этого добиться – расширение производства. Помимо того, что предприятие постоянно поддерживает величину оборотных средств, которые участвуют в процессе производства и не могут быть изъяты из него, предприятие должно изыскивать средства для введения новых производственных технологий (расширенное воспроизводство). Именно правильная организация финансов предприятия помогает осуществлять расширенное воспроизводство. Распределительная функция финансов предприятий способствует распределению финансовых ресурсов между различными инвестиционными проектами в зависимости от их перспективности. Но кроме этого, распределительная функция проявляется и внутри самого предприятия (распределение между финансовыми фондами предприятия, формирование прибыли и т.д.). Что касается контрольной функции финансов предприятий, то она проявляется в конечном результате их финансово-хозяйственной деятельности. Например, прибыль предприятия свидетельствует о правильной организации финансов, а её (прибыли) анализ устанавливает положительные и отрицательные факторы, влияющие на неё. И наоборот, убыток свидетельствует о необходимости незамедлительного вмешательства в процесс финансово-хозяйственной деятельности предприятия и принятия неотложных мер. Некоторые экономисты выделяют и другие функции финансов предприятий, но все эти функции, так или иначе, относятся к перечисленным выше трём основным функциям.
Финансовые отношения, возникающие на хозяйствующих субъектах, тесно переплетены с государственными финансовыми отношениями. В первую очередь, это вопросы уплаты налогов. Денежные средства, которые служат источником формирования различных фондов на предприятии, подлежат предварительному налогообложению. Государство создаёт условия для функционирования предприятия, а предприятие должно за это уплачивать в бюджет налоги. Предприятие, как хозяйствующий субъект, имеющий определённые права и обязанности, не может существовать вне государства. Налоги, которые поступают в результате отношений финансов предприятий, являются основным источником формирования государственного бюджета и бюджетов различных уровней. Налоговые платежи взимаются безвозмездно и не подлежат прямому возврату налогоплательщикам, но государство имеет определённые обязательства, связанные с предоставлением налогоплательщикам определённого объёма государственных услуг (охрана общественного порядка, пожарная безопасность, внешняя безопасность и т.д.). Всё это определяет значение финансов предприятий.
Цель курсовой работы заключается в выполнении расчетов по формированию финансовых ресурсов предприятия и в обосновании его финансовой устойчивости.
Задачами курсовой работы являются:
— закрепление теоретических знаний, полученных при изучении курса «Финансы организаций (предприятий)»;
— приобретение навыков самостоятельной работы со специальной, нормативной, периодической литературой;
— применение теоретических знаний для решения конкретных практических задач.
1. Финансовые ресурсы предприятия
1.1. Источники формирования финансовых ресурсов
С переходом российской экономики на рыночные основы хозяйствования перед предприятиями встала проблема обеспечения производства финансовыми ресурсами. Если при плановой экономике предприятия, в случае неудачи, могли рассчитывать на помощь государства с его системой перераспределения финансовых ресурсов, то в современных условиях хозяйствования решение вопроса выживания и процветания находится в собственных руках предприятия.
Финансовые ресурсы предпринимательской фирмы можно определить как совокупность собственных денежных доходов и поступлений извне, находящихся в распоряжении фирмы и предназначенных для выполнения ее финансовых обязательств, финансирования текущих затрат и затрат, связанных с расширением производства.
Финансовые ресурсы предпринимательской фирмы по своему происхождению делятся на собственные и заемные. Собственные финансовые ресурсы формируются за счет внутренних и внешних источников:

В составе внутренних источников основное место принадлежит прибыли, остающейся в распоряжении фирмы, которая распределяется решением органов управления.
Важную роль в составе внутренних источников играют также амортизационные отчисления, которые представляют собой денежное выражение стоимости износа основных средств и нематериальных активов и являются внутренним источником финансирования как простого, так и расширенного воспроизводства.
В составе внешних (привлеченных) источников формирования собственных финансовых ресурсов основная роль принадлежит дополнительной эмиссии ценных бумаг, посредством которой происходит увеличение акционерного капитала фирмы, а также привлечение дополнительного складочного капитала, путем дополнительных взносов средств в уставный фонд.
Для некоторых предприятий дополнительным источником формирования собственных финансовых ресурсов является предоставляемая им безвозмездная финансовая помощь.
К прочим внешним источникам относятся безвозмездно передаваемые фирмам материальные и нематериальные активы, включаемые в состав их баланса.
В условиях рыночной экономики производственно-хозяйственная деятельность фирмы невозможна без использования заемных средств, к которым относятся:
кредиты банков;
заемные средства других предприятий и организаций;
средства от выпуска и продажи облигаций фирмы;
средства внебюджетных фондов;
бюджетные ассигнования на возвратной основе и др.
Привлечение заемных средств позволяет фирме ускорять оборачиваемость оборотных средств, увеличивать объемы совершаемых хозяйственных операций, сокращать незавершенное производство. Однако использование данного источника приводит к возникновению определенных проблем, связанных с необходимостью последующего обслуживания принятых на себя долговых обязательств.
При равенстве этих показателей возникает вопрос о целесообразности привлечения заемных источников формирования финансовых ресурсов, как не обеспечивающих дополнительного дохода. В ситуации же, когда размер затрат по обслуживанию кредиторской задолженности превышает размер дополнительных доходов от ее использования, неизбежно ухудшение финансовой ситуации в форме:
сокращения прибыли из-за необходимости направления значительной части выручки от основной деятельности на расчеты по ранее полученным ссудам (фирма фактически начинает работать не на себя, а на своих кредиторов);
дальнейшего возрастания задолженности из-за необходимости привлечения новых ссуд для обслуживания полученных ранее;
потери финансовой самостоятельности фирмы из-за невозможности осуществления своевременно расчетов по своим обязательствам;
дальнейшего возрастания задолженности из-за необходимости привлечения новых ссуд для обслуживания полученных ранее;
потери финансовой самостоятельности фирмы из-за невозможности своевременного осуществления расчетов по своим обязательствам.
Определим источники формирования имущества предприятия и коэффициент соотношения заемных и собственных средств по формуле:
где П3, П4, П5 – соответствующие разделы пассива баланса;
Кз/с – коэффициент соотношения заемных и собственных средств.
Вывод: Кз/с как на начало года, так и на конец находится в допустимых границах, это значит, что предприятие не зависит от внешних источников финансирования.
1.2. Денежные фонды и денежные потоки предприятия
Важной стороной финансовой деятельности фирмы является формирование и использование различных денежных фондов в процессе осуществления производственно-хозяйственной деятельности. С их помощью осуществляется обеспечение хозяйственной деятельности необходимыми денежными средствами, а также расширенного воспроизводства; финансирование научно-технического прогресса; освоение и внедрение новой техники; экономическое, стимулирование; расчеты с бюджетом, банками.
Формируемые на предприятиях денежные фонды можно поделить на четыре группы:
фонды собственных средств;
фонды привлеченных средств;
фонды заемных средств;
оперативные денежные фонды.
К фондам собственных средств относятся: уставный капитал, добавочный капитал, резервный капитал, инвестиционный фонд, валютный фонд и прочие. Инвестиционный фонд является источником увеличения уставного капитала фирмы, так как вложения в развитие производства увеличивают имущество фирмы. Валютный фонд формируется на предприятиях, получающих валютную выручку от экспортных операций и покупающих валюту для импортных операций.
Фонды привлеченных средств включают в себя: фонд потребления, расчеты по дивидендам, доходы будущих периодов, резервы предстоящих расходов и платежей. Это фонды прочих средств. Они имеют двойственный характер. С одной стороны, эти средства находятся в обороте предприятия, а с другой — они принадлежат его работникам (дивиденды и фонд потребления).
Фонд потребления — это денежный фонд, образуемый за счет чистой прибыли фирмы. Он предназначен в основном на удовлетворение материальных потребностей работников фирмы, на выплату дивидендов (в акционерных обществах), на уплату в ряде случаев штрафов, пени за нарушения по вине фирмы.
Фонды заемных средств — это кредиты банков, коммерческие кредиты, факторинг, лизинг и прочие заемные средства. В условиях рыночной экономики ни одно предприятие не может обходиться без заемных средств. Многообразие фондов дает возможность использовать их в различных ситуациях.
Оперативные денежные фонды фирмы, образующие четвертую группу денежных фондов, создаются периодически. К этой группе относятся следующие фонды: для выплаты заработной платы, для выплаты дивидендов, для платежей в бюджет и пр. Дважды или один раз в месяц формируется фонд для выплаты заработной платы. Обычно один раз в год (реже один раз в квартал) должен быть образован фонд для выплаты акционерам дивидендов по акциям. Периодически фирма организует фонд для платежей в бюджет различных отчислений.
Денежный поток предприятия представляет собой совокупность распределенных во времени поступлений и выплат денежных средств, генерируемых его хозяйственной деятельностью.
Высокая роль эффективного управления денежными потоками предприятия определяется следующими основными положениями:
1. Денежные потоки обслуживают осуществление хозяйственной деятельности предприятия практически во всех ее аспектах. Образно денежный поток можно представить как систему «финансового кровообращения» хозяйственного организма предприятия.
2. Эффективное управление денежными потоками обеспечивает финансовое равновесие предприятия в процессе его стратегического развития. Темпы этого развития, финансовая устойчивость предприятия в значительной мере определяются тем, насколько различные виды потоков денежных средств синхронизированы между собой по объемам и во времени.
3. Рациональное формирование денежных потоков способствует повышению ритмичности осуществления операционного процесса предприятия. Любой сбой в осуществлении платежей отрицательно сказывается на формировании производственных запасов сырья и материалов, уровне производительности труда, реализации готовой продукции и т.п.
4. Эффективное управление денежными потоками позволяет сократить потребность предприятия в заемном капитале. Активно управляя денежными потоками, можно обеспечить более рациональное и экономное использование собственных финансовых ресурсов, формируемых из внутренних источников, снизить зависимость темпов развития предприятия от привлекаемых кредитов
5. Управление денежными потоками является важным финансовым рычагом обеспечения ускорения оборота капитала предприятия. Этому способствует сокращение продолжительности производственного и финансового циклов, достигаемое в процессе результативного управления денежными потоками, а также снижение потребности в капитале, обслуживающем хозяйственную деятельность предприятия.
6. Эффективное управление денежными потоками обеспечивает снижение риска неплатежеспособности предприятия. Даже у предприятий, успешно осуществляющих хозяйственную деятельность и генерирующих достаточную сумму прибыли, неплатежеспособность может возникать как следствие несбалансированности различных видов денежных потоков во времени.
Понятие «денежный поток предприятия» является агрегированным, включающим в свой состав многочисленные виды этих потоков, обслуживающих хозяйственную деятельность. В целях обеспечения эффективного целенаправленного управления денежными потоками они требуют определенной классификации. Такую классификацию денежных потоков предлагается осуществлять по следующим основным признакам:
1. По масштабам обслуживания хозяйственного процесса выделяются следующие виды денежных потоков:
— денежный поток по предприятию в целом. Это наиболее агрегированный вид денежного потока, который аккумулирует все виды денежных потоков, обслуживающих хозяйственный процесс предприятия в целом;
— денежный поток по отдельным структурным подразделениям (центрам ответственности) предприятия. Такая дифференциация денежного потока предприятия определяет его как самостоятельный объект управления в системе организационно-хозяйственного построения предприятия;
— денежный поток по отдельным хозяйственным операциям. В системе хозяйственного процесса предприятия такой вид денежного потока следует рассматривать как первичный объект самостоятельного управления.
2. По видам хозяйственной деятельности в соответствии с международными стандартами учета выделяют следующие виды денежных потоков:
— денежный поток по операционной деятельности. Он характеризуется денежными выплатами поставщикам сырья и материалов; сторонним исполнителям отдельных видов услуг, обеспечивающих операционную деятельность: заработной платы персоналу, занятому в операционном процессе, а также осуществляющему управление этим процессом; налоговых платежей предприятия в бюджеты всех уровней и во внебюджетные фонды; другими выплатами, связанными с осуществлением операционного процесса. Одновременно этот вид денежного потока отражает поступления денежных средств от покупателей продукции; от налоговых органов в порядке осуществления перерасчета излишне уплаченных сумм и некоторые другие платежи, предусмотренные международными стандартами учета;
— денежный поток по инвестиционной деятельности. Он характеризует платежи и поступления денежных средств, связанные с осуществлением реального и финансового инвестирования, продажей выбывающих основных средств и нематериальных активов, ротацией долгосрочных финансовых инструментов инвестиционного портфеля и другие аналогичные потоки денежных средств, обслуживающие инвестиционную деятельность предприятия;
— денежный поток по финансовой деятельности. Он характеризует поступления и выплаты денежных средств, связанные с привлечением дополнительного акционерного или паевого капитала, получением долгосрочных и краткосрочных кредитов и займов, уплатой в денежной форме дивидендов и процентов по вкладам собственников и некоторые другие денежные потоки, связанные с осуществлением внешнего финансирования хозяйственной деятельности предприятия.
3. По направленности движения денежных средств выделяют два основных вида денежных потоков:
— положительный денежный поток, характеризующий совокупность поступлений денежных средств на предприятие от всех видов хозяйственных операций (в качестве аналога этого термина используется термин «приток денежных средств»);
— отрицательный денежный поток, характеризующий совокупность выплат денежных средств предприятием в процессе осуществления всех видов его хозяйственных операций (в качестве аналога этого термина используется термин «отток денежных средств»).
4. По методу исчисления объема выделяют следующие виды денежных потоков предприятия:
— валовой денежный поток. Он характеризует всю совокупность поступлений или расходования денежных средств в рассматриваемом периоде времени в разрезе отдельных его интервалов;
— чистый денежный поток. Он характеризует разницу между положительным и отрицательным денежными потоками (между поступлением и расходованием денежных средств) в рассматриваемом периоде времени в разрезе отдельных его интервалов. Чистый денежный поток является важнейшим результатом финансовой деятельности предприятия, во многом определяющим финансовое равновесие и темпы возрастания его рыночной стоимости.
5. По уровню достаточности объема выделяют следующие виды денежных потоков предприятия:
— избыточный денежный поток. Он характеризует такой денежный поток, при котором поступления денежных средств существенно превышают реальную потребность предприятия в целенаправленном их расходовании. Свидетельством избыточного денежного потока является высокая положительная величина чистого денежного потока, не используемого в процессе осуществления хозяйственной деятельности предприятия;
— дефицитный денежный поток. Он характеризует такой денежный поток, при котором поступления денежных средств существенно ниже реальных потребностей предприятия в целенаправленном их расходовании. Даже при положительном значении суммы чистого денежного потока он может характеризоваться как дефицитный, если эта сумма не обеспечивает плановую потребность в расходовании денежных средств по всем предусмотренным направлениям хозяйственной деятельности предприятия. Отрицательное же значение суммы чистого денежного потока автоматически делает этот поток дефицитным.
6. По методу оценки во времени выделяют следующие виды денежного потока:
— настоящий денежный поток. Он характеризует денежный поток предприятия как единую сопоставимую его величину, приведенную по стоимости к текущему моменту времени;
— будущий денежный поток. Он характеризует денежный поток предприятия как единую сопоставимую его величину, приведенную по стоимости к конкретному предстоящему моменту времени. Понятие будущий денежный поток может использоваться и как номинальная идентифицированная его величина в предстоящем моменте времени (или в разрезе интервалов будущего периода), которая служит базой дисконтирования в целях приведения к настоящей стоимости.
Рассмотренная классификация позволяет более целенаправленно осуществлять учет, анализ и планирование денежных потоков различных видов на предприятии.
Движение денежных средств, тыс.руб.
Показатели | Приток денежных средств | Отток денежных средств | Чистый поток денежных средств |
Остаток денежных средств на н.г. | 180 | ||
1 Основная деятельность | |||
1.1 Поступления от реализации | 980 | ||
1.2 Платежи за сырье и материалы | 2300 | ||
1.3 Авансы, полученные от покупателей | 750 | ||
1.4 Заработная плата | 1050 | ||
1.5 Возврат дебиторской задолженности | 2500 | ||
1.6 Платежи в бюджет и ВНФ | 400 | ||
1.7 Прочие доходы от основной деятельности | 310 | ||
1.8 Накладные расходы | 290 | ||
1.9 Прочие расходы от основной деятельности | 415 | ||
Итого | 4540 | 4455 | 85 |
2 Инвестиционная деятельность | |||
2.1 Реализация долгосрочных активов | 532 | ||
2.2 Долгосрочные финансовые вложения | 620 | ||
Итого | 532 | 620 | -88 |
3 Финансовая деятельность | |||
3.1 Поступление кредитов и займов | 300 | ||
3.2 Погашение задолженности | 150 | ||
3.3 Эмиссия акций | 500 | ||
3.4 Выплата дивидендов | 580 | ||
3.5 Целевое финансирование | |||
3.6 Покупка и оплата векселей | 115 | ||
Итого | 800 | 545 | 255 |
Совокупный чистый денежный поток | 252 | ||
Остаток денежных средств на к.г. | 432 |
Одним из факторов, влияющих на денежные потоки предприятий, является величина финансового цикла, которую можно рассчитать по следующей формуле:
![]()
где ФЦ – время финансового цикла;
ВОЗап – время обращения запасов (производственный цикл);
ВОДЗ – время обращения дебиторской задолженности;
ВОКЗ – время обращения кредиторской задолженности.
где — средняя величина запасов сырья и материалов, незавершенного производства, готовой продукции;
— средняя величина дебиторской задолженности, относящейся к производству;
— средняя величина кредиторской задолженности, относящейся к производству;
Сп – полная себестоимость реализуемой продукции;
В – выручка (НЕТТО) от реализации продукции.
Операционный цикл определяется по формуле:
![]()
Определим среднюю величину запасов сырья и материалов.

Вывод: время обращения запасов на предприятии составило 42 дня.
![]()
Вывод: финансовый цикл отрицательный, что хорошо для предприятия, так как сначала оно получает деньги, а потом только платит.
Рассчитаем операционный цикл предприятия:
![]()
2.Имущество предприятия и эффективность его использования
2.1.Оборотные капиталы предприятия
Оборотный капитал — это капитал, инвестируемый фирмой, компанией в текущую деятельность на период каждого операционного цикла. Иными словами, это средства фирмы, вложенные в текущие активы (оборотные средства). Оборотный капитал, как и основной капитал, выражает определенные производственные отношения, складывающиеся с развитием предпринимательства.
Оборотный капитал непосредственно участвует в создании новой стоимости, функционируя в процессе кругооборота всего капитала. При этом соотношение основного и оборотного капитала влияет на величину получаемой прибыли. Оборотный капитал обращается быстрее, чем основной капитал. Поэтому с увеличением доли оборотного капитала в общей сумме авансированного капитала время оборота всего капитала сокращается, а следовательно, увеличивается возможность роста новой стоимости, т.е. прибыли.
Существует понятие чистого оборотного капитала. Его величина определяется как разница между текущими активами и текущими обязательствами, текущими пассивами. В нормальных условиях функционирования хозяйствующих субъектов величина текущих активов выше текущих обязательств, т.е. сумма оборотных средств превышает кредиторскую задолженность.
Оборотный капитал характеризуется не только объемом и структурой, но и ликвидностью текущих активов. Степень ликвидности определяется способностью текущих активов превращаться в процессе кругооборота в денежные средства. При этом учитывается, что, например, производственные запасы менее ликвидны, чем готовая продукция, а абсолютно ликвидны денежные средства.
При возникновении дополнительной потребности в средствах, обусловленной, например, сезонным характером производства и реализации или другими объективными причинами, образуется переменный оборотный капитал.
Таким образом, эффективность управления оборотным капиталом определяется рядом факторов: объемом и составом текущих активов, их ликвидностью, соотношением собственных и заемных источников покрытия текущих активов, величиной чистого оборотного капитала, соотношением постоянного и переменного капитала и другими взаимосвязанными факторами.
Оборотный капитал — это денежные средства, авансированные в оборотные производственные фонды и фонды обращения, обеспечивающие как процесс производства, так и процесс обращения.
Оборотный капитал (оборотные средства) предприятия, участвуя в процессе производства и реализации продукции, совершает непрерывный кругооборот. При этом средства переходят из сферы обращения в сферу производства и обратно, принимая последовательно форму фондов обращения и оборотных производственных фондов. Таким образом, проходя последовательно три фазы, оборотные средства меняют свою натурально-вещественную форму.
В первой фазе (Д — Т) оборотные средства, имеющие первоначально форму денежных средств, превращаются в производственные запасы, т.е. переходят из сферы обращения в сферу производства.
Во второй фазе (Т… П… Т,) оборотные средства участвуют непосредственно в процессе производства и принимают форму незавершенного производства, полуфабрикатов и готовых изделий.
Третья фаза кругооборота оборотных средств (Т — Д) совершается вновь в сфере обращения. В результате реализации готовой продукции оборотные средства принимают снова форму денежных средств.
Разница между поступившей денежной выручкой и первоначально затраченными денежными средствами (Д — Д) определяет величину денежных накоплений фирмы. Таким образом, совершая полный кругооборот (Д — Т… П… Т — Д,), оборотный капитал функционирует на всех стадиях параллельно во времени, что обеспечивает непрерывность процесса производства и обращения, Кругооборот оборотного капитала представляет собой органическое единство трех его фаз.
По источникам формирования оборотный капитал подразделяется на собственный и заемный (привлеченный). Собственный оборотный капитал предприятий с развитием предпринимательской деятельности и акционирования играет определяющую роль, так как обеспечивает финансовую устойчивость и оперативную самостоятельность хозяйствующего субъекта. Собственные оборотные средства приватизированных предприятий находятся в полном их распоряжении. Предприятия имеют право их продавать, передавать другим хозяйствующим субъектам, гражданам, сдавать в аренду и т.д.
Заемный капитал, привлекаемый в виде банковских кредитов других форм, покрывает дополнительную потребность предприятия в средствах. При этом главным критерием условий кредитования банком служит надежность финансового состояния предприятия и оценка его финансовой устойчивости.
Размещение оборотного капитала между предприятиями различных отраслей предопределяет отраслевую структуру оборотного капитала. Так, в сфере производства структура оборотного капитала определяется степенью концентрации, характером и длительностью процесса производства, его материалоемкостью, уровнем технического оснащения и другими факторами.
Размещение оборотного капитала в воспроизводственном процессе приводит к подразделению его на оборотные производственные фонды и фонды обращения. Оборотные производственные фонды функционируют в процессе производства, а фонды обращения — в процессе обращения, т.е. реализации готовой продукции и приобретения товарно-материальных ценностей. Оптимальное соотношение этих фондов зависит от наибольшей доли оборотных производственных фондов, участвующих в создании стоимости.
К оборотным производственным фондам относятся производственные запасы (сырье, материалы, топливо, тара, запасные части), незавершенное производство, расходы будущих периодов. Фонды обращения — это готовая продукция, товары отгруженные, денежные средства, дебиторская задолженность и средства в прочих расчетах.
Управление оборотным капиталом тесно связано с его составом и размещением. В различных хозяйствующих субъектах состав и структура оборотного капитала неодинаковы, так как зависят от формы собственности, специфики организации производственного процесса, взаимоотношений с поставщиками и покупателями, структуры затрат на производство, финансового состояния и других факторов. Типовой состав и размещение оборотного капитала представлены на рисунке:

Состояние, состав и структура производственных запасов, незавершенного производства и готовой продукции являются важным индикатором коммерческой деятельности предприятия. Определение структуры и выявление тенденции изменения элементов оборотных средств дают возможность прогнозировать параметры развития предпринимательства.
Длительность одного оборота в днях (О) определяется на основании формулы:

где
— остатки оборотных средств среднегодовые или на конец периода;
В – выручка (НЕТТО) РТ реализации продукции, руб.;
ЧД – число дней в отчетном периоде.
Рассчитаем длительность одного оборота в днях.

![]()
![]()
Вывод: длительность одного оборота составила 135 дней.
Коэффициент оборачиваемости (
) показывает количество оборотов, совершаемых оборотными средствами за год, и определяется по формуле:

Определим коэффициент оборачиваемости:

Вывод: за год было совершено 3 оборота оборачиваемости оборотных средств (чем выше Ко тем выше объем производства при неизменном количестве оборотных средств).
Коэффициент загрузки оборотных средств (
) – это показатель, обратный коэффициенту оборачиваемости. Он характеризует величину оборотных средств, приходящихся на единицу реализованной продукции. Исчисляется по формуле:

Коэффициент загрузки оборотных средств:

Вывод: коэффициент загрузки значительно небольшой, следовательно, предприятие эффективно использует оборотные средства.
Чистый оборотный капитал предприятия (ЧОК) и эффект финансового рычага (ЭФР) определяются по формулам:

где ![]()
— соответствующие разделы актива и пассива баланса.
Определим чистый оборотный капитал предприятия и эффект финансового рычага:
![]()
![]()
Вывод: рассчитав чистый оборотный капитал предприятия на начало и на конец года можно сделать вывод, что предприятие обеспечено собственными оборотными средствами.

где
— ставка налога на прибыль
ЭР- экономическая рентабельность
— рентабельность собственных средств;
— средняя процентная ставка за пользование кредитом;
ЗС – заемные средства предприятия;
СС – собственные средства предприятия.


Вывод: показатель составляет 68%, предприятие рентабельно, т.к. сумма выручки от реализации продукции достаточна не только для покрытия затрат на производство и реализацию, но и для образования прибыли.

2.2.Финансирование внеоборотных активов
Разнообразие видов и элементов внеоборотных активов предприятия определяет необходимость их предварительной классификации в целях обеспечения эффективного управления ими. С позиций управления эти классификации строятся по следующим основным признакам:
1.По функциональности: внеоборотные активы подразделяются на основные средства, нематериальные активы, незавершенные капитальные вложения, оборудование, предназначенное к монтажу, долгосрочные финансовые вложения.
2.По характеру участия в деятельности предприятия:
— внеоборотные активы, обслуживающие операционную деятельность;
— внеоборотные активы, обслуживающие инвестиционную деятельность;
— внеоборотные активы социальной сферы предприятия.
3.По виду принадлежности:
-собственные внеоборотные активы;
-арендуемые внеоборотные активы.
4.По отражению износа:
— амортизируемые внеоборотные активы;
— неамортизируемые внеоборотные активы.
Наиболее удельный вес во внеоборотных активах предприятия имеют те, которые обслуживают операционную деятельность.
Внеоборотные операционные активы в процессе своего участия в деятельности предприятия проходят три основные стадии. На первой стадии основные средства и нематериальные активы в операционном процессе в виде износа переносят часть своей стоимости на готовую продукцию в виде амортизационных отчислений. Это происходит до полного износа отдельных видов операционных активов.
На второй стадии в процессе реализации продукции амортизация внеоборотных операционных активов постепенно накапливается и формирует амортизационный фонд предприятия.
На третьей стадии средства амортизационного фонда предприятия как часть собственных финансовых ресурсов направляются на приобретение новых видов оборудования и восстановление действующих (текущий и капитальный ремонт).
Основные характеристики внеоборотных активов как объектов операционного процесса следующие: стоимость, производительность, доходность, амортизация, риск. Таким образом, внеоборотные активы предприятия, как объект финансового управления, представляют собой ресурсы, сформированные за счет инвестированного в них капитала, характеризующиеся определенными стоимостными оценками, производительностью и способностью производить доход, участие которых в деятельности предприятия связано с фактором времени и ликвидности.
В основе экономики рыночного типа на микроуровне лежит пятиэлементная система финансирования ее системообразующих компонентов (предприятий): самофинансирование, прямое финансирование через механизмы рынка капитала, банковское кредитование бюджетное финансирование и взаимное финансирование хозяйствующих субъектов.
Самофинансирование. В этом случае речь идет о финансировании деятельности фирмы за счет генерируемой ею прибыли. Суть этого варианта заключается в следующем. Собственники предприятия всегда имеют выбор между: а) полным изъятием полученной в отчетном периоде прибыли с целью ее потребления или инвестируя в другие проекты; б) реинвестированием прибыли в полном объеме в деятельность того же самого предприятия, поскольку такой приложение полученного дохода представляется им наиболее предпочтительным; в) комбинацией первых двух вариантов, предусматривающей распределение полученного дохода на две части — инвестированная прибыль и дивиденды.
Банковское кредитование. Рассмотренные выше два метода финансирования деятельности компании не свободны от недостатков: первому методу свойственна ограниченность привлекаемых финансовых ресурсов, второму — сложность в реализации и недоступность для многих представителей малого и среднего бизнеса. В этом смысле банковское кредитование выглядит весьма привлекательным. Получение банковского кредита, в принципе, не связано с размерами производства заемщика, устойчивостью генерирования прибыли, степенью распространенности его акций на рынке капитала, как это учитывается при мобилизации средств на финансовых рынках; объемы привлекаемого капитала теоретически могут быть сколь угодно большими; оформление и получение кредита может быть сделано в кратчайшие сроки и т. п. Главная проблема заключается в том, как убедить банкира выдать долгосрочный кредит на приемлемых условиях.
Бюджетное финансирование. Это наиболее желаемый метод финансирования, предполагающий получение средств из бюджетов различного уровня. Привлекательность этой формы финансирования состоит в том, что за годы советской власти руководители предприятий привыкли к тому, что этот источник средств практически бесплатен, нередко полученные средства не возвращаются, а их расходование слабо контролируется. В силу ряда объективных причин доступ к этому источнику постоянно сужается.
Взаимное финансирование хозяйствующих субъектов. Поскольку в ходе осуществления хозяйственных связей предприятия поставляют друг другу продукцию на условиях оплаты с отсрочкой платежа, естественным образом возникает взаимное финансирование. Величина средств, «омертвленных» в расчетах, в значительной степени зависит от многих факторов, в том числе и разветвленности и гибкости банковской системы. Принципиальное отличие данного метода финансирования от предыдущих заключается в том, что он является составной частью системы краткосрочного финансирования текущей деятельности, тогда как другие методы имеют стратегическую значимость.
В условиях централизованно планируемой экономики имеет место абсолютная доминанта двух последних элементов приведенной системы -бюджетного финансирования и взаимного финансирования предприятий; в рыночной экономике прибыль и рынки капитала рассматриваются как основные способы наращивания экономического потенциала хозяйствующих субъектов. Прибыль — наиболее дешевый и быстро мобилизуемый источник, однако, во-первых, его объемы ограниченны и, во-вторых, существуют некоторые обязательные и (или) весьма желательные направления использования текущей прибыли. Второй источник, напротив, требует немалых расходов по его созданию и реализации, кроме того, подготовка и проведение эмиссии — довольно продолжительны во времени.
Фондоотдача основных фондов определяется как отношение стоимости товарной продукции к среднегодовой стоимости основных фондов. Фондоотдача показывает общую отдачу от использования каждого руля, затраченного на основные производственные фонды, и определяется по формуле:

где
— фондоотдача основных производственных фондов, р/р.;
– среднегодовая стоимость основных производственных фондов, руб.

Вывод: 2,48 продукции сняли с одного рубля среднегодовой стоимости основных производственных фондов.
Рентабельность основных фондов определяется по формуле:

где
— рентабельность основных производственных фондов;
П – прибыль от реализации продукции, руб.

Вывод: количество прибыли, получаемой на единицу используемых для этого основных средств равно 0,72 р/р. Что показывает об эффективном использовании основных средств предприятием.
3.Формирование и распределение прибыли
В условиях рыночных отношений имеются три основных источника получения прибыли:
— первый источник образуется за счет монопольного положения предприятия по выпуску той или иной продукции или (и) уникальности продукта. Поддержание этого источника на относительно высоком уровне предполагает постоянное обновление продукта. Здесь следует учитывать такие противодействующие силы, как антимонопольная политика государства и растущая конкуренция со стороны других предприятий;
— второй источник связан непосредственно с производственной и предпринимательской деятельностью. Практически он касается всех предприятий. Эффективность его использования зависит от знания конъюнктуры рынка и умения адаптировать развитие производства под эту постоянно меняющуюся конъюнктуру. Здесь все сводится к проведению соответствующего маркетинга. Величина прибыли в данном случае зависит:
во-первых, от правильности выбора производственной направленности предприятия по выпуску продукции (выбор продуктов, пользующихся стабильным и высоким спросом);
во-вторых, от создания конкурентоспособных условий продажи своих товаров и оказания услуг (цена, сроки поставки, обслуживание покупателей; послепродажное обслуживание и т.д.);
в-третьих, от объемов производства (чем больше объем производства, тем больше масса прибыли).
— третий источник проистекает из инновационной деятельности предприятия. Его использование предполагает постоянное обновление выпускаемой продукции, обеспечение ее конкурентоспособности, рост объемов реализации и увеличение массы прибыли.
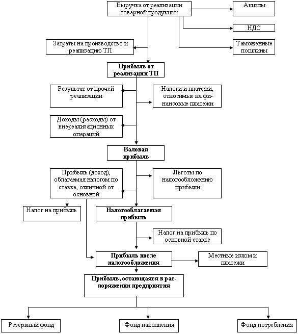
Распределение и использование прибыли является важнейшим хозяйственным процессом, обеспечивающим покрытие потребностей предпринимателей и формирование доходов государства.

Рис.1 Формирование и распределение прибыли
Объектом распределения является балансовая прибыль предприятия. Под ее распределением понимается направление прибыли в бюджет и по статьям использования на предприятии. Законодательно распределение прибыли регулируется в той ее части, которая поступает в бюджеты разных уровней в виде налогов и других обязательных платежей. Определение направлений расходования прибыли, остающейся в распоряжении предприятия, структуры статей ее использования находится в компетенции предприятия.
На предприятии распределению подлежит чистая прибыль, то есть прибыль, оставшаяся в распоряжении предприятия после уплаты налогов и других обязательных платежей. Из нее взыскиваются санкции, уплачиваемые в бюджет и некоторые внебюджетные фонды.
Прибыль, остающаяся в распоряжении предприятия, используется им самостоятельно и направляется на дальнейшее развитие предпринимательской деятельности. Никакие органы, в том числе государство, не имеют права вмешиваться в процесс использования чистой прибыли предприятия. Рыночные условия хозяйствования определяют приоритетные направления собственной прибыли. Развитие конкуренции вызывает необходимость расширения производства, его совершенствования, удовлетворения материальных и социальных потребностей трудовых коллективов.
Чистая прибыль является источником погашения собственных оборотных средств. Кроме того, она направляется на уплату процентов по кредитам, полученным на восполнение недостатка собственных оборотных средств, на приобретение основных средств, а также уплату процентов по просроченным и отсроченным кредитам.
За счет чистой прибыли уплачиваются некоторые виды сборов и налогов, налог на перепродажу автомобилей, вычислительной техники и персональных компьютеров, сбор со сделок по купле-продаже валюты на биржах, сбор за право торговли и другие.
Наряду с финансированием производственного развития прибыль, остающаяся в распоряжении предприятия, направляется на удовлетворение потребительских и социальных нужд. Так, из этой прибыли выплачиваются единовременные поощрения и пособия, уходящим на пенсию, а также надбавки к пенсиям, производятся расходы по оплате дополнительных отпусков сверх установленной законом продолжительности, оплачиваются расходы на бесплатное питание или питание по льготным ценам.
Прибыль, остающаяся в распоряжении предприятия, служит не только источником финансирования производственного и социального развития, а также материального поощрения, но и используется в случаях нарушения предприятием действующего законодательства для уплаты различных штрафов и санкций.
Так, из чистой прибыли уплачиваются штрафы при несоблюдении требований по охране окружающей среды от загрязнения, санитарных норм и правил, при завышении регулируемых цен на продукцию. Из чистой прибыли взыскивается незаконно полученная предприятием прибыль.
Распределение чистой прибыли отражает процесс формирования фондов и резервов предприятия для финансирования потребностей производства и развития социальной сферы.
Распределение чистой прибыли — одно из направлений внутрифирменного планирования, значение которого в условиях рыночной экономики возрастает. В соответствии с уставом, предприятия могут составлять сметы расходов, финансируемых из прибыли, либо образовывать фонды специального назначения: фонды накопления (фонд развития производства или фонд производственного и научно-технического развития, фонд социального развития) и фонды потребления (фонд материального поощрения).
Смета расходов, финансируемых из прибыли, включает расходы на развитие производства, социальные нужды трудового коллектива, на материальное поощрение работников и благотворительные цели.
К расходам, связанным с развитием производства, относятся расходы на научно-исследовательские, проектные, конструкторские и технологические работы, финансирование разработки и освоения новых видов продукции и технологических процессов, затраты по совершенствованию технологии и организации производства, модернизации оборудования, затраты, связанные с техническим перевооружением и реконструкцией действующего производства, расширением предприятий. В эту же группу расходов включаются расходы по погашению долгосрочных ссуд банков и процентов по ним. Здесь же планируются затраты на проведение природоохранных мероприятий и др. Взносы предприятий из прибыли в качестве вкладов учредителей в создание уставного капитала других предприятий, средства, перечисляемые союзам, ассоциациям, концернам, в состав которых входит предприятие, также считаются использованием прибыли на развитие.
Распределение прибыли на социальные нужды включает расходы по эксплуатации социально-бытовых объектов, находящихся на балансе предприятия, финансирование строительства объектов непроизводственного назначения, организации и развития подсобного сельского хозяйства, проведения оздоровительных, культурно-массовых мероприятий и т.п.
К затратам на материальное поощрение относятся единовременные поощрения за выполнение особо важных производственных заданий, выплата премий за создание, освоение и внедрение новой техники, расходы на оказание материальной помощи рабочим и служащим, единовременные пособия ветеранам труда, уходящим на пенсию, надбавки к пенсиям, компенсация работникам удорожания стоимости питания в столовых, буфетах предприятия в связи с повышением цен и др.
Вся прибыль, остающаяся в распоряжении предприятия, подразделяется на две части. Первая увеличивает имущество предприятия и участвует в процессе накопления. Вторая характеризует долю прибыли, используемой на потребление. При этом необязательно всю прибыль, направляемую на накопление, использовать полностью. Остаток прибыли, не использованной на увеличение имущества, имеет важное резервное значение и может быть в последующие годы направлен для покрытия возможных убытков, финансирования различных затрат.
Формирование финансовых результатов предприятия
Показатели | Сумма, тыс. руб. | Обоснование и порядок расчета. |
1.Выручка (НЕТТО) от реализации продукции, работ, услуг | 27110,2 | прил. 3 — НДС |
2.Себестоимость проданных продукции, работ, услуг (УПеР) | 15976 | прил. 3 |
3.Валовая (маржинальная) прибыль | 11134,2 | п. 1 –п. 2 |
4.Коммерческие и управленческие расходы | 3272,2 | прил. 3 |
5.Прибыль (убыток) от продаж | 7862 | п. 3 – п.4 |
6.Прочие операционные доходы | - | - |
7. Прочие операционные расходы | 240,5 | - |
8.Прочие внереализационные доходы | 10 | п. 3 |
9.Прочие внереализационные расходы | - | - |
10.Прибыль (убыток) до налогообложения | 7631,5 | П. 5+п.6.-п.7+п.8-п.9 |
11.Текущий налог на прибыль | 1526,3 | П. 10 *Снп/100 |
12.Чистая прибыль (убыток) | 6105,2 | п. 10 – п.11 |
Показатели операционного анализа
Показатели обозначения | Формула | Показатель |
1.Выручка (НЕТТО) от реализации продукции, работ услуг | 27110,2 | |
2. Переменные издержки, тыс. руб. — И | 15976 | |
3.Валовая маржа, тыс. руб. – МП | В — И | 11134,2 |
4. Коэффициент валовой маржи — К | МП/В | 0,4107 |
5. Постоянные издержки тыс. руб. – З | 3272,2 | |
6. Порог рентабельности тыс. руб – ПР | З/К | 7967,4 |
7. Запас финансовой прочности, тыс. руб. -Ф | В – ПР | 19142,8 |
8. Запас финансовой прочности, % | Ф*100/В | 70,6 |
9. Прибыль, тыс.руб. – П | Ф – К | 7862 |
10. Сила воздействия операционного рычага — О | МП/П | 1,42 |
Изобразим график достижения безубыточности в соответствии с исходными данными (рисунок 1).
Подобные расчеты весьма актуальны в нынешних условиях, так как предприятия заранее могут прогнозировать безубыточную деятельность. Более того, при определении стратегии предприятие должно учитывать такой показатель как «запас финансовой прочности», то есть оценивать объем продаж сверх уровня безубыточности.
![]()
Рис.1. График достижения безубыточности
Заключение
В данной курсовой работе были рассмотрены финансы предприятия, а именно их организация.
Цель курсовой работы заключалась в выполнении расчетов по формированию финансовых ресурсов предприятия и в обосновании его финансовой устойчивости. Данной цели мы достигли с помощью следующих аспектов:
— закрепление теоретических знаний, полученных при изучении курса «Финансы организаций (предприятий)»;
— приобретение навыков самостоятельной работы со специальной, нормативной, периодической литературой;
— применение теоретических знаний для решения конкретных практических задач.
В работе были рассмотрели финансовые ресурсы предприятия, их источники, а также денежные фонды и денежные потоки предприятия, затем речь шла об имуществе предприятия и эффективности его использования, об оборотном капитале предприятия, а также финансировании внеоборотных активов. А также показано формирование и распределение прибыли предприятия.
И в заключение можно сделать вывод, что финансы предприятий – это важнейшая составная часть единой системы финансов государства. Это предопределяется, прежде всего, тем, что в структуре финансовых отношений финансы предприятий занимают исходное, определяющее положение, т.к. обслуживают основное звено общественного производства, где создаются валовой внутренний продукт, национальный доход и национальное богатство.
Список использованных источников:
1. Большаков С.В. Финансы предприятий: Теория и практика: Учебник для вузов. — М.: Книжный мир, 2005.
2. Бурмистрова Л.М. Финансы организаций (предприятий): Учеб. пособие.- М.: ИНФРА-М, 2009.
3. Барулин С.В. Финансы: учеб.- М.: КНОРУС, 2010.
4. Моляков. Д.С. Теория финансов предприятий. Учеб. пос. — М.: Финансы и статистика, 2004.
5. Остапенко В.В. Финансы предприятия: Учеб.пособие.-4 изд., испр., доп. — М.: Омега-Л, 2007.
6. Савчук В.П. Управление финансами предприятия / В.Н.Санчук.-2-е изд., стереотип.-М.: БИНОМ. Лаборатория знаний, 2009.
7. Тихомиров, Е.Ф. Финансовый менеджмент. Управление финансами предприятия: учеб. для вузов / Тихомиров, Е.Ф.- М.: Академия, 2008.
8. Лапуста М.Г., Мазурина Т.Ю., Скамай Л.Г. Финансы организаций (предприятий): Учебник для вузов.-Изд. исправл., — М.: Инфра-М, 2008.
9. Ковалев В.В., Ковалев Вит.В. Финансы организаций (предприятий): Учебник для вузов. – M: Проспект, 2008.
10. Гаврилова А.Н., Попов А.А. Финансы организаций (предприятий): Учеб.пособие для вузов.- 4 изд., стереотип., — М.: Кнорус, 2008.
11. Н.В. Колчина, Г.Б. Поляк, Л.П. Павлова. Финансы предприятий: Учебник для вузов; Под ред. проф. Н.В. Колчиной. – 2-е изд., перераб. и доп. — М.: ЮНИТИ-ДАНА, 2004.
12. Шуляк П. Н. Финансы предприятия: Учебник. — 6-е изд., перераб. и доп. — М.: Издательско-торговая корпорация «Дашков и К°», 2006.
13. Щербина А.В. Финансы организаций. Феникс, 2005.
14. Чернов В.А. Финансовая политика организации: Учеб.пособие.-М.: ЮНИТИ-ДАНА, 2005.
15. Фомин Я.А. Диагностика кризисного состояния предприятия: Учеб.пособие.-М.: ЮНИТИ-ДАНА, 2004.
Приложение 1
Поступления и выплаты денежных средств за квартал, тыс.руб.
1.Остаток денежных средств на начало периода | 180 |
2.Поступления от реализации | 980 |
3.Платежи за сырье и материалы | 2300 |
4.Авансы, полученные от покупателей | 750 |
5.Заработная плата | 1050 |
6.Возврат дебиторской задолженности | 2500 |
7.Платежи в бюджет и внебюджетные фонды | 400 |
8.Прочие поступления от основной деятельности | 310 |
9.Накладные расходы | 290 |
10.Прочие расходы от основной деятельности | 415 |
11.Реализация долгосрочных активов | 532 |
12.Долгосрочные финансовые вложения | 620 |
13.Поступления кредитов и займов | 300 |
14.Погашение задолженности по кредитам и займам | 150 |
15.Эмиссия акций | 500 |
16.Выплата дивидендов | 280 |
17.Целевое финансирование | - |
18.Покупка и оплата векселей | 115 |
Приложение 2
Укрупненный баланс предприятия, тыс.руб.
Содержание статей баланса | На начало года | На конец года |
Актив | ||
1.Внеоборотные активы | 11300 | 11700 |
1.1.Нематериальные активы | 570 | 570 |
1.2.Основные средства | 10730 | 11130 |
2.Оборотные активы | 9200 | 11150 |
2.1.Запасы и затраты | 2150 | 2300 |
2.2.Дебиторская задолженность | 6320 | 8050 |
2.3.Краткосрочные финансовые вложения | 480 | 500 |
2.4.Денежные средства | 250 | 300 |
Баланс | 20500 | 22850 |
Пассив | ||
3.Капитал и резервы | 12700 | 13150 |
4.Долгосрочные обязательства | - | - |
5.Краткосрочные обязательства | 7800 | 9700 |
5.1.Кредиты и займы | 950 | 890 |
5.2.Кредиторская задолженность | 6850 | 8810 |
Баланс | 20500 | 22850 |
Приложение 3
Основные показатели
Наименование показателей и единицы измерения | |
1.Выручка от реализации продукции (с учетом НДС), тыс.руб. | 31990 |
2.Удельный вес затрат на 1 руб. выручки от реализации продукции, руб./руб. | 0,71 |
3.Внереализационная прибыль (+), убытки (-), тыс.руб. | 10 |
4.Доля УПР в затратах, % | 17 |
5.Процентная ставка за банковский кредит, % | 20 |