Реферат: Харчова добавка аспартам Е951
Реферат
На тему:
«Харчова добавка аспартам Е951»
1. Загальна характеристика аспартаму
Аспартам – штучний підсолоджувач, замінник цукру (харчова добавка E951). Метиловий ефір дипептиду, що складається із стандартних амінокислот: аспарагінової і фенілаланіну.
Історія виникнення: Аспартам був відкритий в 1965 р. Джеймсом М. Шлаттером, хіміком, що працював на компанію G.D. Searle & Company. Шлаттер синтезував аспартам у ході досліджень для виробництва ліків від язви. Він виявив солодкий смак аспартама випадково, облизнувши палець, на який потрапив аспартам. Першими стали застосовувати аспартам в США й Великобританії– з 1981 року. Випускає під різними торгівельними марками (наприклад, Equal, Spoonful), аспартам оголошений альтернативою цукру, що дозволяє не набирати вагу і не є канцероген, як використовуваний раніше штучний підсолоджувач – сахарин.
Синоніми: Сладекс, нутрасвіт, N-L-б-аспартил-L-фенілаланінметиловий ефір; англ. aspartame, АРМ.
Хімічна назва: 3-аміно-N – (б-карбометоксі-фенетіл) – сукцинамової кислоти.
Емпірична формула: С14 Н18 N2 05 .
Молекулярна маса: 294,30.
Структурна формула:

Органолептичні властивості: Білі, слабко гігроскопічні кристали без запаху з інтенсивним солодким смаком, приблизно в 200 разів солодший сахарози, побічний присмак відсутній.
Фізико-хімічні властивості: Не зовсім стабільний до гідролізу, особливо при нагріванні. Тпл =246–247°С, розкладання починається при 196°С. Легко розчиняється в гарячій воді; середньо розчиняється в холодній воді, спиртах; нерозчинний у жирних розчинниках.
Таблиця 1. Специфікація
| Показник | ПЧР5 | РСС1В |
| Вміст аспартама, % СВ | 98,0–102,0 | 98,0–102,0 |
| рН (1 до 125 частикам води) | 4,5–6,0 | - |
| Уд. обертання ап20, град. | 14,5–16,5 | 14,5–16,5 |
| Втрати при сушінні, %, не більше | 4,5 | 4,5 |
| Сульфатна зола, %, не більше | 0,2 | 0,2 |
| 5-Бензил – 3,6 – діоксо-2-піперазин-оцтова кислота, %, не більше | 1,5 | 1,5 |
| Аз/тяж, металів, мг/кг, не більше | 3/10 | -/10 |
Метаболізм і токсичність: Аспартам розщеплюється на L-амінокислоти і метанол, які нормально всмоктуються й повністю метаболізуються. У результаті побічної реакції утворюється дикетопіперазин (ДКП) із власним значенням ДСП. Утримування фенілаланіну (близько 60%) може завдати шкоди хворим фенилкетонуріею і вимагає спеціального нанесення інформації на етикетку харчового продукту (Фенилкетонурія – дуже рідкісний (1:15 000) генетичний дефект, що вимагає спеціальної дієти).
2. Метод отримання
Аспартам отримують синтезом з L – амінокислот:
аспарагінової кислоти
фенілаланіна.
Схема отримання аспартаму:
Домішки: дикетопіперазин (продукт розпаду).
Кольорові реакції
Устаткування, прилади й реактиви: водяна баня, спиртівка, 10% розчин NaOH, 1% розчин CuSO4, 0,2% розчин нінгідрину, концентрована азотна кислота, 0,5% розчин аспартама.Біуретова реакція. У лужному середовищі білки, а також продукти їхнього гідролізу – поліпептиди дають фіолетове або червоно-фіолетове забарвлення із солями міді. Реакція обумовлена наявністю пептидних зв'язків (-NHCO-). Позитивна біуретова реакція проявляється в з'єднаннях, що містять не менш двох пептидних груп. Інтенсивність забарвлення залежить від довжини пептиду і варіює від синьо-фіолетового до червоно-фіолетового й червоного.
Біуретову реакцію дають також аспарагін (амід аспарагінової кислоти) і амінокислоти гістидин, треонін і серін.
Свою назву реакція одержала від біурета – з'єднання, що утворюється при нагріванні сечовини. Ця реакція супроводжується відщіпленням молекули аміаку.

Комплексної мідно-натрієвої солі пептидів і білків приписують наступну будову:

аспартам підсолоджувач сполука хімічний
Техніка виконання роботи: до 1 молярного розчину аспартама додають 1 молярний 10% розчину їдкого натрію й 2 краплі 1% розчину сірчанокислої міді. У присутності білків і пептидів (починаючи із трипептидів) з'являється рожево-фіолетове забарвлення. Реакція заснована на утворенні хелатного з'єднання іонів міді (+2) із двома пептидними зв'язками.
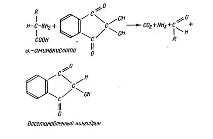
Нінгідринова реакція. Нінгідринова реакція обумовлена наявністю амінокислот, що мають аміногрупи в б-положенні. Білки, поліпептиди і амінокислоти утворюють із нінгідрином з'єднання синього або синьо-фіолетового кольорів (при нагріванні). Нінгідринова реакція є однієї з найбільш чутливих для виявлення б-аміногруп.

Сутність реакції полягає в тім, що б-амінокислоти і пептиди, реагуючи з нінгідрином, піддаються окисному дезамінування і декарбоксілюванню:
Відновлений нінгідрин взаємодіє з аміаком і другою молекулою нінгідрину, утворюють зафарбоване з'єднання (пурпурний Руеманна).

Техніка виконання роботи: до 5–10 крапель розчину аспартама додають 6–10 краплі 0,2% розчину нінгідрину. Нагрівають до кипіння на водяній лазні. З'являється фіолетово-синє забарвлення за рахунок утворення продукту конденсації нінгідрину з амінокислотою.
Ксантопротеїнова реакція. Характерна для деяких ароматичних амінокислот. При нагріванні білків і поліпептидів з концентрованою азотною кислотою утвориться нітросполука жовтого кольору.
Реакція протікає у дві стадії. Протягом першої амінокислота, взаємодіючи з концентрованою азотною кислотою, піддається нітруванню. При цьому утвориться динітросполука (жовтого кольору).
В другій стадії продукти нітрування реагують із їдким натром або гідроксидом амонію з утворенням натрієвої або амонійної солі, що має жовто-помаранчеве забарвлення.
Ксантопротеїнову реакцію, крім білків, пептидів і циклічних амінокислот, дають також багато простих ароматичних з'єднань (бензол, фенол і ін.).
Техніка виконання роботи: до 0,5 молярного розчину аспартаму додають 5–6 краплі концентрованої азотної кислоти. Обережно нагрівають. При наявності в розчині циклічних амінокислот або білків, у яких присутні ці амінокислоти, з'являється жовте забарвлення за рахунок нітрування бензольного кільця.
Після охолодження в пробірку обережно (по стінці) доливають надлишок концентрованого розчину аміаку або їдкого натру – рідина приймає помаранчевий або жовтий колір.
3. Кількісне визначення
1. Хроматографічний метод.
Метод заснований на використанні високоефективної рідинної хроматографії (ВЕРХ). Метод є арбітражним.
Обладнання і реактиви: високоефективний рідкісний хроматограф з програматором лінійного виміру швидкості потоку, обладнаний спектрофотометричний детектор з довжиною хвилі 210 нм; колонки хроматографічні; установка для вакуумної фільтрації; мікрошприці хроматографічні; папір фільтрувальний; ваги лабораторні; рН-метр; мірні колби; градуювальні піпетки; скляний рідинний термометр; бідистильована вода; ацетонітрил; калій фосфорнокислий однозамішенний; бензоат натрію; аспартам; ортофосфорна кислота.
Підготовка до випробуван ня:
а). Приготування градуювального розчину аспартаму (550 мг/дм3 ).
Наважку аспартаму масою 137,5 мг переносять у мірну колбу місткістю 250 см3, до половини заповнену бідистильованою водою температурою 30–35 о С. Перемішують до повного розчинення, потім бідистилятом доводять до мітки.
б). Приготування градуювального розчину аспартаму (275 мг/дм3 ).
Відміряють піпеткою 2 см3 градуювального розчину аспартаму концентрацією 550 мг/дм3 переносять у мірну колбу місткістю 50 см3 і доводять до мітки бідистильованою водою, добре перемішують.
в). Приготування градуювального розчину аспартаму (138 мг/дм3 ).
Відміряють піпеткою 25 см3 концентрацією 550 мг/дм3 переносять у мірну колбу місткістю 100 см3 і доводять до мітки бідистильованою водою, добре перемішують.
Приготування рухомої фази:
1,73 г. калія фосфорнокислого однозамішеного (КН2 РО4 ) помішують у мірну колбу місткістю 1000 см3, розчиняють в бідистильованій воді, перемішують до повного розчинення. Отриманий розчин ортофосфорної кислоти (Н3 РО4 ) доводять до мітки рН 3,2 850 см3 отриманого буферного розчину змішують із 150 см3 ацетонітрилу (С2 Н3 ), попередньо відфільтрував їх через фільтрувальний папір діаметром пор 0,5 мкм.
Термін придатності рухливої фази – не більше 7 діб.
Умови хроматографічного аналізу:
Колонка з фазою С – 18,5 – 6 мкм, 0,15 * 4,6 мм.
Рухома фаза: 15% ацетонітрилу, 85% 0,0125 М розчину КН2 РО4, доведеного фосфорною кислотою до рН 3,2.
Швидкість потоку: лінійний градіент від 1,2 см3 /хв до 1,7 см3 /хв за 8 хв.
Температура термостату – 35 о С.
Тиск на колонці при швидкості потоку – 1,2 см3 /хв – 120 кг/см2 (тиск буде зростати по мірі експлуатації колонки).
Знаходження за поглинанням в УФ-області спектру при довжині хвилі 210 нм 0,02 од. адсорбції на всю шкалу.
Обробка результатів :
Масову долю аспартаму розраховують за формулою
![]()
де К – поправочний коефіцієнт, установлюваний за загально прийнятими правилами для методу «абсолютної градуїровки»;
S– площина піку досліджуваного компоненту, відповідна до певної масової концентрації компонента, мг;
V– об’єм аналізуємої проби, дм3 ;
Розрахунки проводять до другого десятичного знаку.
За кінцевий результат дослідження приймають середнє арифметичне результатів двох паралельних визначень.
2. Спектрофотометричний метод.
Метод заснований на визначені аспартаму у безалкогольних напоях безпосередньо після їх виготовлення за допомогою спектрофотометру. Цей метод метод не може бути використаний для напоїв, в склад яких входять амінокислоти і речовини білкової природи.
Обладнання і реактиви: спектрофотометр; колориметр фотоелектричний; ваги лабораторні; аспартам; натрій фосфорнокислий двузаміщений; калій фосфорнокислий однозаміщений; нінгідрин (х.ч.); фруктоза (ч.д.а.); ректифікований етиловий спирт; папір фільтрувальний; ваги лабораторні; рН-метр; мірні колби; градуювальні піпетки; скляний рідиний термометр; електроплитка побутова; водяна баня; механічний годинник.
Приготування буферного розчину:
Наважку натрію фосфорнокислого однозаміщеного (Na2 HPO4 * 12H2 O) масою 28,870 г. переносять у мірну колбу на 1000см3, розчиняють в дистильованій воді, доводять до мітки і перемішують до повного розчинення.
Наважку калію фосфорнокислого однозаміщеного (KH2 PO4 )3 масою 4,535 г. переносять у мірну колбу на 500 см3, розчиняють в дистильованій воді, доводять до мітки і перемішують до повного розчинення. В конічній колбі змішують 484,5 см3 розчину Na2 HPO4 і 15,5 см3 розчину KH2 PO4. При необхідності доводять рН буферної суміші даними розчинами до (8,0±0,1) одиниць.
Приготування нінгідринового розчину:
Розчиняють в 500 см3 буферного розчину 1,5 г фруктози, після чого розчиняють у ньому 2,5 г нінгідрину.
Приготування базового розчину аспартаму:
20 мг аспартаму розчиняють при перемішуванні і нагріванні до 50–70 см3 дистильованої води. Розчин переливають у мірну колбу місткістю 100 см3 і доводять до мітки дистильованою водою.
Приготування ряду робочих розчинів аспартаму для побудови градуювального графіку :
В пробірках місткістю по 10 см3 кожна, готують робочі розчини аспартаму, об’єм і концентрація яких вказана в таблиці 1.
Таблиця 2
| Назва показника | Номер пробірки | ||||||||
| 1 | 2 | 3 | 4 | 5 | 6 | 7 | 8 | 9 | |
| Об’єм базового розчину аспартаму, додають у пробірку, см3 | 2,0 | 2,5 | 3,0 | 3,5 | 4,0 | 4,5 | 5,0 | 5,5 | - |
| Об’єм дистильованої води, додають в пробірку, см3 | 8,0 | 7,5 | 7,0 | 6,5 | 6,0 | 5,5 | 5,0 | 4,5 | 10 |
| Концентрація аспартаму у робочому розчині, мг/см3 | 4,0 | 5,0 | 6,0 | 7,0 | 8,0 | 9,0 | 10,0 | 11,0 | - |
Умови проведення аналізу:
Температура базового, робочих розчинів аспартаму, буферного розчину, нінгідринового розчину і розчину етилового спирту – (18,0±2,0) о С.
рН розчину нінгідрину – (8,0±0,1) од.
Вміст аспартаму необхідно визначати після розливу напою.
Нінгідриновий розчин повинен зберігатися у коричневому скляному посуді в холодильнику. Він може використовуватися протягом двох неділь після приготування.
Побудова градуювального графіку:
Для побудування градуювального графіку в окремі пробірки переносять по 6 см3 кожного робочого і до них додають 3 см3 нінгідринового розчину.
Пробірки витримують 16 хв. в киплячій бані, потім за 20 хв охолоджують до (20±1) о С, після чого із кожної пробірки в окрему пробірку переносять по 3 см3 розчину, до якого додають по 5 см3 етилового спирту з об’ємною долею 60%.
Оптичну густину розчину визначають на спектрофотометрі при довжині хвилі 570 нм в кюветі товщиною 10 мм. Контрольним розчином служить розчин пробірка №9 (нульового розчину) і етилового спирту з об’ємною долею 60%, змішують в таких самих кількостях, як і інші проби.
Проведення аналізу:
В досліджуваних зразках напоїв видаляють вуглекислий газ при температурі не вище 20 о С і фільтрують зразки через фільтр розміром пор не більше 0,5 мкм. 20 см3 профільтрованої проби переносять у мірну колбу місткістю 100 см3 і доводять дистильованою водою до мітки.
В пробірку місткістю 10 см3 переносять по 6 см3 кожного розбавленого зразка і до них добавляють по 3 см3 нінгідринового розчину.
Пробірку витримують 16 хв в киплячій бані, потім за 20 хв охолоджують до 20 о С, після чого із кожної пробірки в окрему пробірку переносять по 3 см3 розчину, до якого додають по 5 см3 розчину етилового спирту з об’ємною долею 60%.
Оптична густина розчину досліджуваних зразків визначають порівнюючи з нульовою пробою на спектрофотометрі при довжині хвилі 570 нм в кюветі товщиною 10 мм.
Обробка результатів:
Концентрацію аспартаму в розбавлених зразках досліджуваного напою визначають по оптичним густинам зразків.
Концентрація аспартаму С, мг/100 см3, в напоях визначають за формулою:
,
де Ср – концентрація аспартама в розбавлених зразках, мг/100 см3 ;
К – ступінь розбавлення.
4. Застосування аспартаму в харчовому виробництві
Гігієнічні норми: ДДН 40 мг/кг ваги тіла в день. Небезпека по ГН-98: ГДК у повітрі робочої зони 2 мг/м3, клас небезпеки 3; ГДК у воді 1,0 мг/л, клас небезпеки 4. ЄС: відповідно до Директиви по підсолоджувачам (червень 1994) дозволений в 12 групах харчових продуктів, низькокалорійних або без цукру, і в 12 групах продуктів, споживаних у малій кількості – до 4000 мг/кг. У РФ дозволений у жувальній гумці із цукром як підсилювач смаку й аромату в кількості до 2,5 г/кг (п. 3.14.9 СанПіН 2.3.2.1293–03); у безалкогольних напоях на основі ароматизаторів, фруктових соків, молочних продуктів без додавання цукру або зі зниженою калорійністю, напоях алкогольних з утримуванням спирту не більше 15 об.%, напоях, що містять суміш безалкогольних напоїв і пива або сидру, вина, лікеро-горілчаних виробів, біологічно активні добавки до їжі рідкі в кількості до 600 мг/кг; у десерти ароматизовані на водній основі, на зерновій, фруктовій, овочевій, молочній, яєчній і жировій основі без додавання цукру або зі зниженою калорійністю, кондитерські вироби зі зниженою калорійністю або без додавання цукру, сендвічі з начинкою на основі какао, молочних продуктів, сухофруктів, жиру, фруктах консервованих зі зниженою калорійністю або без додавання цукру, джемах, варенні, мармеладі зі зниженою калорійністю, продуктах переробки фруктів і овочів зі зниженою калорійністю, сухих сніданків із зернових з утримуванням харчових волокон більше 15% або отрубів не менш 20% у кількості до 1 г/кг; у сухих закусках і сніданках у кількості до 500 мг/кг; у кондитерських виробах зі зниженою калорійністю або без додавання цукру на основі крохмалю, какао, сухофруктів, біологічно активних добавках до їжі твердих у кількості до 2 г/кг; у жувальній гумці без додавання цукру, біологічно активних добавках до їжі – вітамінах і мінеральних речовинах у формі сиропів і жувальних таблеток у кількості до 5,5 г/кг; у морозиві (крім вершковому й молочного), фруктовому льоді зі зниженою калорійністю або без додавання цукру, спеціалізованих дієтичних продуктах для зниження маси тіла в кількості до 800 мг/кг; у фруктові й овочевих кисло-солодких консервах, кисло-солодких консервах з риби, рибних маринадів, ракоподібних і молюсків у кількості до 300 мг/кг; у соусах і гірчиці в кількості до 350 мг/кг; у здобних хлібобулочні й борошняних кондитерських виробах для дієтичного харчування в кількості до 1,7%; у супах зі зниженою енергетичною цінністю в кількості до 110 мг/кг; в «прохолодних» (освіжаючих подих) цукерках (таблетках) без додавання цукру в кількості до 6 г/кг; у пиво зі зниженою енергетичною цінністю в кількості до 25 мг/кг (п. 3.15.1 СанПіН 2.3.2.1293–03); для роздрібного продажу (п. 2.1 СанПіН 2.3.2.1293–03).
Застосування: Основними областями використання є виробництво напоїв, молочних продуктів, кондитерських виробів. Часто застосовується в складі суміші підсолоджувачів. Добре сполучається з ацесульфамом К. При цьому проявляється не тільки кількісний, але і якісний синергізм. Обидві речовини приблизно в 200 разів солодше цукру, а в суміші – в 300 разів. Солодкість ацесульфама відчувається миттєво, але не дуже довго, солодкість аспартама, навпроти, відчувається не відразу, але тримається довше. Суміш обох в різних пропорціях дозволяє підібрати оптимальну насолоду для будь-якого продукту. Для варіння й випічки, а також для кислих харчових продуктів із тривалим строком зберігання (соуси, гірчиця) аспартам непридатний, тому що розщеплюється на складові, втрачаючи при цьому свої функції. У дуже невеликих дозах може проявляти властивості підсилювача смаку.
Список літератури
1. Сарафанова Л.А. Пищевые добавки: Энциклопедия. – 2-е изд., испр. и доп. – СПб: ГИОРД, 2004, – 808 с.
2. Д.К. Шапиро. Практикум по биологической химии. Под ред. А.С. Вечера. Изд 2-е, перераб. и доп. Минск, «Вышэйш. школа», 1976. – 288 с.
3. Гост 30059–93 Напитки безалкогольные. Методы определения аспартама, сахарина, кофеина и бензоата натрия.4. Химическая энциклопедия: в 5 т.: т. 1: А Дарзана / Редкол.: КнуняцИ.Л. (глав. ред.) и др. – М.: Сов.энцикл. 1988. – 623 с.
5. Орлова Н.Я. «Фізіологія та біохімія харчування» – К.: Київ. Державний торгівельно-економічний університет, 2001. – 248 с.
6. Пищевая химия/ Нечаев А.П., Траунберг С.Е., Кочеткова А.А. и др. Под ред. А.П. Нечаева. – СПб.: ГИОГД, 2001. – 592 с.